Шпора Сети (1084722), страница 4
Текст из файла (страница 4)
Рис. 1.18. Логическая структуризация сети с помощью моста
Мосты используют для локализации трафика аппаратные адреса компьютеров. Мост запоминает, через какой порт на него поступил кадр данных от каждого компьютера сети, и в дальнейшем передает кадры, предназначенные для этого компьютера, на этот порт. Точной топологии связей между логическими сегментами мост не знает. Из-за этого применение мостов приводит к значительным ограничениям на конфигурацию связей сети - сегменты должны быть соединены таким образом, чтобы в сети не образовывались замкнутые контуры.
Коммутатор (switch, switching hub) по принципу обработки кадров ничем не отличается от моста. Отличие - что он является своего рода коммуникационным мультипроцессором, так как каждый его порт оснащен специализированным процессором, который обрабатывает кадры по алгоритму моста независимо от процессоров других портов. Общая производительность коммутатора обычно намного выше производительности традиционного моста, имеющего один процессорный блок.
Ограничения, связанные с применением мостов и коммутаторов - по топологии связей, а также ряд других, - привели к тому, что в ряду коммуникационных устройств появился еще один тип оборудования - маршрутизатор (router). Маршрутизаторы более надежно и более эффективно, чем мосты, изолируют трафик отдельных частей сети друг от друга. Маршрутизаторы образуют логические сегменты посредством явной адресации, поскольку используют не плоские аппаратные, а составные числовые адреса. В этих адресах имеется поле номера сети, так что все компьютеры, у которых значение этого поля одинаково, принадлежат к одному сегменту, называемому в данном случае подсетью (subnet).
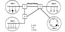
Кроме локализации трафика маршрутизаторы выполняют еще много других полезных функций. Маршрутизаторы могут работать в сети с замкнутыми контурами, при этом они осуществляют выбор наиболее рационального маршрута из нескольких возможных. Сеть, представленная на рис. 1.19, отличается от своей предшественницы (см. рис. 1.18) тем, что между подсетями отделов 1 и 2 проложена дополнительная связь, которая может использоваться как для повышения производительности сети, так и для повышения ее надежности.
Рис. 1.19. Логическая структуризация сети с помощью маршрутизаторов
Важной функцией маршрутизаторов является их способность связывать в единую сеть подсети, построенные с использованием разных сетевых технологий. Кроме перечисленных устройств отдельные части сети может соединять шлюз (gateway). Обычно основной причиной, по которой в сети используют шлюз, является необходимость объединить сети с разными типами системного и прикладного программного обеспечения, а не желание локализовать трафик. Тем не менее шлюз обеспечивает и локализацию трафика в качестве некоторого побочного эффекта.
Крупные сети практически никогда не строятся без логической структуризации. Для отдельных сегментов и подсетей характерны типовые однородные топологии базовых технологий, и для их объединения всегда используется оборудование, обеспечивающее локализацию трафика, - мосты, коммутаторы, маршрутизаторы и шлюзы.
Широковещательный шторм
Обычно протоколы проектируются таким образом, что уровень широковещательного трафика составляет небольшую долю общей пропускной способности сети. Считается, что нормальный уровень широковещательного трафика не должен превышать 8% - 10% пропускной способности сети. Однако, уже при достижении порога в 5% считается целесообразным провести анализ узлов, которые генерируют наибольщую долю широковещательного трафика - возможно, они нуждаются в реконфигурации.
Каждый протокол-источник широковещательных пакетов чаще всего порождает широковещательный трафик постоянной интенсивности, так как посылает в сеть пакеты фиксированного размера через определенные промежутки времени. Общая интенсивность широковещательного трафика в сети будет определяться двумя факторами - количеством источников такого трафика и средней интенсивностью каждого источника. Превышение широковещательным трафиком уровня более 20% называется широковещательным штормом (bradcaststorm). Это явление крайне нежелательно, так как приводит к возрастанию коэффициента использования сети, а, следовательно, и к резкому увеличению времени ожидания доступа.
Билет №8
Глобальная сеть x.25. структурная схема, подключение абонентов, стек протоколов, порядок установления виртуального соединения.
Назначение и структура сетей Х.25
Технология сетей Х.25 имеет несколько существенных признаков, отличающих ее от других технологий.
Наличие в структуре сети специального устройства - PAD (Packet Assembler Disassembler), предназначенного для выполнения операции сборки нескольких низкоскоростных потоков байт от алфавитно-цифровых терминалов в пакеты, передаваемые по сети и направляемые компьютерам для обработки. Эти устройства имеют также русскоязычное название «Сборщик-разборщик пакетов», СРП.
Наличие трехуровневого стека протоколов с использованием на канальном и сетевом уровнях протоколов с установлением соединения, управляющих потоками данных и исправляющих ошибки.
Ориентация на однородные стеки транспортных протоколов во всех узлах сети - сетевой уровень рассчитан на работу только с одним протоколом канального уровня и не может подобно протоколу IP объединять разнородные сети. Сеть Х.25 состоит из коммутаторов (Switches, S), называемых также центрами коммутации пакетов (ЦКП), расположенных в различных географических точках и соединенных высокоскоростными выделенными каналами (рис. 6.22). Выделенные каналы могут быть как цифровыми, так и аналоговыми.
Рис. 6.22. Структура сети Х.25
Асинхронные старт-стопные терминалы подключаются к сети через устройства PAD. Они могут быть встроенными или удаленными. Встроенный PAD обычно расположен в стойке коммутатора. Терминалы получают доступ ко встроенному устройству PAD по телефонной сети с помощью модемов с асинхронным интерфейсом. Встроенный PAD также подключается к телефонной сети с помощью нескольких модемов с асинхронным интерфейсом. Удаленный PAD представляет собой небольшое автономное устройство, подключенное к коммутатору через выделенный канал связи Х.25. К удаленному устройству PAD терминалы подключаются по асинхронному интерфейсу, обычно для этой цели используется интерфейс RS-232C. Один PAD обычно обеспечивает доступ для 8, 16 или 24 асинхронных терминалов.
К основным функциям PAD, определенных стандартом Х.З, относятся:
сборка символов, полученных от асинхронных терминалов, в пакеты;
разборка полей данных в пакетах и вывод данных на асинхронные терминалы;
управление процедурами установления соединения и разъединения по сети Х.25 с нужным компьютером;
передача символов, включающих старт-стопные сигналы и биты проверки на четность, по требованию асинхронного терминала;
продвижение пакетов при наличии соответствующих условий, таких как заполнение пакета, истечение времени ожидания и др.
Терминалы не имеют конечных адресов сети Х.25. Адрес присваивается порту PAD, который подключен к коммутатору пакетов Х.25 с помощью выделенного канала.
Компьютеры и локальные сети обычно подключаются к сети Х.25 непосредственно через адаптер Х.25 или маршрутизатор, поддерживающий на своих интерфейсах протоколы Х.25. Для управления устройствами PAD в сети существует протокол Х.29, с помощью которого узел сети может управлять и конфигурировать PAD удаленно, по сети. При необходимости передачи данных компьютеры, подключенные к сети Х.25 непосредственно, услугами PAD не пользуются, а самостоятельно устанавливают виртуальные каналы в сети и передают по ним данные в пакетах Х.25.
Стек протоколов сети Х.25
Стандарты сетей Х.25 описывают 3 уровня протоколов (рис. 6.23).
Рис. 6.23. Стек протоколов сети X.25
На физическом уровне определены синхронные интерфейсы Х.21 и Х.21 bis к оборудованию передачи данных - либо DSU/CSU, если выделенный канал является цифровым, либо к синхронному модему, если канал выделенный.
На канальном уровне используется подмножество протокола HDLC, обеспечивающее возможность автоматической передачи в случае возникновения ошибок в линии. Предусмотрен выбор из двух процедур доступа к каналу: LAP или LAP-B.
На сетевом уровне определен протокол Х.25/3 обмена пакетами между оконечным оборудованием и сетью передачи данных.
Транспортный уровень может быть реализован в конечных узлах, но он стандартом не определяется.
Протокол физического уровня канала связи не оговорен, и это дает возможность использовать каналы разных стандартов.
На канальном уровне обычно используется протокол LAP-B. Этот протокол обеспечивает сбалансированный режим работы, то есть оба узла, участвующих в соединении, равноправны. По протоколу LAP-B устанавливается соединение между пользовательским оборудованием DTE (компьютером, IP- или IPX-маршрутизатором) и коммутатором сети. Хотя стандарт это и не оговаривает, но по протоколу LAP-B возможно также установление соединения на канальном уровне внутри сети между непосредственно связанными коммутаторами. Протокол LAP-B почти во всех отношениях идентичен протоколу LLC2, описанному в главе 3, кроме адресации. Кадр LAP-B содержит одно однобайтовое адресное поле (а не два - DSAP и SSAP), в котором указывается не адрес службы верхнего уровня, а направление передачи кадра - 0х01 для направления команд от DTE к DCE (в сеть) или ответов от DCE к DTE (из сети) и 0х03 для направления ответов от DTE к DCE или команд от DCE к DTE. Поддерживается как нормальный режим (с максимальным окном в 8 кадров и однобайтовым полем управления), так и расширенный режим (с максимальным окном в 128 кадров и двухбайтовым полем управления).
Сетевой уровень Х.25/3 (в стандарте он назван не сетевым, а пакетным уровнем) реализуется с использованием 14 различных типов пакетов, по назначению аналогичных типам кадров протокола LAP-B. Так как надежную передачу данных обеспечивает протокол LAP-B, протокол Х.25/3 выполняет функции маршрутизации пакетов, установления и разрыва виртуального канала между конечными абонентами сети и управления потоком пакетов.
После установления соединения на канальном уровне конечный узел должен установить виртуальное соединение с другим конечным узлом сети. Для этого он в кадрах LAP-B посылает пакет Call Request протокола X.25. Формат пакета Call Request показан на рис. 6.24.
Для установления вирт соединения протокол LAPD формирует запрос call request. Передается по системе коммутатора. По мере прохождения идут ответы – установление соединения, соед установлено, подтверждение. Протокол Q931 – с установлением логического соединения нужно отследить надежность доставки.
Билет №9.
Необходимость сетевого уровня OSI для объединения простых ЛВС в составную гетерогенную сеть.
Сетевой уровень (Network layer) служит для образования единой транспортной системы, объединяющей несколько сетей, причем эти сети могут использовать совершенно различные принципы передачи сообщений между конечными узлами и обладать произвольной структурой связей. под сетью понимается совокупность компьютеров, соединенных между собой в соответствии с одной из стандартных типовых топологий и использующих для передачи данных один из протоколов канального уровня, определенный для этой топологии.
Внутри сети доставка данных обеспечивается соответствующим канальным уровнем, а вот доставкой данных между сетями занимается сетевой уровень, который и поддерживает возможность правильного выбора маршрута передачи сообщения даже в том случае, когда структура связей между составляющими сетями имеет характер, отличный от принятого в протоколах канального уровня. Сети соединяются между собой специальными устройствами, называемыми маршрутизаторами. Маршрутизатор - это устройство, которое собирает информацию о топологии межсетевых соединений и на ее основании пересылает пакеты сетевого уровня в сеть назначения. Чтобы передать сообщение от отправителя, находящегося в одной сети, получателю, находящемуся в другой сети, нужно совершить некоторое количество транзитных передач между сетями, или хопов (от hop - прыжок), каждый раз выбирая подходящий маршрут. Таким образом, маршрут представляет собой последовательность маршрутизаторов, через которые проходит пакет.
На рис. 1.27 показаны четыре сети, связанные тремя маршрутизаторами. Между узлами А и В данной сети пролегают два маршрута: первый через маршрутизаторы 1 и 3, а второй через маршрутизаторы 1, 2 и 3.
Рис. 1.27. Пример составной сети
Проблема выбора наилучшего пути называется маршрутизацией, и ее решение является одной из главных задач сетевого уровня. Эта проблема осложняется тем, что самый короткий путь не всегда самый лучший. Часто критерием при выборе маршрута является время передачи данных по этому маршруту; оно зависит от пропускной способности каналов связи и интенсивности трафика, которая может изменяться с течением времени. Некоторые алгоритмы маршрутизации пытаются приспособиться к изменению нагрузки, в то время как другие принимают решения на основе средних показателей за длительное время. Выбор маршрута может осуществляться и по другим критериям, например надежности передачи.
















