Определение метрологических характеристик бесконтактного кондуктометрического концентратомера типа КНЧ-1М (1093435), страница 2
Текст из файла (страница 2)
Соответственно сопротивление компенсационного контура определяется выражением
(2), причем Rt = Rt(t) .
При этом вид функции Rt(t) определяется типом используемого терморезистора.
Из выражения (2) получаем:
В этом случае расчетное условие температурной компенсации имеет вид
(3)
В уравнении (3) неизвестны R1 и Rш. Значения t1, t2 и β задаются условиями работы прибора и свойствами раствора. При этом считается, что температурный коэффициент электропроводности раствора β остается постоянным при температуре от t1 до t2.
Для определения R1 и Rш используем уравнение (I) при концентрации, соответствующей верхнему пределу измерения и температуре t1:
(4)
Решая совместно (2) и (4), получаем выражение для R1 :
(5)
Далее используя выражение (5), из уравнения (3) получаем выражение для Rш :
(6)
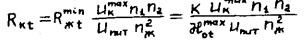
Определим значение Rkt для Cmax и t, т.е. для Rжtmin. В этом случае Uk = Ukmax и Rkt определяется формулой
Используя эту формулу, из выражения (6) определяем Rш .
Затем, подставив Rш в (2), получаем значение R1 .
Блок-схема алгоритма расчета представлена на рис.6.
Рис.6. Блок-схема алгоритма расчета
II. Приборы и оборудование для проведения работы
1. Комплект концентратомера кондуктометрического бесконтактного типа КНЧ -1М-6УЗ (датчик погружного типа, переходная коробка, блок питания и регистрирующий прибор типа КСДЗ); диапазон измерения концентрации от 7 до 26% NaCl; предел допускаемого значения основной приведенной погрешности прибора, отнесенный к конечному значению шкалы, составляет 4%.
2. Магазины сопротивлений класса точности 0,05.
3. Бак для анализируемой среды с мешалкой.
4. Кондуктометр лабораторный типа КЛ-2 "Импульс". Прибор имеет шесть поддиапазонов 0-1 мСм/м; 1-10 мСм/м; 10-100 мСм/м; 0-1 См/м; 1-10 См/м; 10-150 См/м; предел основной относительной погрешности +- 0,25 %.
5. Ультра-термостат типа U -10.
Общий вид лабораторной установки представлен на рис.7.
Датчик 1 прибора КНЧ-1М-УЗ установлен на кронштейне 13 и опущен в бак 6 с мешалкой 8 и вентилем 11 для слива анализируемой пробы. В верхней части бака установлен электропривод 7 мешалки, подключение которого к сети осуществляется выключателем 9.
Датчик 1 через переходную коробку 10 соединен с регистрирующим прибором 2 и блоком питания 3, смонтированными на лицевой панели щита 4 (крышка блока питания на рис.7 не показана). На внешней панели щита 4 установлены также магазины сопротивлений 5.
III. Задание для самостоятельной подготовки к выполнению лабораторной работы
1. Изучить принцип действия бесконтактных низкочастотных кондуктометрических концентратомеров.
2. Провести расчет термокомпенсационной цепочки кондуктометрического концентратомера по заданию преподавателя.
3. Начертить схему лабораторной установки и подготовить табл.3,4 отчета по работе.
IV. Порядок выполнения работы
Проверка основной приведенной погрешности и определение реальной градуировочной характеристики комплекта бесконтактного кондуктометрического концентратомера производится путем использования имитатора сопротивления жидкостного витка и применения водных растворов NaCl, ЭП которых измеряется с помощью лабораторного кондуктометра типа КЛ-2 "Импульс".
Общий вид лабораторной установки
Использование имитатора сопротивления
1. Снять кожух с клеммника датчика (см. рис.4) и через внутренее отверстие чувствительного элемента продеть провод сечением менее 1,5 мм2 и длиной не более 1м, и подсоединить к нему магазин сопротивлений, имитирующий сопротивление жидкостного витка.
2. К клеммам 21 и 22 клеммника датчика подключить второй магазин, имитирующий сопротивление терморезистора, и снять перемычку с клеммы 20.
3. Тумблер блока питания 3 (см. рис .7) установить в положение КОНТРОЛЬ, включить прибор и прогреть его в течение 20 мин. При этом стрелка регистрирующего прибора должна выйти на показание шкалы, обозначенное "▼". Если стрелка смещена, выставить ее в это положение при помощи потенциометра НУЛЬ регистрирующего прибора.
4. Выставить на магазине сопротивления, имитирующем сопротивление терморезистора (по заданию преподавателя), значение сопротивления при градуировочной температуре приведенные в табл.1.
Таблица 1
| Температура раствора, °С | 0 | 15 | 30 |
| Сопротивление терморезистора, Ом | 109.86 | 66.32 | 41,37 |
5. Вычислить значения сопротивлении жидкостного витка, соответствующие концентрациям 20,50 и 80% диапазона измерения при градуировочной температуре по формуле R = К/χ0 где R - значение сопротивления жидкостного витка, Ом; К = 51 К - электролитическая постоянная датчика, м-1; χ0 - значение удельной ЭП анализируемого раствора, соответствующее 20, 50 и 80% диапазона измерения, приведенные в табл.2, См/м.
6. Установить тумблер блока питания в положение ВКЛ, выставите на магазине сопротивлений, имитирующем сопротивление жидкостного витка, поочередно вычисленные значения сопротивления R.
Таблица 2
| % шкалы | Концентрация анализируемого раствора, % | Удельная ЭП анализируемого раствора в См/м при температурах | ||
| 0°С | +15°С | +30°С | ||
| 0 | 7 | 5,7 | 8,5 | 11,35 |
| 20 | 11 | 8,6 | 12,6 | 16,7 |
| 50 | 17 | 11,5 | 17,0 | 22,6 |
| 80 | 22 | 12,9 | 19,45 | 26,0 |
| 100 | 26 | 13,52 | 20,55 | 27,6 |
7. Определить значения основной погрешности, приведенной к конечному значению шкалы прибора, при прямом и обратном ходе, занести эти результаты в табл.3 отчета по работе и сделать вывод о работоспособности прибора.
Использование растворов
1. Залить в бак 6 (см. рис.6) анализируемый раствор с концентрацией NaCl , соответствующей нижнему пределу измерения (см. табл.2), и включить тумблером 9 электропривод мешалки. Включить прибор и прогреть его в течение 20 мин. Провести отсчет показаний по шкале региcтрирующего прибора и занести это значение в табл. 4 отчета по работе.
2. Выключить электропривод мешалки и отобрать из бака пробу анализируемого вещества объемом 500 см3, открыв вентиль 11.
3. Включить лабораторный кондуктометр KЛ-2 "Импульс", нажав кнопку СЕТЬ, и прогреть прибор в течение 15 мин. Промыть измерительную ячейку лабораторного кондуктометра анализируемой жидкостью не менее трех раз.
4. Залить анализируемую пробу в ячейку и поместить в термостат, который должен быть предварительно включен и отрегулирован для поддержания заданной температуры. После выдерживания измерительной ячейки лабораторного кондуктометра в термостате в течение 15 мин нажать кнопку ИЗМЕРЕНИЕ.
5. Нажать кнопку "1-10 См/м" переключателя выбора поддиапазона измерения лабораторного кондуктометра. Если показания выходят за пределы выбранного поддиапазона измерения, необходимо нажать кнопку "10-150 См/м" или "0,1-1 См/м", соответственно.
6. Отсчет показаний по цифровому индикатору лабораторного кондуктометра произвести после достижения термического равновесия между термостатирующей жидкостью и анализируемой пробой в измерительной ячейке. Показателем термического равновесия является постоянство показаний прибора в течение 1 мин и более.
7. Для исключения влияния возможной разницы в составе пробы провести операции по пунктам 4 - 6 не менее семи раз и результат измерения удельной ЭП определить как среднее арифметическое по последним пяти измерениям.
8. Провести операции по пунктам 1-7 для водных растворов NaCl с концентрацией в соответствии с табл.2. Результаты всех измерений занести в табл.4 отчета по работе.
9. Определить значение основной приведенной погрешности в заданных точках шкалы КНЧ-1М, построить график его градуировочной характеристики в сделать вывод о работоспособности прибора.
V. Отчет по работе
Отчет по работе должен содержать схему лабораторной установки (рис.7), программу и результаты расчета основных параметров цепи термокомпенсации, график градуировочной характеристики промышленного прибора, таблицы экспериментальных и расчетных данных, выполненные по следующей форме:
Таблица 3
| % шкалы | Концентрация анализируемого раствора, % | R, Ом | Показания КНЧ-1М, % | Абсолютная погрешность, % | Приведенная погрешность, % |
| 20 | 11 | ||||
| 50 | 17 | ||||
| 80 | 22 |
Таблица 4
| № п/п | Характеристики анализируемой среды | Показания прибора КНЧ-1М, % | Абсолютная погрешность, % | Приведенная погрешность, % | |
| Концентрация, % | Удельная ЭЦ , См/м | ||||
| 1 2 3 4 5 | |||||
Контрольные вопросы
1. В чем заключается принцип действия бесконтактных низкочастотных кондуктометрических концентратомеров?
2. При выполнении каких условий возможна термокомпенсация в приборах рассматриваемого типа?
3. Каков порядок расчета цепи термокомпенсации?
Литература
1. Кулаков М.В. Технологические изменения и приборы для химических производств. М.: Машиностроение, 1983. 424 с.
2. Иванова Г.М., Кузнецов Н.Д., Чистяков B.C. Теплотехнические измерения и приборы. М.: Энергоатомиздат, 1984. 230 с.
Общие указания по технике безопасности
Лица, впервые приступающие к выполнению лабораторной работы, должны пройти инструктаж по технике безопасности при работе с электроустановками. Инструктаж проводит ведущий лабораторией.
Включение и выключение аппаратуры лабораторной установки должно производиться только под контролем преподавателя или персонала лаборатории.
14
















