КП (1083755)
Текст из файла
МИНИСТЕРСТВО ОБРАЗОВАНИЯ
РОССИЙСКОЙ ФЕДЕРАЦИИ
МОСКОВСКИЙ ГОСУДАРСТВЕННЫЙ ИНСТИТУТ
РАДИОТЕХНИКИ, ЭЛЕКТРОНИКИ И АВТОМАТИКИ
(ТЕХНИЧЕСКИЙ УНИВЕРСИТЕТ)
КАФЕДРА ТОР
КУРСОВАЯ РАБОТА
по дисциплине:
«Радиотехнические цепи и сигналы»
Выполнила:
студентка группы
ВРУ – 3 – 03
Руководитель:
Стеценко О. А.
МОСКВА 2006 г.
Нет рисунков!!!
Задание.
Нелинейная цепь образована последовательным соединением источника сигнала Uc(t), источника постоянного напряжения смещения Uo и нелинейного сопротивления R(u,i).
R(u,i)
Заданы: ВАХ нелинейного сопротивления и вид сигнала.
Требуется:
-
графическим методом определить ток в цепи, вычислить спектр тока при аппроксимации ВАХ многочленом второй степени. Построить спектр тока.
-
Графическим методом определить ток в цепи в режиме с отсечкой
. Вычислить и построить спектр тока.
Требуется:
-графическим методом определить ток в цепи, вычислить спектр тока при аппроксимации ВАХ многочленом второй степени, построить спектр тока.
I. Для аппроксимации ВАХ используем степенной многочлен второй степени
Для определения коэффициентов аппроксимации a0, a1, a2 на графике ВАХ выбираем узлы аппроксимации (in, un), затем составляем систему уравнений
Подставим
в аппроксимированный полином
, получим
II. Для того чтобы определить спектр тока, разложим выражение
в ряд по гармоническим составляющим:
Амплитуды гармоник тока:
-
При кусочно-линейной аппроксимации заменяем ВАХ отрезками прямых линий.
Спектральное представление периодической последовательности импульсов тока:
Выразим In через амплитуду импульса тока Imax. Подставим в
значение
, получим:
-
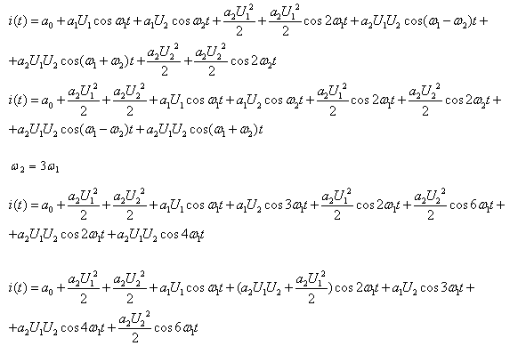
Бигармонический сигнал.
Так как коэффициенты аппроксимации уже известны то, подставляя
в аппроксимированный полином
, получим:
Для определения спектра разложим выражение
по гармоническим составляющим:
9
Характеристики
Тип файла документ
Документы такого типа открываются такими программами, как Microsoft Office Word на компьютерах Windows, Apple Pages на компьютерах Mac, Open Office - бесплатная альтернатива на различных платформах, в том числе Linux. Наиболее простым и современным решением будут Google документы, так как открываются онлайн без скачивания прямо в браузере на любой платформе. Существуют российские качественные аналоги, например от Яндекса.
Будьте внимательны на мобильных устройствах, так как там используются упрощённый функционал даже в официальном приложении от Microsoft, поэтому для просмотра скачивайте PDF-версию. А если нужно редактировать файл, то используйте оригинальный файл.
Файлы такого типа обычно разбиты на страницы, а текст может быть форматированным (жирный, курсив, выбор шрифта, таблицы и т.п.), а также в него можно добавлять изображения. Формат идеально подходит для рефератов, докладов и РПЗ курсовых проектов, которые необходимо распечатать. Кстати перед печатью также сохраняйте файл в PDF, так как принтер может начудить со шрифтами.
















