Синтез автоматических систем в условиях неполной информации о переменных параметрах объекта (1086432), страница 5
Текст из файла (страница 5)
Характеристики большинства объектов не остаются с течением времени неизменными, а изменяются иногда со значительными скоростями. Кроме того, иногда характеристики объектов не определяются аналитически, а затраты на экспериментальное определение могут быть очень велики. В то же время любая характеристика аппроксимируется отрезками достаточно простых кривых - парабол не выше второго порядка, причем вид аппроксимирующей параболы (коэффициенты управления) зависит от значения входной координаты. Пределы измерения коэффициентов в большинстве случаев определяются без значительных затрат. Учитывая, что при поиске экстремума входная координата изменяется во времени по определенному или случайному закону, характеристику любого экстремального объекта можно представить квадратичной параболой, дрейфующей во времени.
Выделяют два основных случая изменения характеристик во времени: на объект воздействует помеха; происходит регулярный дрейф характеристики. Обоим случаям нетрудно найти аналоги в теории обычных систем автоматического регулирования.
В промышленных экстремальных объектах основными являются случайный или нерегулярный дрейф. Рассмотрим влияние горизонтального дрейфа характеристик на поиск экстремума.
Уравнение дрейфующей параболы имеет вид:
у = С2 -(х- sin(w • t))2 + С1, (2.31)
где с1= —1,
с2 = 2,
ω = 0.01.
На рисунке 2.7 представлены характеристики объекта, соответствующие времени t1 = 0, t2 = 25,t3 = 50.
Их экстремумы равны:
х1* = 0 х2* =0.3 х3*=0.5
y1 = 2 y2* =2 y3*=2
Рисунок 2.7 - Горизонтальный дрейф нелинейной характеристики
Исследуем точность функционирования СЭР с дрейфующей нелинейной характеристикой.
Из-за нестационарности НХ естественным показателем точности функционирования представляется величина модуля разности текущего значения выхода управляемого объекта и текущего значения максимума нелинейной характеристики:
ε(t) = z(t) - m(t). (2.32)
Конечно, в силу ряда технологических причин, величина ε (0) при t=0 может быть достаточно большой, и анализировать точность СЭР целесообразно в “квазистационарном ” режиме “захвата” экстремума нелинейной характеристики, наступающем после первого переключения u(t) в момент t1. Поскольку сигнал управления имеет релейный характер, то в описываемых условиях “квазистационарный ” режим будет колебательным.
Приведем несколько терминов, связанных с точностью функционирования линейных стационарных систем при неполной информации о внешних воздействиях и используемых в формулировке основного утверждения.
Пусть такая система описывается дифференциальным уравнением
R(w) = S(v)
или передаточной функцией
где v(t) - внешнее воздействие,
w(t) - выходной сигнал;
V(p),W(p) - их изображения по Лапласу при нулевых начальных условиях для самих функций и их производных.
Назовем максимальным нормированным отклонением выходного сигнала w(t) (k-ой производной w(k)(t) выходного сигнала) системы соответственно величины
максимальной нормированной ошибкой воспроизведения входного сигнала системой величину
В этих определениях предполагается, что система до момента включения t = 0 находится в состоянии покоя, т.е. w(t) = v(t) = 0 при t ≤ 0.
Величины Δ, δ называются точностными показателями качества (ТПК) системы.
Для систем произвольного порядка справедливо следующее утверждение.
Если
Заметим еще, что Δ(w', G(p)) = Δ(w, pG(p)).
Максимальная нормированная ошибка δ(G(p)) и максимальные нормированные отклонения Δ(w(k), G(p)) также определяются и при условиях
w(t) = v(t) = с при t ≤ 0.
В этом случае под Δ(w, G(p)) понимается максимальное возможное
отклонение от величины с.
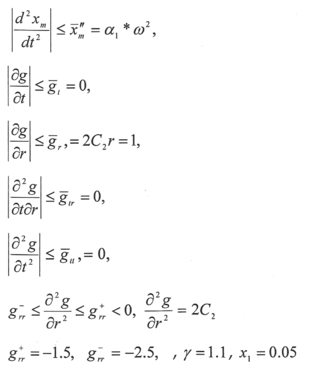
Опишем дополнительные условия, накладываемые на поведение нестационарной нелинейной характеристики. Требования унимодальности f(t,x) при любом фиксированном t недостаточно для получения содержательных утверждений о точности функционирования СЭР. Положим
r = x-xm(t). (2.35)
Тогда
y = f(t,х) = f(t,r + хm(t)) ≡ g(t, r) (2.36)
Функция g(t,r) при фиксированном t описывает движение по нелинейной характеристике, а при фиксированном r - её деформацию во времени. Функция хm (t) отображает перемещение абсциссы точки максимума нелинейной характеристики; при этом g(t,0) = m(t).
Используя введенные выше обозначения (2.34) и (2.36), положим:
Априорная информация о поведении нелинейной характеристики исчерпывается соотношениями:
у = с2х2 + с1 - уравнение стационарной нелинейной характеристики,
r0 = -0.5 - начальное положение х,
r = x-xm(t),
Отсюда
y = c2(x-xm(t))2 +с1,
хm = α sin(ωt).
Таким образом у = С2 • (х - sin(w • t))2 + С1, a g = С2 • r2 + С1.
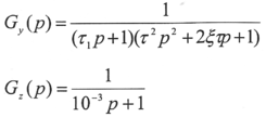
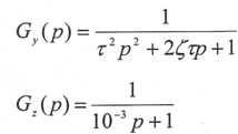
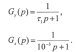
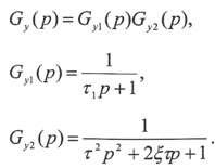
Для объекта 1-го порядка:
Где α =
(α- положительная часть вещественного корня уравнения τ1p+1=0). Тогда
Соответствующее Gy (р) характеристическое уравнение имеет корни
Представим ПФ Gy(р) в виде:
Тогда соответствующее Gv2(p) характеристическое уравнение имеет корни:
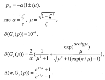
р12 =-α(1 ± iμ),
Если описанная выше СЭР до начала работы в момент /==0 находилась в состоянии покоя:
q(t) = z(t) = y(t) = f(0, х(0)) = g(0, r(0)), x(t) = x(0) при t < 0,
r(0) = x(0) - xm (0) < 0, r(0) ϵ [-r0,0); (2.38)
величины А, τ0 заданы и выполнены условия
k > О, В < r0, (2.39)
то после первого переключения сигнала управления u(t) в момент t1 > 0
отклонение текущего значения абсциссы НХ от текущего значения абсциссы её максимума и отклонение текущего значения выхода СЭР z(t) от текущего значения m(t) максимума НХ заведомо удовлетворяют неравенствам
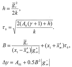
Более сложен вопрос о выборе желаемого значения величины х1 - скорости перемещения абсциссы нелинейной характеристики x(t). При малом х1, абсцисса xm(t) текущего экстремума нелинейной характеристики будет удаляться от x(t); большое х1, увеличивает величину А0, связанную с динамическими погрешностями линейной части управляемого объекта, а значит и величину В. Существует, следовательно, оптимальное значение скорости х1.
Выполняя расчет точностных показателей качества для разных порядков объекта управления (Приложение Б), мы получаем данные для минимизации величины В по параметру х1 которые приведены в таблицах 1, 2, 3.
Таблица 1 - параметры системы для объекта 1-го порядка
Таблица 2 - параметры системы для объекта 2-го порядка
Таблица 3 - параметры системы для объекта 3-го порядка
Минимизация величины В по параметру х приводит при х оценкам:
- для объекта 1-го порядка - |г(/)| < В = 0.282, \z(t) - m{t)\ < 0.106;
- для объекта 2-го порядка - |г(/)| < В = 0.364, \z(t) - m(t)\ < 0.176;
- для объекта 3-го порядка - |г(/)| < В = 0.455, \z(t) - m(t)\ < 0.275 .
j = 0.055 к
3 ТЕХНОЛОГИЧЕСКИЙ РАЗДЕЛ
3.1 РАЗРАБОТКА АЛГОРИТМА И ПРОГРАММЫ ПОИСКА ЭКСТРЕМУМА
Программа Extreme предназначена для исследования переходных процессов в СЭР с запоминанием экстремума (максимума) значения выходного параметра оптимизируемого процесса. Программа написана на языке Borland Delphi 6.0.
В приложении А приведен текст рабочей программы.
При запуске программы первоначально активируется процедура FormCreate (рисунок 3.1), которая осуществляет нумерацию строк и озаглавливает шапку таблицы. Далее программа реагирует на нажатие командной кнопки «Вычислить» и запускает процедуру btnCalculateClick, которая задает необходимый масштаб графиков, а также очищает область вывода от предыдущих значений.
С помощью процедуры Calcualte просчитываются значения текущих параметров системы с помощью метода Эйлера, определяется сигнал управления V согласно методу определения экстремума с запоминанием.
В зависимости от условия стационарности системы в процедуре SetAl (рисунок 3.4) рассчитываются точностные показатели качества системы для различных порядков объекта управления.
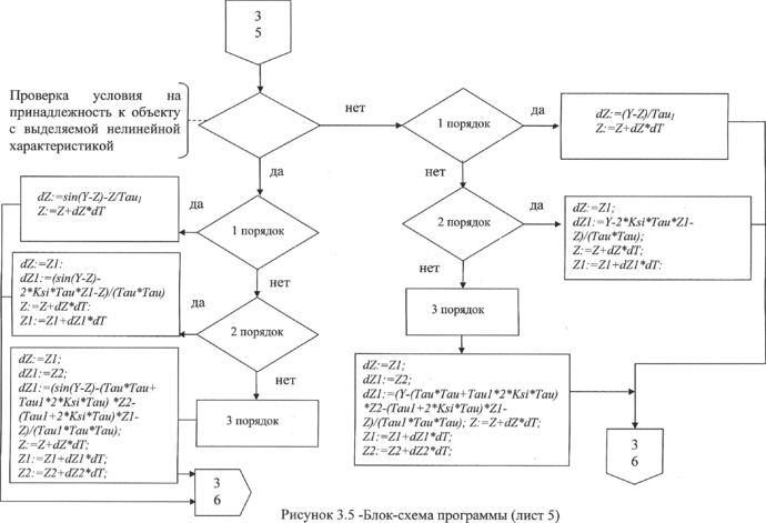
На рисунке 3.5 подробно описан алгоритм вычисления выходного параметра Z (процедура NextZ).
При завершении цикла на экран выводятся графики динамических процессов системы, таблица числовых значений и оценки точности.
Рисунок 3.1 -Блок-схема программы (лист 1)
4 ПРОВЕДЕНИЕ ВЫЧИСЛИТЕЛЬНОГО ЭКСПЕРИМЕНТА
4.1 ИССЛЕДОВАНИЕ ПРОЦЕССОВ В СЭУ С МАТЕМАТИЧЕСКОЙ МОДЕЛЬЮ ОБЪЕКТА С ВЫДЕЛЯЕМОЙ НЕЛИНЕЙНОЙ ХАРАКТЕРИСТИКОЙ
При проведении вычислительного эксперимента рассматривались динамические процессы в системе экстремального регулирования с выделяемой и невыделяемой нелинейными характеристиками. При этом рассматривались ситуации стационарной системы и системы с горизонтальным дрейфом нелинейной характеристики объекта. В качестве примера приведены динамические процессы в системе с объектом 1-го порядка. А процессы с объектом 2-го и 3-го порядков представлены в Приложении В.
Динамические процессы стационарной СЭР с выделяемой нелинейной характеристикой приведены на рисунке 4.1.
Рисунок 4.1 - Стационарная СЭР с объектом с выделяемой нелинейной
характеристикой
60
Из рисунка 4.1 видно, что система экстремального регулирования поддерживает экстремум с точностью δрасч = 2.68, δгар =3.61. Что соответствует
условиям: δрасч <δгар и δрасч < 3% .
На рисунке 4.2 изображены динамические процессы для системы экстремального регулирования, функционирующей в условиях горизонтального дрейфа.
















