Курс лекций (Аппаратное обеспечение) (1086418), страница 4
Текст из файла (страница 4)
- есть интегральные схемы, которые могут отказать;
- разъёмы;
- печатный монтаж;
- паяные соединения;
- элементы индикации.
1. В надёжную схему включены те элементы, отказ которых приводит к полному отказу работы модуля. Элементы индикации не обязательно включать в надёжностную схему.
1) В интегральных схемах вероятность отказа составляет: λ лс ~ 10-4÷10-6 ед/час.
2) Разъёмы имеют λ задаётся на одно контактное соединение: λ ~ 10-6 ед/час. (1/час).
3) Печатный монтаж. Печатные проводники имеют высокий уровень надёжности. λ ~ 10-9 1/час.
4) Печатное соединение. Зависит от способа пайки. λ ~ 10-6 1/час; λ ~ 10-8 1/час (на производстве).
Надёжностные схемы.
П
оследовательная надёжностная схема: отказ одного элемента ведёт к отказу всего модуля
2 условие. Считают, что отказы отдельных элементов входящие в надёжностную схему между собой не зависят, тогда согласно теории вероятности, вероятность сложного события (отказа всего модуля) можно подсчитать умножением вероятности простых событий: Qмодуля = qис qp qп; Рмодуля = рис рp рп.
3 условие. Интенсивность отказов модуля: λм = ∑λисi + ∑λpi + ∑λпi. Вероятность безотказной работы
Р = е-λt. Результат расчёта времени наработки на отказ будет:
. Время наработки на отказ Т = 1000 часов (для компьютера). Рабочая неделя более 100 часов, 1000 часов чуть больше месяца.
Расчёт надёжности восстанавливаемых с-м.
Отличие от невосстанавливаемых: невосстанавливаемые – это интегральные схемы.
Восстанавливаемые: процесс отказов; процесс восстановления отказавших систем. Интегральные методики расчёта опираются на упрощённые модели. Будем рассматривать простейшие потоки. Св-ва:
1. Стационарность. Поток называется стационарным если вероятность наступления определённого числа событий в этом промежутке времени не зависит от положения промежутка на оси времени.
2. Ординарность. Поток называется ординарным если вероятность наступления событий (2-х и более) отказов или восстановлений в таком промежутке времени очень маленькая.
3. Отсутствие последствия. Поток событий называется поток последствия если вероятность наступления некоторого числа событий в заданном промежутки времени не зависит от того, сколько событий и в какие моменты времени они наступили. Стационарный пуассоновский поток.
Время восстановления ТВ = Тобн. + Тлок + Тустран + Тпуск. Тобн – время обнаружения; Тлок – время локализации; Тустран – время устранения; Тпуск – время наладки и пуска.
Методика расчёта надёжности восстанавливаемых систем.
Процесс отказа λ(t) и процесс восстановления μ(t) идут параллельно. Интегральная характеристика – коэффициент готовности
.
Условия приближённого расчёта надёжности восстановительных изделий:
1. Отказа и восстановления отдельных элементов и подсистем, независимые случайные события описываемые как простейшие потоки.
2. Интенсивность отказов и восстановления зависят от времени (λ – const, μ - const).
3
. Время восстановления намного меньше по величине времени наработки на отказ.
1)
; 2)
, n – число элементов схемы; 3)
. Элементы системы не являются независимыми.
Т.к. μ>>λ, то пренебрегаем и получаем
. Если устройства включены в режим горячего резервирования (рис), то это параллельная надёжностная схема
.
Когда есть элемент, который резервируется в скользящем режиме. Включается резервный элемент, он может включиться вместо любого элемента.μ = (m-r+1)μi. (на рис) m=3 – кол-во элементов; (r=2) – кол-во действующих элементов.
; С – число сочетаний; λ=μ(1-Кг).
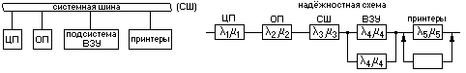
Пример расчёта характеристик надёжности резервированной восстанавливаемой с-мы.
Необходимо привести численные значения характеристик.
| Устройство | Интенсивность | |||
| Отказ λ, 1/ч | Восстановлении μ, 1/ч | |||
| 1 | ЦП | 10-5 | 0,1 | 1-10-4 |
| 2 | ОП | 10-4 | 1 | 1-10-4 |
| 3 | СШ | 10-6 | 0,1 | 1-10-5 |
| 4 | ВЗУ | 10-4 | 0,1 | 1-10-3 |
| 5 | Принтер | 10-3 | 0,01 | 1-0,1 |
Подсчитываем хар-ки подсистем:
- подсистема принтера (r = 1, m = 2). Расчёт надёжности всей с-мы: λ = 10-5+10-4+10-6+210-7+210-4=310-4.
.
Кг = 0,99. Время наработки на отказ Т=1/λ=3300ч. Время восстановления Тв=1/μ=33ч.
Надёжность программного обеспечения.
Ошибки ПО могут появиться не сразу. Есть подходы позволяющие оценивать надёжность с-мы и потом накладывать те ошибки, которые могут быть в ПО. У ПО масса особенностей по сравнению с железом. Особенности:
1. Программы не являются серийно изготавливаемой продукцией (ручная работа).
2. ПО не подвержено старению или износу.
3. ПО трудно классифицировать как восстанавливаемые и не восстанавливаемые. При нахождении ошибок программу корректируют (похоже не восстановление). Но с другой сторон этот процесс является источником других ошибок.
4. Надёжность ПО зависит от используемой входной информации, т.е. редкие входные наборы могут проявить некоторые скрытые ошибки, которые другим путём выявить не реально.
Тестировать с наперёд заданной точностью не получается. Каждая из этих переменных может принимать 1000 значений, входной набор данных для проверки 1030.
Пример скрытой ошибки.
. При х очень маленьком возникает ошибка, т.к. в знаменателе может быть очень маленькое число и результат может быть непредсказуем. x≤, - заранее определённое значение.
.
Статистика причин обуславливающая ошибки ПО.
1. Неполное или ошибочное задание на программирование – 28%.
2. Пренебрежение правилами корректного программирования – 12%.
3. Использование ошибочных наборов данных – 10%.
4. Ошибочная логика и ошибочная последовательность операций в программе – 12%.
5. Неправильная обработка прерываний. – 9%.
6. Другие ошибки.
Расчёт надёжности ПО.
Т
.к. программа не серийная, можно использовать только те данные, которые получены от этой программы. В результате можно посчитать ориентировочное время возникновения следующего отказа (tз).
Модель Джелинского – Моранды.
Считается, что время до следующего отказа программы распределено экспоненциально P(ti)=exp(-λit); λi=c(N-(i-1)); с- коэффициент пропорциональности; N – первоначальное гипотетическое число ошибок; i – текущая ошибка, которая может возникнуть. Отсчёт времени ti=0 в момент второго отказа и ищем время t соответствующие следующему отказу. t1-?; t2-?
Аналитически решить не возможно, т.к. уравнение экспоненциальное.
. К – число экспериментально полученных интервалов между отказами.
. t1, t2, t3 – заданны. t1=10, t2=20, t3=25. Это могут быть часы работы, либо количество прогонов.
(1) – решается методом перебора. Мы ищем число потенциальных отказов – N. N может быть 4,5 и более, т.к. было уже 3. N=4; K=3.
; 152 ~ 155 – здесь лучше.
Берём N=5; K=3 считаем:
; 210 ~ 205. Значит потенциально 4 источника отказов. Считаем «С»
; λi=C1. Вероятность наработки на следующий отказ P(t)=e-ct. Среднее время наработки
. P(t=50)=e-1.
11
















