Синтез автоматических систем в условиях неполной информации о переменных параметрах объекта (1086432), страница 4
Текст из файла (страница 4)
Исполнительное устройство может рассматриваться, например, как двигатель. Его передаточная функция:
W3(p)=
=
(2.3)
где х(р) - входной сигнал;
V(p) - выходной сигнал исполнительного устройства. Дифференциальное уравнение имеет вид:
Поисковое управляющее устройство - элемент 3, в котором формируется сигнал управления V по информации, которая выдается измерительным устройством.
Алгоритм управления, определяющий поведение сигнала V, должен обеспечить как можно более быстрое попадание выходной величины Z в заданную окрестность ее максимального значения и дальнейшее пребывание Z(t) в этой окрестности.
2.2 ОПИСАНИЕ ОБЪЕКТОВ СЭУ С ВЫДЕЛЯЕМОЙ И НЕВЫДЕЛЯЕМОЙ НЕЛИНЕЙНОЙ ХАРАКТЕРИСТИКОЙ
Для удобства расчета экстремальный объект управления искусственно разделяют на нелинейную и инерционную линейную части. Нелинейная часть представляет собой безынерционное звено, имеющее экстремальную статическую
характеристику. Линейная часть содержит линейные инерционные или интегрирующие звенья.
Рассмотрим случай, когда объект управления имеет инерционность после экстремального нелинейного звена. Структурная схема такой системы представлена на рисунке 2.2. Она состоит из объекта управления 1 и 2, исполнительного устройства 3, имеющего постоянную скорость, измерительного устройства 5, и поискового управляющего устройства - элемента 4.
Рисунок 2.2 - Система экстремального регулирования с объектом с выделяемой нелинейной характеристикой
Объект управления представляет собой последовательное соединение двух звеньев: статического и инерционного.
Примем, что статическая экстремальная характеристика описывается уравнением:
y = f(х) = с2х2 +c1. (2.5)
Причем известно, что f(x) - унимодальная функция в формуле (2.5) единственный экстремум - максимум (рисунок 2.3), который определяется:
dydx=2c2x
2c2x=0
Рисунок 2.3 - Статическая характеристика
Предполагается также известной оценка модуля скорости изменения нелинейной характеристики f(x) на некотором интервале изменения величины х:
Передаточная функция линейной части математической модели производственного процесса имеет вид:
- для объекта 1-го порядка:
Поведение линейной части можно описать дифференциальным уравнением:
тогда
Здесь Z(p) - выходная величина системы, максимальное значение которой должно быть достигнуто и удержано в результатах эксперимента.
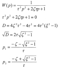
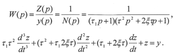
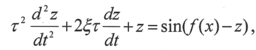
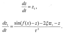
- Для объекта 2-го порядка:
- Для объекта 3-го порядка:
Обозначим
= z1 тогда
а через
= z2,
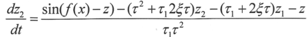
Отсюда следует, что:
На практике не всегда удается разделить экстремальный объект на линейную и нелинейную части. Рассмотрим структурную схему СЭР с невыделяемой нелинейной характеристикой, изображенную на рисунке 2.4.
Динамические характеристики объекта управления имеют вид:
- для объекта 1-го порядка:
Отсюда
Рисунок 2.4 - Система экстремального регулирования с объектом с невыделяемой
нелинейной характеристикой
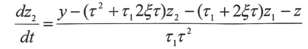
- Для объекта 2-го порядка:
тогда
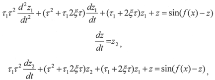
-Для объекта 3-го порядка:
где
2.3 ОПИСАНИЕ АЛГОРИТМА ПОИСКА ЭКСТРЕМУМА С ЗАПОМИНАНИЕМ ЭКСТРЕМУМА
Рассмотрим более подробно описанный выше алгоритм поиска экстремума с запоминанием экстремума.
Алгоритм запоминания экстремума заключается в использовании разности между текущим и экстремальным значением выходной величины для нахождения момента реверса системы и имеет вид:
= V1,V(0) = V1>0 (2.19)
Функция V(t) меняет знак на противоположный в моменты времени t , для которых выполняется соотношение:
ρ(tj) = -A0, ρ'(tj)<0 , (2.20)
где
p(t) = q(t) - max q(τ),
0< τ < t,
A0 > 0 , ρ'(t)=
.
В силу этого алгоритма в вычислительном устройстве запоминается максимальное значение выходного сигнала q измерительного устройства, реализовавшееся до текущего момента времени t и непрерывно вычисляется функция:
ρ(t) = q(t) - max q(τ)
0 < τ ≤ t
Если измерительный прибор и линейная часть модели производственного процесса не слишком инерционны, то процесс поиска экстремума происходит следующим образом.
В начальный момент t = 0,V(0) = V1 > 0 и координата х начинает
увеличиваться. Если х(0) находится слева от точки х*, в которой достигается у* - максимум нелинейной характеристики, то точка х движется к х*, функция ρ(t) при тождественно равна 0, т.к. max q(t), 0 < τ ≤ t достигается в текущий момент времени t. При этом переключения функции V(t) не происходит пока точка х не перескочит положение х*, величина у, а значит и Z и q не начнут уменьшаться, функция ρ(t) станет отрицательной, т.к. max q(t) > q(t), 0 < τ ≤ t. В силу приведенного правила переключение произойдет при ρ(t) = -А0, когда точка х окажется на
нисходящей ветви нелинейной характеристики на некотором расстоянии права от х* (рисунок 2.5).
Рисунок 2.5 - Поиск экстремума с запоминанием
После переключения V(t) начинается возвратное движение точки х, при
котором она через некоторое время окажется слева от х и второе переключение произойдет, когда снова, уменьшаясь, функция ρ(t) не достигнет -А0. Далее возникает колебательное движение точки х в некоторой двусторонней окрестности точки х’, а значит и выходной координаты Z относительно ее максимального значения (рисунок 2.6)
Рисунок 2.6 - Колебательные движения в окрестности экстремума
Если начальное положение х(0) точки х находится правее точки х*, то сначала точка х удаляется от х*, поскольку V(0) = V1>0, затем происходит переключение и дальнейший процесс аналогичен описанному выше.
Параметры V1 и А0 в законе управления выбираются так, чтобы обеспечить
попадание величины Z(t) в заданную достаточно малую окрестность Zmax за приемлемое время и дальнейшее пребывание ее в этой окрестности, т.е. выполнении неравенства:
Чем больше величина V1, тем быстрее изменяется координата x(t), а значит и Z(t) и тем быстрее Z(t) может попасть в окрестность точки Zmax.
Однако при увеличении Vl возрастают динамические ошибки
воспроизведения входных сигналов линейной частью математической модели и измерительным устройством. Это может привести к “проскакиванию“ координатой Z(t) своего максимального значения Zmax и к дальнейшим колебаниям относительно Zmax со значительной амплитудой. При малых значениях V1 перемещение Z(t) в точку Zmax произойдет за значительное время.
2.4 АНАЛИЗ ТОЧНОСТИ РАБОТЫ СЭУ С ВЫДЕЛЯЕМОЙ НЕЛИНЕЙНОЙ ХАРАКТЕРИСТИКОЙ
Анализ существующих методов исследования экстремальных систем может быть проведен лишь при условии точного определения требований, предъявляемых к данным системам, и круг задач, которые должны решаться этими методами.
Для начала рассмотрим метод оценивания точности функционирования СЭР со стационарной нелинейной характеристикой.
Пусть в алгоритме проведения экстремального эксперимента (законе управления) величина А0 определяется соотношением:
Предполагается, что возмущение φ0 и помеха ψ0 в измерительном тракте равны нулю φ0 = ψ0 = 0, тогда
Если в начальный момент времени t=0 выполняются соответствующие установившемуся режиму при отсутствии помех начальные условия:
то через
заведомо попадает и в дальнейшем при t>
уже не выйдет из окрестности максимума нелинейной характеристики у* = f(x*) = Zmax, заданной неравенством:
≤А1 (t≥
),
где
- момент второго (после начала работы системы) переключения управления V(t).
Здесь
А1= 2А0 + f1V1δ1 +φ0δ2.
В нашем случае:
А1 = 2A0+f1V1δ1, (2.25)
Используемые в соотношениях величины f1, V1 определены в формулах (2.6)
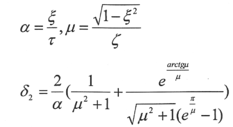
и (2.19). Параметры δ1,
, δ2,
выражается через характеристики корней характеристических уравнений, соответствующих дифференциальным уравнениям линейной части и измерительного устройства.
Обозначим через Рj (j =
) корни характеристического уравнения
N(p) = an+1pn + ... + а2р + а1 =0 модели линейной части производственного процесса.
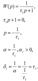
Тогда δ1 определяется как:
для объекта 1-го порядка:
Для объекта 2-го порядка:
Для объекта 3-го порядка:
Обозначим через
( j =
) - корни характеристического уравнения для измерительного устройства, тогда
определяется как:
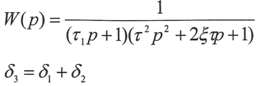
Передаточная функция измерительного устройства имеет вид:
тогда
















