стр.68-92 (1066269), страница 3

Файл №1066269 стр.68-92 (Раздаточные материалы) 3 страницастр.68-92 (1066269) страница 32017-12-28СтудИзба
Просмтор этого файла доступен только зарегистрированным пользователям. Но у нас супер быстрая регистрация: достаточно только электронной почты!

Текст из файла (страница 3)

Соответствующим стандартом регламентирована и форма записи результатов измерений. Для симметричных доверитель­ных границ погрешности результат измерения величины хИ = А

представляется в форме хн= А = Ã ± ∆Д), где А — оценка ре­зультата измерения, определяемого по (2.12).

2.7. Прямые однократные измерения

Большинство технических измерений являются однократ­ными. В реальных условиях их точность может быть вполне при­емлемой, а простота и высокая скорость ставят однократное измерение вне конкуренции с любыми другими. При однократ­ных измерениях используют единственное значение отсчета по­казаний прибора. Являясь случайным, однократный отсчет х включает в себя инструментальную, методическую и личную со­ставляющие погрешности измерения, в каждой из которых могут быть выделены систематические и случайные составляющие.

Оценивание погрешностей прямых однократных измерений можно подразделить на точное и приближенное.

Прямые однократные измерения с точным оцениванием погрешностей

Главной особенностью однократного измерения является то, что законы распределения случайных составляющих неиз­вестны и представление о них формируют лишь на основе огра­ниченной априорной информации.

Достаточно легко, путем поверки или по паспортным дан­ным можно получить оценку систематической погрешности измерительного прибора, а анализом метода измерения — оцен­ку систематической погрешности методического характера. При наличии в документации на измерительный прибор сведений о дополнительных систематических погрешностях, обусловлен­ных влияющими величинами, эти погрешности также оценива­ют и учитывают.

После исключения из отсчета всех известных систематиче­ских погрешностей считают, что погрешность исправленного результата хи = Ã ± ∆(РД) состоит из неисключенных остатков систематических и случайных составляющих погрешностей. Неисключенные систематические погрешности переводят в ка­тегорию случайных и оценивают каждую составляющую своими границами. При этом рекомендуется распределение вероятно­стей принимать равномерным, если погрешности заданы грани­цами и нормальным, если они заданы СКО.

В качестве границ составляющих неисключенных система­тических погрешностей можно принимать, например, пределы допустимых основных и дополнительных погрешностей средств измерений, применявшихся при поверке в качестве образцовых, погрешности расчетных поправок и т.д. Если каждая НСП оце­нена своей индивидуальной границей εi(Р), то доверительные границы суммарной НСП определяют по формуле (2.39).

Если случайные составляющие погрешности представлены своими СКО Si определенными предварительно опытным путем по результатам многократных наблюдений, либо доверительными границами, найденными экспериментально, то:

где t(Pд, n) — коэффициент Стьюдента, взятый из табл. 2.2.

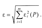
Когда случайные составляющие погрешности измерений представлены доверительными границами εi(Р), соответствую­щими одинаковой доверительной вероятности Р = Рд, тогда зна­чение ε=εi(Р), рассчитывают по следующей формуле:

(2.44)

Получив по отдельности оценки неисключенной системати­ческой и случайной погрешностей результата однократного изме­рения, их целесообразно сопоставить. Если необходимо учитывать обе составляющие, то их суммируют по формуле (2.42).

Соответствующим государственным стандартом регламенти­рована форма записи результата прямого однократного измере­ния величины хи = А = Ã ± ∆(РД).

Прямые однократные измерения с приближенным оцениванием погрешностей

При приближенной оценке, как и при точной, необходимо перед началом измерений провести предварительную оценку составляющих погрешности результата измерения. Эту информа­цию получают из опыта проведения подобных измерений, нор­мативно-технической документации на используемые средства измерений и других источников. Если оценка погрешности пре­вышает допустимую, то следует выбрать более точное средство измерений или изменить методику измерения.

(2.43)

В простейшем случае погрешность результата измерения рав­на пределу допускаемой абсолютной основной погрешности сред­ства измерения ∆си, определяемой по нормативно-технической документации, если измерения проводились в нормальных условиях. При этом результат измерения можно записать в виде хи =ñ си, т.е. без указания доверительной вероятности, которая подразумевается равной Рд = 0,95. Если же измерения проводились в условиях, отличающихся от нормальных, то следует определять и учитывать пределы дополнительных погрешностей, а затем суммировать их с основными.

Пример 2.11. Оценить результат и погрешность однократного из­мерения значения напряжения на участке электрической цепи сопротив­лением R = 4 Ом, выполненного вольтметром класса точности 0,5 % с верхним пределом измерения UB = 1,5 В и внутренним сопротивлением Rv = Ю00 Ом. Показание вольтметра Ux = 0,90 В. Известно, что допол-

н ительные относительные погрешности показании вольтметра из-за влияния магнитного поля и окружающей температуры не превышают соответственно значений δМП = ± 0,75 % и δг = ± 0,3 % допускаемой предельной относительной погрешности.

Решение. Инструментальную составляющую погрешности изме­рения определяют основной и дополнительной погрешностями. При показании вольтметра 0,90 В предел допускаемой относительной по­грешности вольтметра на этой отметке в процентах равен:

δх= δсиUB/U = 0,5•1,5/ 0,90 = 0,83 %.

Методическую погрешность определяют соотношением между со­противлением участка цепи R и сопротивлением вольтметра Rv При подсоединении вольтметра исходное напряжение Ux изменится из-за наличия сопротивления Rv и составит


Отсюда относительная методическая погрешность:

Эта методическая погрешность является систематической и должна быть исключена из результата измерения путем введения поправки

Тогда результат измерения с учетом поправки на систематическую погрешность будет равен


Относительную погрешность результата измерения находят сум­мированием

Переходя к абсолютной суммарной погрешности, имеем

Применив статистическое суммирование по (2.39) при Рд = 0,95, получим значение доверительной границы неисключенных системати­ческих погрешностей

Находим абсолютную погрешность:

Округляя, окончательный результат измерения можно представить в следующем виде:

2.8. Косвенные измерения

При косвенных измерениях измеряемая физическая величина А является известной функцией f ряда других величин — аргу­ментов хь х2, …..xi…..xm Аргументы подвергаются прямым измерениям, а величину А вычисляют по формуле

(2.45)

Каждый из аргументов измеряется с некоторой погрешностью, вносящей определенный вклад в результат косвенного измерения. Для оценки этих погрешностей важно разделение косвенных изме­рений на линейные и нелинейные косвенные измерения.

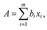
При линейных косвенных измерениях формула (2.45) запишется в следующем виде:


где bi — постоянные коэффициенты при аргументах xi.

При нелинейных косвенных измерениях (2.45) будет пред­ставлять собой другие функциональные зависимости.

Погрешности измерения аргументов могут быть заданы либо своими границами xi , либо доверительными границами ∆х(Рд)i, с доверительными вероятностями Pдi. Если число аргументов неве­лико (меньше пяти), то простая оценка погрешности результата ∆А получается суммированием предельных погрешностей (без учета знака), т.е. подстановкой границ ∆х1 ∆х2, ... , ∆хт в формулу

(2.47)

При практических вычислениях эта оценка является завы­шенной, поскольку подобное суммирование сводится к тому, что

погрешности измерения всех аргументов одновременно совпадают по знаку и имеют максимальное значение. Реально вероятность та­кого совпадения близка к нулю. Чтобы найти более реалистичную оценку, проводят статистическое суммирование погрешностей аргу­ментов. Полагая, что в заданных границах погрешности аргументов распределены равномерно, доверительные границы ∆А(Рд) погреш­ности результата измерения рассчитывают следующим образом:

где коэффициент к определяют аналогично (2.39).

Е сли погрешности измерения аргументов заданы довери­тельными границами с одинаковыми доверительными вероятно­стями, то считая распределение этих погрешностей нормальным, доверительные границы находят по формул

Характеристики

Тип файла
Документ
Размер
1004 Kb
Тип материала
Высшее учебное заведение

Список файлов учебной работы

Свежие статьи
Популярно сейчас
Почему делать на заказ в разы дороже, чем купить готовую учебную работу на СтудИзбе? Наши учебные работы продаются каждый год, тогда как большинство заказов выполняются с нуля. Найдите подходящий учебный материал на СтудИзбе!
Ответы на популярные вопросы
Да! Наши авторы собирают и выкладывают те работы, которые сдаются в Вашем учебном заведении ежегодно и уже проверены преподавателями.
Да! У нас любой человек может выложить любую учебную работу и зарабатывать на её продажах! Но каждый учебный материал публикуется только после тщательной проверки администрацией.
Вернём деньги! А если быть более точными, то автору даётся немного времени на исправление, а если не исправит или выйдет время, то вернём деньги в полном объёме!
Да! На равне с готовыми студенческими работами у нас продаются услуги. Цены на услуги видны сразу, то есть Вам нужно только указать параметры и сразу можно оплачивать.
Отзывы студентов
Ставлю 10/10
Все нравится, очень удобный сайт, помогает в учебе. Кроме этого, можно заработать самому, выставляя готовые учебные материалы на продажу здесь. Рейтинги и отзывы на преподавателей очень помогают сориентироваться в начале нового семестра. Спасибо за такую функцию. Ставлю максимальную оценку.
Лучшая платформа для успешной сдачи сессии
Познакомился со СтудИзбой благодаря своему другу, очень нравится интерфейс, количество доступных файлов, цена, в общем, все прекрасно. Даже сам продаю какие-то свои работы.
Студизба ван лав ❤
Очень офигенный сайт для студентов. Много полезных учебных материалов. Пользуюсь студизбой с октября 2021 года. Серьёзных нареканий нет. Хотелось бы, что бы ввели подписочную модель и сделали материалы дешевле 300 рублей в рамках подписки бесплатными.
Отличный сайт
Лично меня всё устраивает - и покупка, и продажа; и цены, и возможность предпросмотра куска файла, и обилие бесплатных файлов (в подборках по авторам, читай, ВУЗам и факультетам). Есть определённые баги, но всё решаемо, да и администраторы реагируют в течение суток.
Маленький отзыв о большом помощнике!
Студизба спасает в те моменты, когда сроки горят, а работ накопилось достаточно. Довольно удобный сайт с простой навигацией и огромным количеством материалов.
Студ. Изба как крупнейший сборник работ для студентов
Тут дофига бывает всего полезного. Печально, что бывают предметы по которым даже одного бесплатного решения нет, но это скорее вопрос к студентам. В остальном всё здорово.
Спасательный островок
Если уже не успеваешь разобраться или застрял на каком-то задание поможет тебе быстро и недорого решить твою проблему.
Всё и так отлично
Всё очень удобно. Особенно круто, что есть система бонусов и можно выводить остатки денег. Очень много качественных бесплатных файлов.
Отзыв о системе "Студизба"
Отличная платформа для распространения работ, востребованных студентами. Хорошо налаженная и качественная работа сайта, огромная база заданий и аудитория.
Отличный помощник
Отличный сайт с кучей полезных файлов, позволяющий найти много методичек / учебников / отзывов о вузах и преподователях.
Отлично помогает студентам в любой момент для решения трудных и незамедлительных задач
Хотелось бы больше конкретной информации о преподавателях. А так в принципе хороший сайт, всегда им пользуюсь и ни разу не было желания прекратить. Хороший сайт для помощи студентам, удобный и приятный интерфейс. Из недостатков можно выделить только отсутствия небольшого количества файлов.
Спасибо за шикарный сайт
Великолепный сайт на котором студент за не большие деньги может найти помощь с дз, проектами курсовыми, лабораторными, а также узнать отзывы на преподавателей и бесплатно скачать пособия.
Популярные преподаватели
Добавляйте материалы
и зарабатывайте!
Продажи идут автоматически
7021
Авторов
на СтудИзбе
260
Средний доход
с одного платного файла
Обучение Подробнее