Ответы по дисциплине Эконометрика (1085144), страница 5
Текст из файла (страница 5)
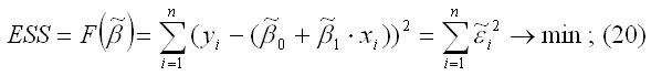
Из рисунка 10.1 видно, что для каждого значения
экспериментальное
и расчетное
значения различаются на некоторую величину
, называемую абсолютной разностью. Потребовав, чтобы сумма квадратов абсолютных разностей для всех точек была минимальной, найдем оптимальные параметры функции
: если выполняется условие
(10.2)
где
, то считается, что функция
подобрана наилучшим образом.
Рассмотрим все изложенное выше на примере линейной регрессии.
10.2 Линейная регрессия
Будем искать приближающую функцию в виде:
Абсолютная разность
для
определяется следующим образом:
формулу (10.2) перепишем в виде:
Рассматриваемая сумма является функцией с двумя параметрами
Задача сводится к отысканию минимума этой функции. Используем необходимое условие экстремума:
т.е.
(10.3)
Решив систему двух уравнений с двумя неизвестными относительно параметров
и
, получим
конкретный вид искомой функции
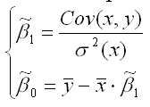
Опуская математические выкладки, запишем выражения для искомых параметров:
(10.4)
Рассчитав значение
, получим величину среднеквадратичной ошибки рассматриваемого приближения.
Замечание: найденные значения
и
определяют точку
экстремума
.
Используя неравенство Коши-Буняковского можно доказать, что в этой точке функция принимает минимальное значение (см. [2]).
Как видно из рассмотренного примера, изменение количества параметров не приведет к искажению сущности самого подхода, изменится лишь количество уравнений в системе (10.3) (для
параметров соответственно будет записано
уравнений).
Линейная, параболическая и кубическая модели метода наименьших квадратов, соответствующие системы нормальных уравнений Гаусса
Метод Гаусса прекрасно подходит для решения систем линейных алгебраических уравнений (СЛАУ). Он обладает рядом преимуществ по сравнению с другими методами:
-
во-первых, нет необходимости предварительно исследовать систему уравнений на совместность;
-
во-вторых, методом Гаусса можно решать не только СЛАУ, в которых число уравнений совпадает с количеством неизвестных переменных и основная матрица системы невырожденная, но и системы уравнений, в которых число уравнений не совпадает с количеством неизвестных переменных или определитель основной матрицы равен нулю;
-
в-третьих, метод Гаусса приводит к результату при сравнительно небольшом количестве вычислительных операций.
Определение коэффициентов модели регрессии осуществляется на третьем этапе схемы построения эконометрической модели. В результате этой процедуры рассчитываются оценки (приближенные значения) неизвестных коэффициентов спецификации модели.
Спецификация линейной эконометрической модели из изолированного уравнения с гомоскедастичными возмущениями имеет вид:
Рассмотрим метод наименьших квадратов на примере оценивания эконометрических моделей в виде моделей парной регрессии (изолированных уравнений с двумя переменными).
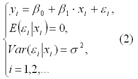
Если уравнение модели содержит две экономические переменные – эндогенную yiи предопределенную xi, то модель имеет вид:
Данная модель называется моделью линейной парной регрессии и содержит три неизвестных параметра:
β0 , β1 , σ. (3)
Предположим, что имеется выборка: (х1, y1), (х2, y2),… (хn , yn) (4)
Тогда в рамках исследуемой модели данные величины связаны следующим образом:
y1 = a0 + a1 * x1 + u1,
y2 = a0 + a1 * x2 + u2, (5)
…
yn= a0 + a1 * x n + u n.
Данная система называется системой уравнений наблюдения объекта в рамках исследуемой линейной модели или схемой Гаусса-Маркова.
Компактная запись схемы Гаусса-Маркова:
где
– вектор-столбец известных значений эндогенной переменной yiмодели регрессии;
– вектор-столбец неизвестных значений случайных возмущений εi;
– матрица известных значений предопределенной переменной xi модели;
β = (β0 β1 )Т (10) – вектор неизвестных коэффициентов модели регрессии.
Обозначим оценку вектора неизвестных коэффициентов модели регрессии как
Данная оценка вычисляется на основании выборочных данных (7) и (9) с помощью некоторой процедуры:
где P (X, ỹ) – символ процедуры.
Процедура (12) называется линейной относительно вектора (7) значений эндогенной переменной yi, если выполняется условие:
где
(14) – матрица коэффициентов, зависящих только от выборочных значений (9) предопределенной переменной хi.
Теорема Гаусса-Маркова. Пусть матрица Х коэффициентов уравнений наблюдений (6) имеет полный ранг, а случайные возмущения (8) удовлетворяют четырем условиям:
E(ε1) = E(ε2) = … = E(εn) = 0, (15)
Var(ε1) = Var(ε2) = … = Var(εn) = σ2(16)
Cov(εi, εj) = 0 при i≠j(17)
Cov(xi,εj) = 0 при всех значениях i и j (18)
В этом случае справедливы следующие утверждения:
а) наилучшая линейная процедура (13), приводящая к несмещенной и эффективной оценке (11), имеет вид:
б) линейная несмещенная эффективная оценка (19) обладает свойством наименьших квадратов:
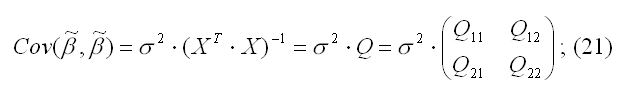
в) ковариационная матрица оценки (19) вычисляется по правилу:
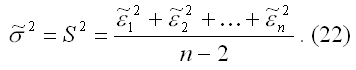
г) несмещенная оценка параметра σ2 модели (2) находится по формуле:
Следствие теоремы Гаусса-Маркова. Оценка
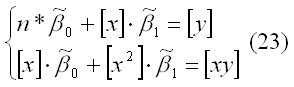
доставляемая процедурой (19) метода наименьших квадратов, может быть вычислена в процессе решения системы двух линейных алгебраических уравнений:
Данная система называется системой нормальных уравнений. Ее коэффициенты и свободные члены определяются по правилам:
[x] = x1 + x2 +…+ xn,
[y] = y1 + y2 +…+ yn, (24)
x2] = x12 + x22 +…+ xn2,
[xy] = x1*y1 + x2*y2 + … + xn*yn.
Явный вид решения системы (23):
Методы дисконтирования и определение величины будущего денежного потока. Единовременное дисконтирование, дисконтирование отдельных платежей, многократное дисконтирование в течение периода времени.
Метод дисконтированных денежных потоков (ДДП) более сложен, детален и позволяет оценить объе кт в сл учае получения от него нестабильных денежных потоков, моделируя характерные черты их поступления.
Применяется метод ДДП, когда:
• предполагается, что будущие денежные потоки будут существенно отличаться от текущих ;
• имеются данные, позволяющие обосновать размер будущих по токов денежных средств от недвижимости;
• потоки доходов и расходов носят сезонный характер;
• оцениваемая недвижимость – крупный многофункциональный коммерческий объект;
• объект недвижимости строится или только что построен и ввод: (или введен в действие).
Метод дисконтированных денежных потоков – наиболее универсальный метод, позволяющий определить настоящую стоимость буду щих денежных потоков. Денежные потоки могут произвольно изменять ся, неравномерно поступать и отличаться высоким уровнем риска. Это связано со спецификой такого понятия, как недвижимое имущество. Недвижимое имущество приобретается инвестором в основном изза опре деленных выгод в будущем. Инвестор рассматривает объект недвижимости в виде набора будущих преимуществ и оценивает его привлекательность с позиций того, как денежное выражение этих будущих преимуществ соотносится с ценой, по которой объект может быть приобретен.
Метод ДДП позволяет оценить стоимость недвижимости на основе текущей стоимости дохода, состоящего из прогнозируемых денежных потоков и остаточной стоимости.
Метод скользящей средней и метод экспоненциального сглаживания. Смотри вопросы 8 и 9.
Кривая Лоренца – принцип построение и получения исходных данных.
Кривая Лоренца – это графическое изображение неравенства распределения доходов среди населения. Предложена в 1905 г. американским экономистом и статистиком Максом Отто Лоренцом (1876—1959). Кривая описывает, какую часть совокупного дохода общества получает каждая доля низкодоходных и высокодоходных домохозяйств.
Рассмотрим механизм построения кривой Лоренца. По оси Х откладывается доля населения (20%, 40% и т.д.), а по оси Y – доля доходов в обществе. Линию, отложенную под углом 45 градусов (линия ОА), можно считать линией равномерного распределения или абсолютного равенства. Естественно, ведь первых 20% (наибеднейших) населения владеют соответствующими 20% богатств, 40% населения – 40% богатств и т.д. Реальное же распределение будет всегда отличаться от этой прямой.
Распределение доходов по линиям ОВ-ВА соответствует абсолютному неравенству, так как все 100% доходов принадлежат всего одному домохозяйству, остальные же не имеют ничего.
На рисунке мы видим кривую Лоренца, которая интерпретируется достаточно просто: 20% наибеднейших домохозяйств обладают 5% совокупного дохода; 40% беднейших домохозяйств обладают 15% доходов и т.д. Чем более выпуклой является кривая, тем большим будет неравенство при распределении доходов в обществе.
Кривые Лоренца наглядно демонстрируют политику выравнивания доходов, проводимую государством посредством налогообложения и разного рода социальных программ. При прогрессивной налоговой системе с более высоких доходов взимается более высокий налог. В результате различных социальных программ увеличиваются доходы наименее обеспеченной части населения. На основе соответствующих данных можно построить кривые Лоренца, которые отражали бы распределение доходов до выплаты налогов, после их уплаты и после получения выплат и пособий по социальным программам (см. рисунок).
Чтобы построить кривую Лоренца, откладываем по оси X процент семей, а по оси Y - процент дохода Абсолютное равенство графически представлено биссектрисой ОЕ.
Линия фактического неравенства строится на основании данных о процентах дохода, приходящихся на каждые 10% населения. Если нижняя первая часть населения получила 3,2% всех доходов, то графически это будет точка А. Чтобы получить точку В необходимо сложить процент дохода первых 10% населения с процентами доходов вторых 10% населения (1,9% + 2,5%) и т.д.
| Сумма нарастающего дохода | Итого % семей |
| 1,9 | 10 |
| 2,5 | 20 |
| 4,3 | 30 |
| 5 | 40 |
| 6,8 | 50 |
| 8,4 | 60 |
| 9 | 70 |
| 12 | 80 |
| 16 | 90 |
| 34,1 | 100 |
Рассчитаем коэффициенты концентрации доходов (индекс Джини).
Уровень неравенства определяется с помощью коэффициента Джини. Он рассчитывается как отношение площади фигуры OABCDKLMNPE к площади треугольника ОEG. Для того чтобы определить площадь фигуры, лежащей ниже кривой Лоренца, соединяем прямыми линиями точки ОА, АВ и т.д. Опускаем перпендикуляр на ось X и находим площади фигур, лежащих ниже точек А, B, С.
















