Лекции (1093315), страница 5
Текст из файла (страница 5)
3. Для условий испытаний
А). Для углеродистых сталей
или
Б). Для аустенитных сталей
или
Предел ползучести используется для определения , когда отсутствуют данные по пределу длительной прочности или необходимо ограничивать величину деформации.
Обозначения:
Re - предел текучести ( его минимальное значение при расчетной температуре)-sт в МПа;
Re20 - минимальное значение предела текучести при температуре 20оС;
Rp0,2 - минимальное значение условного предела текучести при расчетной температуре (напряжение, при котором остаточное удлинение 0,2%)-s0,2,МПа;
R20p0,2 - минимальное значение условного предела текучести при температуре 20оС;
Rm - минимальное значение временного сопротивления ( предела прочности) при расчетной температуре, sв,МПа;
Rm/105 - среднее значение предела длительной прочности за 105 часов при расчетной температуре,sд 105 ,МПа;
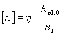
Rp1,0/105 - средний 1% предел ползучести за 105 часов при расчетной температуре,s1%/105;
Rp1,0 - минимальное значение условного предела текучести при расчетной темпера- туре, s1,0( напряжение, при котором остаточное удлинение 1%).
h - поправочный коэффициент к допускаемым напряжениям. Как правило, h=1.Исключения- h=0,8 для отливок, подвергающихся индивидуальному контролю неразрушающими методами; h=0,7 для остальных отливок.
nt - коэффициент запаса прочности по пределу текучести;
nв - коэффициент запаса прочности по временному сопротивлению;
nд- коэффициент запаса прочности по пределу длительной прочности;
nп - коэффициент запаса прочности по пределу ползучести
| Условия нагружения | nt | nв | nд | nп |
| 1.Рабочие условия | 1,5 | 2,4 | 1,5 | 1,0 |
| 2.Условия испытаний |
| |||
| 1,1 | - | - | - | |
| 1,2 | - | - | - | |
| 3.Условия монтажа | 1,1 | - | - | - |
Механические характеристики сталей берутся из ГОСТа.
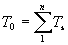
Для элементов аппаратов, работающих в условиях ползучести при разных за весь период эксплуатации расчетных температур, в качестве допускаемого напряжения разрешается принимать эквивалентное напряжение
где [s]1- допускаемое напряжение для расчетного срока эксплуатации для i-й температуры;
Тi - длительность этапов эксплуатации элементов с температурой стенки ti ( час)
- общий расчетный срок эксплуатации.
m - показатель степени в уравнениях длительной прочности сталей ( для легированной стали m=8);
nд - коэффициент запаса устойчивости; при расчете на устойчивость по нижним критическим напряжениям в пределах упругости следует принимать:
- для рабочих условий nд=2,4;
- для условий монтажа и испытаний nд=1,8.
4. Коэффициенты прочности сварных швов - j .
При расчете на прочность сварных элементов аппаратов в расчетные формулы следует вводить коэффициент прочности сварных соединений.
Если контролируется вся длина сварного шва - j=0,8-1;
Для стыкового или таврового шва с двусторонним сплошным проваром, выполненного автоматической или полуавтоматической сваркой j=1,0.
Если длина контролируемого шва составляет 10-50% - j=0,65-0,9.
Для стыкового шва, выполненного с одной стороны вручную - j=0,65
5.Прибавки к расчетным толщинам конструктивных элементов.
Исполнительная толщина стенки аппарата определяется как
где S - исполнительная толщина;
Sp - расчетная толщина стенки элемента аппарата;
С - прибавки:
С1 - прибавка для компенсации коррозии или эрозии,
С2 - прибавка на минусовой допуск листа,
С3- технологическая прибавка, компенсация утонения стенки элемента аппарат при технологических операциях вытяжки,штамповки,гибки труб;
С2 и С3 учитываются, если (С2+ С3) превышает 5% номинальной толщины листа.
С=С1 + С2 + С3
С1 = Пxtв + Сэ, где - Сэ - прибавка для компенсации эрозии ; П - проницаемость среды в материал ( скорость коррозии); tв - срок службы аппарата.
При изготовлении химического оборудования применяются материалы, у которых скорость коррозии П Ј 0,1 мм/год.
Лекция 7
РАСЧЕТ КОРПУСОВ ТОНКОСТЕННЫХ ЦИЛИНДРИЧЕСКИХ АППАРАТОВ
Исходным уравнением для получения расчетной формулы при расчете на прочность тонкостенного аппарата служит уравнение Лапласа, которое является уравнением так называемой безмоментной теории расчета тонкостенных оболочек, учитывающие только растягивающие напряжения. В действитель-ности, оболочка под внутренним давлением работает на растяжение и изгиб. Величина изгибающих напряжений бесконечно мала по сравнению с напряжениями от растяжения.
В цилиндрическом аппарате кольцевые напряжения s2 в 2 раза больше меридиональных напряжений s1 и поэтому продольный сварной шов или продольное сечение цилиндра являются наиболее опасными.
Согласно первой теории прочности опасными напряжениями являются наибольшие нормальные напряжения. Для цилиндрического аппарата - это кольцевые напряжения и по ним необходимо вести расчет.
Первая теория прочности соответствует в большей степени работе хрупких материалов .
Основные зависимости для расчета обечаек
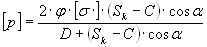
1. ЦИЛИНДРИЧЕКИЕ ОБЕЧАЙКИ
где Sp - расчетная толщина стенки цилиндрической обечайки; D - внутренний диаметр обечайки; j -коэффициент прочности сварных швов; [s] - допускаемое напряжение для рабочего состояния; [s]и- допускаемое напряжение при испытаниях.
S = Sp + C + C0
S - исполнительная толщина стенки, С0 - поправка на округление до стандарсного значения.
Допускаемое давление:
В рабочем состоянии
Формулы применимы для сталей, алюминиевых и медных сплавов при
Для титановых сплавов при
2. КОНПИЧЕСКИЕ ОБЕЧАЙКИ с углом при вершине 2a Ј 120°.
Расчетная толщина стенки конической обечайки
Исполнительная толщина стенки
Sк = Sкр + C + C0
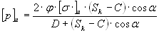
Допускаемое давление:
В рабочем состоянии
При испытаниях
Формулы применимы для сталей, алюминиевых и медных сплавов при
Для титановых сплавов при
3. СФЕРИЧЕСКИЕ ОБЕЧАЙКИ
где S ср - расчетная толщина стенки цилиндрической обечайки; Dс - внутренний диаметр сферической обечайки; j -коэффициент прочности сварных швов; [s] - допускаемое напряжение для рабочего состояния; [s]и- допускаемое напряжение при испытаниях.
Sс = S сp + C + C0
Sс - исполнительная толщина стенки, С0 - поправка на округление до стандарсного значения.
Допускаемое давление:
В рабочем состоянии
При испытаниях
Формулы применимы для сталей, алюминиевых и медных сплавов при
Для титановых сплавов при
4. СТАНДАРТНЫЕ ЭЛЛИПТИЧЕСКИЕ ДНИЩА ( крышки )
где S эp - расчетная толщина стенки цилиндрической обечайки; D - внутренний диаметр обечайки; j -коэффициент прочности сварных швов; [s] - допускаемое напряжение для рабочего состояния; [s]и- допускаемое напряжение при испытаниях.
Sэ = S эp + C + C0
Sэ - исполнительная толщина стенки, С0 - поправка на округление до стандартного значения.
Допускаемое давление:
В рабочем состоянии
При испытаниях
Формулы применимы для сталей, алюминиевых и медных сплавов при
Для титановых сплавов при
5. ПЛОСКИЕ ДНИЩА И КРЫШКИ
где Sпp - расчетная толщина плоского днища ( крышки ); Dр- расчетный диаметр крышки; j -коэффициент прочности сварных швов; [s] - допускаемое напряжение для рабочего состояния; [s]и- допускаемое напряжение при испытаниях.
Sп = Sпp + C + C0
Sп - исполнительная толщина стенки, С0 - поправка на округление до стандартного значения.
Допускаемое давление:
В рабочем состоянии
При испытаниях
Формулы применимы при
Расчетный диаметр Dp и коэффициент К, учитывающий тип закрепления днища или крышки, принимают в соответствии с таблицей 1
Коэффициент ослабления Ко определяют в зависимости от характера расположения отверстий в днище (крышке) по данным таблицы 2 и рис.
Таблица 2
Значения коэффициента Ко
| Количество отверстий | Расчетная формула |
| 1 |
|
| больше 1 |
|
| Примечание: ådi - максимальная сумма длин хорд отверстий в наиболее ослабленном диаметральном сечении днища (крышки); отверстия для болтов в расчет не принимают | |
Рис.1 Схема определения максимальной суммы длин хорд отверстий в наиболее ослабленном сечении: 1-1,2-2 - диаметральные сечения.
Лекция 8
ЦИЛИНДРИЧЕСКИЕ ОБЕЧАЙКИ, ПОДКРЕПЛЕННЫЕ КОЛЬЦАМИ ЖЕСТКОСТИ
















