wvrks (1074344)
Текст из файла
Цикл Отто — термодинамический цикл, описывающий рабочий процесс двигателя внутреннего сгорания с воспламенением сжатой смеси от постороннего источника энергии, цикл бензинового двигателя. Назван в честь немецкого инженера Николауса Отто.
Идеальный цикл Отто состоит из четырёх процессов:
p-V диаграмма цикла Отто
-
1—2 адиабатное сжатие рабочего тела;
-
2—3 изохорный подвод теплоты к рабочему телу;
-
3—4 адиабатное расширение рабочего тела;
-
4—1 изохорное охлаждение рабочего тела.
КПД цикла Отто
,
где
— степень сжатия,
— показатель адиабаты.
Идеальный цикл лишь приблизительно описывает процессы, происходящие в реальном двигателе, но для технических расчётов в большинстве случаев точность такого приближения удовлетворительна.
Цикл Дизеля — термодинамический цикл, описывающий рабочий процесс двигателя внутреннего сгорания с воспламенением впрыскиваемого топлива от разогретого рабочего тела, цикл дизельного двигателя.
Идеальный цикл Дизеля состоит из четырёх процессов:
p-V диаграмма цикла Дизеля
-
1—2 адиабатное сжатие рабочего тела;
-
2—3 изобарный подвод теплоты к рабочему телу;
-
3—4 адиабатное расширение рабочего тела;
-
4—1 изохорное охлаждение рабочего тела.
КПД цикла Дизеля
,
где
— степень сжатия,
— коэффициент предварительного расширения,
— показатель адиабаты.
Идеальный цикл лишь приблизительно описывает процессы, происходящие в реальном двигателе, но для технических расчётов в большинстве случаев точность такого приближения удовлетворительна.
Цикл ГТУ со сгоранием при p=const c изотермическим сжатием воздуха в компрессоре.
Последовательность цикла:
1-2 – компрессор сжимает воздух и подаёт его в камеру сгорания;
т.2 – при помощи топливного насоса в камеру сгорания подаётся топливо;
2-3 – сгорание горючей смеси;
3-4 – адиабатное расширение рабочего тела через каналы турбины;
т.4 – отработавшие газы выбрасываются в атмосферу;
4-1 – условный процесс, замыкающий цикл.
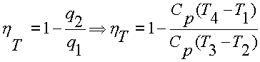
Теплота от рабочего тела к холодному источнику будет отводиться в изо-барном процессе 4-1 и в изотермическом процессе сжатия 1-2; при этом количество теплоты, отводимой в изобарном процессе 4-1, составляет:
q2=Cp(T4-T1),
Количество теплоты, подводимой к рабочему телу в изобарном процессе 2-3:
q1=Cp(T3-T2);
Для адиабатного процесса 1-2:
Т.к.. p3=p2 и p4=p1, то
Таким образом, для рассматриваемого цикла:
Цикл компрессорного ТРД
Цикл Брайтона/Джоуля — термодинамический цикл, описывающий рабочие процессы газотурбинного, турбореактивного и прямоточного воздушно-реактивного двигателей внутреннего сгорания, а также газотурбинных двигателей внешнего сгорания с замкнутым контуром газообразного (однофазного) рабочего тела.
Цикл назван в честь американского инженера Джорджа Брайтона, который изобрёл поршневой двигатель внутреннего сгорания, работавший по этому циклу.
Иногда этот цикл называют также циклом Джоуля — в честь английского физика Джеймса Джоуля, установившего механический эквивалент тепла.
P — V диаграмма цикла Брайтона
I — S (T — S) диаграмма цикла Брайтона
Идеального (1—2—3—4—1)
Реального (1—2p—3—4p—1)
Идеальный цикл Брайтона состоит из процессов
-
1—2 Изоэнтропическое сжатие.
-
2—3 Изобарический подвод теплоты.
-
3—4 Изоэнтропическое расширение.
-
4—1 Изобарический отвод теплоты.
С учётом отличий реальных адиабатических процессов расширения и сжатия от изоэнтропических, строится реальный цикл Брайтона (1—2p—3—4p—1 на T-S диаграмме)
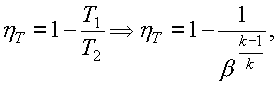
Термический КПД идеального цикла Брайтона принято выражать формулой:
где
— степень повышения давления в процессе изоэнтропийного сжатия (1—2);
— показатель адиабаты (для воздуха равный 1,4)
Следует особо отметить, что этот общепринятый способ вычисления КПД цикла затемняет суть происходящего процесса. Предельный КПД термодинамического цикла вычисляется через отношение температур по формуле Карно:
.
где
- температура холодильника;
- температура нагревателя.
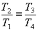
Ровно это же отношение температур можно выразить через величину применяемых в цикле отношений давлений и показатель адиабаты:
Таким образом, КПД цикла Брайтона зависит от начальной (
) и конечной температур (
) процесса сжатия ровно так же, как и КПД цикла Карно. При бесконечно малой величине нагрева рабочего тела по линии (2-3) процесс можно считать изотермическим и полностью эквивалентным циклу Карно. Величина нагрева рабочего тела
при изобарическом процессе определяет величину работы отнесённую к количеству использованного в цикле рабочего тела и не влияет на рассчитанный по вышеуказанной формуле термический КПД цикла.
Однако при реализации цикла нагрев стремятся производить до возможно больших величин, ограниченных жаростойкостью применяемых материалов - с целью минимизировать размеры механизмов, осуществляющих сжатие и расширение рабочего тела. Поэтому верхней температурой цикла практически является температура
. Соответственно, КПД цикла Брайтона меньше КПД цикла Карно, реализованного в диапазоне температур
-
.
Двигатель Эриксона исторически и конструктивно - предшественник поршневого двигателя Брайтона. Цикл Эриксона является вариантом регенеративной реализации цикла Брайтона, подобно тому как цикл Стирлига можно считать вариантом регенеративной реализации цикла Карно. Оба двигателя имеют накопительную ёмкость для сжатого газа. Сжатие в двигателе Эриксона, как и у двигателя Брайтона, изоэнтропическое, расширение же существенно отличается - оно не изоэнтропическое, а изотермическое с регенерацией.
В термодинамике цикл Карно́ или процесс Карно — это обратимый круговой процесс, состоящий из двух адиабатических и двух изотермических процессов[1]. В процессе Карно термодинамическая система выполняет механическую работу и обменивается теплотой с двумя тепловыми резервуарами, имеющими постоянные, но различающиеся температуры. Резервуар с более высокой температурой называется нагревателем, а с более низкой температурой — холодильником[2].
Цикл Карно назван в честь французского учёного и инженера Сади Карно, который впервые его описал в своём сочинении «О движущей силе огня и о машинах, способных развивать эту силу» в 1824 году[3][4].
Поскольку обратимые процессы могут осуществляться лишь с бесконечно малой скоростью, мощность тепловой машины в цикле Карно равна нулю. Мощность реальных тепловых машин не может быть равна нулю, поэтому реальные процессы могут приближаться к идеальному обратимому процессу Карно только с большей или меньшей степенью точности. В цикле Карно тепловая машина преобразует теплоту в работу с максимально возможным коэффициентом полезного действия из всех тепловых машин, у которых максимальная и минимальная температуры в рабочем цикле совпадают соответственно с температурами нагревателя и холодильника в цикле Карно[5].
Описание цикла Карно
Рис. 1. Цикл Карно в координатах T—S
Пусть тепловая машина состоит из нагревателя с температурой
, холодильника с температурой
и рабочего тела.
Цикл Карно состоит из четырёх обратимых стадий, две из которых осуществляются при постоянной температуре (изотермически), а две — при постоянной энтропии (адиабатически). Поэтому цикл Карно удобно представить в координатах T (температура) и S (энтропия).
1. Изотермическое расширение (на рис. 1 — процесс A→Б). В начале процесса рабочее тело имеет температуру
, то есть температуру нагревателя. Затем тело приводится в контакт с нагревателем, который изотермически (при постоянной температуре) передаёт ему количество теплоты
. При этом объём рабочего тела увеличивается, оно совершает механическую работу, а его энтропия возрастает.
2. Адиабатическое расширение (на рис. 1 — процесс Б→В). Рабочее тело отсоединяется от нагревателя и продолжает расширяться без теплообмена с окружающей средой. При этом температура тела уменьшается до температуры холодильника
, тело совершает механическую работу, а энтропия остаётся постоянной.
3. Изотермическое сжатие (на рис. 1 — процесс В→Г). Рабочее тело, имеющее температуру
, приводится в контакт с холодильником и начинает изотермически сжиматься под действием внешней силы, отдавая холодильнику количество теплоты
. Над телом совершается работа, его энтропия уменьшается.
4. Адиабатическое сжатие (на рис. 1 — процесс Г→А). Рабочее тело отсоединяется от холодильника и сжимается под действием внешней силы без теплообмена с окружающей средой. При этом его температура увеличивается до температуры нагревателя, над телом совершается работа, его энтропия остаётся постоянной.
Характеристики
Тип файла документ
Документы такого типа открываются такими программами, как Microsoft Office Word на компьютерах Windows, Apple Pages на компьютерах Mac, Open Office - бесплатная альтернатива на различных платформах, в том числе Linux. Наиболее простым и современным решением будут Google документы, так как открываются онлайн без скачивания прямо в браузере на любой платформе. Существуют российские качественные аналоги, например от Яндекса.
Будьте внимательны на мобильных устройствах, так как там используются упрощённый функционал даже в официальном приложении от Microsoft, поэтому для просмотра скачивайте PDF-версию. А если нужно редактировать файл, то используйте оригинальный файл.
Файлы такого типа обычно разбиты на страницы, а текст может быть форматированным (жирный, курсив, выбор шрифта, таблицы и т.п.), а также в него можно добавлять изображения. Формат идеально подходит для рефератов, докладов и РПЗ курсовых проектов, которые необходимо распечатать. Кстати перед печатью также сохраняйте файл в PDF, так как принтер может начудить со шрифтами.
















