Лекция 23 (1085003), страница 3
Текст из файла (страница 3)
то напряжение на выходе ЧД будет равно нулю и управляющего сигнала на выходе ФНЧ не будет. В то же время для компенсации дестабилизирующего фактора этот сигнал должен быть, а он возможен только при выполнении примерного соотношения (**).
Частичная компенсация дестабилизирующего фактора, а также увеличение нестабильности частоты f АГПД за счёт нестабильности средней частоты ЧД fЧД являются важнейшими недостатками систем ЧАП.9
В системе ФАП обеспечивается более высокая стабильность частоты выходных колебаний, чем в системе ЧАП, за счёт исключения влияния остаточной расстройки фазового детектора (ФД) и нестабильности его средней частоты. В системе ФАП частота п
одстраиваемого АГПД оказывается точно равной частоте опорного генератора, то есть f = fОГ. При этом сигнал на выходе ФД не равен нулю. Однако система ФАП по сравнению с ЧАП обладает более узкой полосой схватывания, определяемой максимально допустимой величиной начальной расстройки АГПД, при которой после включения система АПЧ нормально функционирует. Кроме того, в системах ФАП несколько хуже подавление ненужных комбинационных частот.
ЧАП и ФАП в возбудителях иногда применяются совместно, и такие системы сокращённо называют ЧФАП. В этих системах реализуются достоинства ЧАП и ФАП. Находят также применение системы с двумя кольцами ЧАП, сокращённо называемые системами ЧАП – ЧАП.
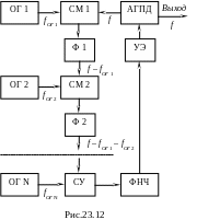
Возбудители с АПЧ относятся к непрямым синтезаторам. Часто они строятся по более сложным схемам, имеющим несколько опорных генераторов, как показано, например, на рис.23.12. Такая схема целесообразна на СВЧ, когда достижимая частота опорного генератора заметно ниже рабочей частоты.
Декадные синтезаторы частот
Декадные схемы синтезаторов используют десятичную систему образования дискретных частот. Как правило, в подобных схемах используют один КАГ на частоту fK с высокой стабильностью, а дискретные частоты образуются путём многократного умножения, деления и преобразования частоты fK.
Установка частоты в таких синтезаторах производится декадными переключателями,10 поэтому отпадает необходимость в громоздких градуировочных таблицах (требуемых в интерполяционных схемах при большом числе частот и соответственно сменных КвР) и градуировочных графиках (требуемых в компенсационных схемах и устанавливающих связь между частотой АГПД и требуемой рабочей частотой). Поэтому декадные синтезаторы получили широкое распространение.
Одна из возможных структурных схем декадного синтезатора представлена на рис.23.13.
И
з частоты стабильного КАГ fК формируются с помощью делителей частоты в 10 раз частоты, имеющие десятичную градацию: 0,1fК и 0,01fК. Эти частоты и частота fК поступают на генераторы гармоник ГГ 1, ГГ 2, ГГ 3 соответственно, на выходах которых образуются колебания, содержащие большое количество гармонических составляющих, кратных указанным частотам. С помощью фильтров Ф 1, Ф 2, Ф 3 выделяется любая из интересующих гармоник f1, f2, f3. Получение рабочей частоты f = f1 + f2 + f3 осуществляется в нелинейном преобразователе – сумматоре. Возникающие при нелинейном преобразовании ненужные комбинационные частоты должны быть подавлены. Наиболее просто эта задача решается в схеме с использованием диапазонного автогенератора АГПД, частота которого стабилизируется с помощью кольца ФАП. На схеме (рис.23.13) в это кольцо входят смесители СМ 1, СМ 2, фазовый детектор ФД и управляющий элемент УЭ. Фильтры (фильтрующие устройства) Ф 1, Ф 2, Ф 3 и делители частоты также выполняются в виде АГ, стабилизированных кольцами автоподстройки. Основным элементом кольца автоподстройки в этом случае является импульсно-фазовый детектор, на один вход которого подаётся непрерывный сигнал, а на другой – кратковременные импульсы. Система ФАП в рассматриваемой схеме обеспечивает равенство частот f3 = f – f1 – f2, из чего следует, что рабочая частота f = f1 + f2 + f3. Соответственно правая часть схемы, выделенная на рис.23.13, рассматривается как сумматор частот.
В схеме (рис.23.13) интервал (шаг) сетки частот ∆F0 = 0,01fК. Добавляя каскады деления частоты, можно уменьшить этот интервал. Если в схему ввести каскады умножения частоты fК в 10 раз (аналогично каскадам деления частоты), то можно поднять вверх диапазон рабочих частот.
Нетрудно усмотреть сходство в схемах (рис.23.12) и (рис.23.13). Различие только в том, что в схеме (рис.23.12) частоты опорных генераторов в общем случае не кратны 10, но они могут быть в отдельных случаях гармониками одного КАГ.
Рассмотренный декадный синтезатор, как видно из представленной структурной схемы (рис.23.13), построен на принципе частотного анализа и, следовательно, относится к непрямым синтезаторам частоты.
Наличие перестраиваемых АГ различных диапазонов с кольцами фазовой и импульсно-фазовой автоподстройки существенно усложняет декадный синтезатор. Подобные возбудители обычно находят применение в стационарных радиопередатчиках.
Лет 25 – 30 назад начали широко использоваться декадные синтезаторы, работающие на принципе синтеза выходной частоты. Известны они как декадные синтезаторы с идентичными декадами. Структурная схема такого декадного синтезатора частот представлена на рис.23.14.
В
озбудитель содержит опорный генератор (ОГ) из частоты которого в датчике опорных частот (ДОЧ) формируются 10 опорных частот: fОП0, fОП1, fОП2,…, fОП9, связанных соотношением
fОП n = fОП0 + n∆f,
где n – номер опорной частоты (n = 0…9); ∆f – интервал сетки частот ДОЧ.
На выходе ДОЧ также имеется опорная частота f /ОП, которая связана с частотой fОП0 соотношением
fОП0 = 9 f /ОП.
В возбудителе имеется К идентичных декадных преобразователей частот. Первый декадный преобразователь соответствует самому мелкому разряду. Подключение преобразователей к ДОЧ осуществляется переключателями П1, П2,…, ПК. На вход первого смесителя СМ1 поступают частоты f /ОП и fОП П1 = fОП0 + n1∆f, где n1 – положение переключателя П1 от 0 до 9. На выходе СМ1 имеется частота f /1 = fОП П1 + f /ОП, соответственно на выходе первого декадного преобразователя имеется частота
f1 = 0,1 f /1 = 0,1( fОП П1 + f /ОП) = 0,1( fОП0 + n1∆f + f /ОП) =
= 0,1(9f /ОП + f /ОП + n1∆f ) = f /ОП + 0,1 n1∆f.
На вход смесителя второго преобразователя СМ2 поступают частота f1 с выхода первого преобразователя и частота с ДОЧ fОП П2 = fОП0 + n2∆f, где n2 – положение переключателя П2 от 0 до 9. На выходе СМ2 имеется суммарная частота f /2 = f1 + fОП П2 =
= f /ОП + 0,1 n1∆f + fОП0 + n2∆f = f /ОП + 0,1 n1∆f + 9f /ОП + n2∆f.
После второго декадного преобразователя имеем частоту
f2 = 0,1f /2 = f /ОП + 0,1n2∆f + 0,01n1∆f.
Если после первого преобразователя можно иметь 10 частот, то после второго – сто частот.
Очевидно, после К-го преобразователя имеем частоту:
Определяемая (***) частота является выходной частотой возбудителя: fК = fВЫХ.
Когда все переключатели находятся в положении 0 (n1 = n2 = …= nК = 0), то fК = f /ОП, а в общем случае на выходе синтезатора получается диапазон частот от f /ОП до
Есть схемы, в которых последний декадный преобразователь не содержит делителя частоты. В этом случае выходная частота снимается с выхода фильтра последнего смесителя СМК и в 10 раз будет выше частоты, определяемой (***), то есть
Отсутствие перестраиваемых элементов и как следствие простота управления частотой возбудителя позволяют автоматизировать процесс перестройки частоты передатчика, что обусловливает широкое применение рассмотренной схемы возбудителя на практике.
Недостаток схемы: повышенный уровень шума из-за возникновения побочных составляющих в каждом смесителе.
Цифровые синтезаторы частот
Широкое применение в различных областях радиотехники находят цифровые способы обработки сигналов. Соответственно лет 20 – 25 тому назад стали применяться так называемые цифровые синтезаторы частот. Существуют разные принципы формирования частот с использованием цифровых методов. Соответственно им цифровые синтезаторы могут быть построены по методу прямого синтеза или по методу анализа частот. Более широкое применение получили синтезаторы, работающие по методу анализа частот («непрямые синтезаторы» ), позволяющие максимально использовать элементы цифровой схемотехники. Обычно их и называют цифровыми синтезаторами частот. По сравнению с другими типами синтезаторов цифровые синтезаторы частот имеют значительные преимущества по габаритным размерам, технологичности и надёжности.
По своей идее формирования стабильных частот цифровые синтезаторы подобны нецифровым. В цифровых синтезаторах частот используются импульсно-фазовые детекторы и делители частоты на специальных импульсных микросхемах, позволяющих реализовать делители частоты с большим как постоянным, так и переменным коэффициентом деления. Рассмотренные ранее декадные синтезаторы частот, в которых также используются импульсно-фазовые детекторы, можно считать прообразом цифровых синтезаторов частот.















