Наночастицы металлов в растворах - биохимический синтез, свойства и применение (1090303), страница 3
Текст из файла (страница 3)
Контроль формирования и стабильности, а также исследования оптических и адсорбционных свойств наночастиц осуществляли путем измерения спектров оптического поглощения с использованием спектрофотометров Specord M40 (Carl Zeiss, Германия) и Helios-α (Thermo Electronics, Великобритания). Размеры частиц в растворе определяли методом фотонной корреляционной спектроскопии (ФКС) на приборах Coulter N4 MD (Coulter Electronics, США) и Horiba LB 550 (Horiba, Япония). Микрофотографии наночастиц получали методом просвечивающей электронной микроскопии (ТЕМ). Для этого использовали электронный микроскоп LEO912 AB OMEGA с ускоряющим напряжением 120 кВ (Carl Zeiss, Германия), доступный в центре коллективного пользования биологического факультета МГУ.
-
Примеры синтеза наночастиц металлов
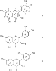
Растительные пигменты группы флавоноидов, в том числе используемые нами кверцетин, рутин и морин – это низкомолекулярные полифенольные соединения, основой которых является трехкольцевая структура: два ароматических кольца (А и В), соединенных между собой гетероциклом (С), содержащим кислород (рис.3).
М
ицеллярные растворы этих флавоноидов, как и их водно-спиртовые или водные растворы, имеют две основные полосы поглощения в УФ области спектра (рис.4): полосу I и полосу II в интервале, соответственно, 360-380 нм и 240-270 нм. Полосы поглощения обусловлены π – π* переходами в двух хромофорных системах: полоса I – в кольце В, сопряженном с трехуглеродным фрагментом кольца С, полоса II – в кольце А, с
опряженном с кольцом С.
Рис.3 (слева). Структура молекул флавоноидов, используемых в биохимическом синтезе. 1 – кверцетин, 2 - рутин, 3 – морин. Sug – дисахарид, состоящий из остатков глюкозы и рамнозы.
Рис.4 (сверху). Спектры оптического поглощения флавоноидов – кверцетина (Qr), рутина (Ru) и морина (Mo) в мицеллярных растворах. I и II - две основные полосы поглощения.
Введение водных растворов солей металлов в мицеллярные растворы флавоноидов с последующим встряхиванием в течение нескольких минут приводит к более или менее быстрым изменениям окраски и спектра поглощения растворов, отражающим различные стадии взаимодействия флавоноидов с ионами металлов, завершающиеся образованием наночастиц. Синтез наночастиц осуществлялся главным образом на растворах кверцетина; проводились также эксперименты с рутином и морином для выяснения влияния различий в структуре флавоноидов на процесс формирования наночастиц. Ниже приведено несколько примеров синтеза наночастиц.
Наночастицы серебра
Введение водного раствора соли серебра в мицеллярный раствор Qr, после встряхивания в течение 1-3-х мин приводит к резкому изменению окраски раствора – от бесцветной или бледно-желтой до красно-коричневой разной интенсивности или почти черной, в зависимости от концентрации образующихся наночастиц. В спектре поглощения исчезают обе полосы Qr и появляется новая полоса в видимой области с максимумом в интервале 420-440 нм, характерным для наночастиц серебра в обратных мицеллах. Эта новая полоса постепенно растет и через 1-4 суток оптическая плотность в максимуме полосы (Dmax) достигает наибольшей величины (Dоmax). В последующие несколько недель оптическая плотность отклоняется от Dоmax не более чем на 10%, так что значение Dоmax считается соответствующим завершению процесса формирования наночастиц (стационарная стадия). Типичное изменение спектра поглощения мицеллярного раствора Qr после введения раствора соли серебра показано на рис.5. Интенсивная окраска раствора позволяет визуально контролировать стабильность наночастиц и приблизительно оценивать изменения их концентрации.
Р
ис.5. Характерный вид изменения спектра мицеллярного раствора кверцетина после введения водного раствора соли серебра. C(Qr) = 0.236 mM, C(Ag) = 3 mM (концентрация введенной соли металла), С(АОТ) = 0.15 М, w = 3.7. Для сравнения приведен спектр исходного раствора кверцетина. Здесь и на последующих рисунках приведены спектры, снятые при длине оптического пути 1 мм.
Концентрация наночастиц в растворе измеряется в единицах либо молярной концентрации (эквивалентной концентрации соли металла), либо весовой концентрации (весовое содержание металла в виде наночастиц); последнюю находят путем пересчета из молярной концентрации с использованием атомного веса металла. Для определения молярной концентрации из спектра поглощения необходим коэффициент экстинкции наночастиц, который для большинства металлов неизвестен, поскольку, как правило, сложно определить, какая часть введенных в раствор ионов металла превратилась в наночастицы. Для нескольких металлов (Ag, Au, Cu) коэффициенты экстинкции можно найти в литературе, однако они могут зависеть от метода получения наночастиц и поэтому для надежного определения концентрации желательно иметь коэффициенты экстинкции, найденные для своей экспериментальной системы. Такая работа была проделана нами для наночастиц Ag (см. раздел 4).
Для прикладных исследований была разработана стандартная процедура, позволяющая получать растворы с концентрациями наночастиц порядка нескольких миллимолей (нескольких сотен мг/л) и средними размерами в интервале 8-10 нм. На рис. 6 показан пример электронной микрофотографии и соответствующего распределения по размерам в стандартном мицеллярном растворе.
Рис.6. Электронная микрофотография и гистограмма распределения по размерам в стандартном мицеллярном растворе наночастиц серебра. w=3.7.
Частицы сферические, средний размер 9 нм, разброс по размерам ± 2 нм. Анализ электронных дифрактограмм показывает, что наночастицы имеют кристаллическую структуру с параметрами решетки, близкими к таковым для кристаллов золота. На рис.7 приведена типичная гистограмма для стандартного раствора, полученная методом ФКС.
Рис.7. Типичная гистограмма распределения частиц по размерам в стандартном мицеллярном растворе наночастиц серебра, полученная методом ФКС. Средний размер частиц – 14.1 нм.
Средний размер частиц здесь, как правило, оказывается несколько больше, чем дает электронная микроскопия. Такое увеличение среднего диаметра (или гидродинамического радиуса) по сравнению с данными электронной микроскопии наблюдалось для частиц разной природы – латексов, липосом, наночастиц металлов и оксидов. Связывалось это, главным образом, с тем, что метод ФКС чрезвычайно чувствителен к присутствию частиц большего размера, поскольку они наиболее сильно рассеивают свет и потому даже их относительно небольшой численный вклад в общее количество частиц может приводить к заметному увеличению измеряемого среднего размера.
Для различных специальных целей можно получать наночастицы других средних размеров (в интервале 5 – 25 нм), а также других форм; в последнем случае имеются в виду смеси наночастиц разной формы (сферы, треугольники, шестигранники и др.). Наночастицы в мицеллярном растворе сохраняются в течение длительного времени (до нескольких лет). При этом возможны небольшие изменения концентрации, а также среднего размера и формы наночастиц; последние отражают, вероятно, медленно текущие процессы кристаллообразования, агрегации наночастиц и диссоциации этих агрегатов.
Наночастицы золота
В
ведение водного раствора HAuCl4 в мицеллярный раствор Qr приводит к изменению цвета раствора и формированию полосы наночастиц. Скорость процесса, размеры и форма наночастиц зависят от параметров системы (концентраций реагентов и АОТ, степени гидратации). При w ≥ 2 в течение 1-2-х мин раствор приобретает красно-фиолетовую окраску;
Рис.8. Спектры поглощения мицеллярных растворов наночастиц золота разного цвета: 1-красного, 2- красно-фиолетового.
в течение последующих 10-15-ти мин интенсивностьокраски усиливается, затем изменения цвета прекращаются и этот красно-фиолетовый раствор сохраняется в течение нескольких лет. При меньших степенях гидратации изменения цвета происходят медленнее; вначале появляется ярко-красная (рубиновая) окраска, которая видна первые 5-10 мин. Затем постепенно проявляется фиолетовый оттенок, через 40-60 мин раствор приобретает устойчивый красно-фиолетовый цвет. Пример спектров красного (w=0.75) и красно-фиолетового (w=2) растворов показан на рис.8. Максимумы поглощения в обоих случаях лежат в области характерного максимума наночастиц золота: для красного раствора – при 523-526 нм, для красно-фиолетового – при 537-538 нм.
Известно, что цвет золей золота зависит от размера частиц; частицы красного золя меньше, чем синего или фиолетового. Это наблюдение соответствует результатам наших определений размеров частиц методом ТЕМ. На рис.9 и 10 показаны микрофотографии наночастиц, соответственно, красного и красно- фиолетового золя.
В
первом случае частицы сферические, имеют размеры в интервале 3-5 нм, то есть представляют собой практически монодисперсный образец. Во втором случае частицы явно
Рис.9. Электронная микрофотография наночастиц золота в красном мицеллярном растворе.
большего размера, с заметным разбросом; анализ гистограммы в Гауссовом приближении дает 16 ± 8 нм.
Рис.10. Электронная микрофотография и гистограмма распределения частиц по размерам в красно-фиолетовом мицеллярном растворе наночастиц золота.
Кроме того, здесь образуются частицы разных форм – помимо сферических, имеются также треугольные, пятиугольные, шестиугольные и цилиндрические частицы; пример частиц разной формы крупным планом показан на рис.11. На многих фотографиях выявляется также кристаллическая структура наночастиц, что подтверждается
Р
ис.11. Электронная микрофотография наночастиц золота разной формы, присутствующих в красно-фиолетовом растворе.
соответствующими дифрактограммами.
Исследование красно-фиолетовых растворов наночастиц золота методом ФКС дает завышенные значения размеров частиц, причем расхождение с данными ТЕМ здесь, как правило, больше, чем для наночастиц серебра. Это может быть следствием более значительного вклада крупных частиц, либо влияния отклонений формы частиц от сферической, которая предполагается в методе ФКС при расчете гидродинамического радиуса по уравнению Стокса-Эйнштейна.
Наночастицы меди и цинка
Введение водных растворов аммиачных солей меди и цинка (тетраамминсульфатов или тетраамминнитратов) в мицеллярный раствор Qr приводит к резким изменениям окраски, свидетельствующим об образовании вначале комплекса кверцетина с ионами металла, а затем наночастиц. В случае меди раствор наночастиц медно-красный; максимум полосы поглощения лежит при 550±5 нм, в области, характерной для поглощения этих наночастиц (550-570) нм. Типичный спектр поглощения показан на рис.12.















