[21.03.11] Лекция №7 (1061967)
Текст из файла
Лекция №7 [21.03.11]
Более развесистый пример:
- всё, больше нетерминалов нет
получилось:
- здесь
можно, потому что стартовая
- здесь
уже не надо, оно удаляется
видно, что в результате удаления
-переходов возникли цепные правила
теперь грамматику без цепных правил:
3. Удаление бесполезных символов
Нетерминальный символ
КС-грамматики
называется бесполезным, если из него не выводится ни одна терминальная цепочка, то есть, не существует такого
,
Бесполезный символ может быть удалён из исходной грамматики вместе со всеми правилами, в которые он входит, без изменения языка, порождаемого этой грамматикой.
Для каждой КС-грамматики
может быть построена эквивалентная ей КС-грамматика, не содержащая бесполезных нетерминальных символов.
Алгоритм удаления бесполезных символов:
Вычислим множество
, состоящее из таких нетерминалов
, из которых терминальную цепочку можно получить за один шаг:
Множество
состоит из таких нетерминалов
, что:
- сюда включаются нетерминалы, из которых можно получить терминальные цепочки не более, чем за два шага.
В силу конечности множества нетерминалов грамматики, алгоритм
содержит конечное количество шагов.
Множество бесполезных символов – это
,
- usual (полезные).
Пример:
тогда:
а
удалили потому, что в правой части был нетерминал
. А если бы не было, мы бы его оставили. Но оно ещё и бесполезное, потому что из него ничего не выводится, так что один фиг удалять.
Такие дела.
Ещё пример:
и тогда останется:
С помощью приведённого алгоритма может быть решена проблема пустоты для КС-грамматики. Проблема формулируется следующим образом: выяснить, пуст ли язык, порождаемый данной грамматикой.
Если в результате анализа выяснится, что
, то это означает, что язык пустой.
4. Удаление недостижимых символов
Символ
в объединённом алфавите
называется недостижимым, если из аксиомы грамматики
не выводится ни одна цепочка, содержащая вхождение символа
.
Недостижимые символы можно удалить из грамматики вместе со всеми правилами, которые их содержат, без изменения языка, порождаемого этой грамматикой.
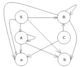
Графом КС-грамматики
называется ориентированный граф, множество вершин которого есть объединение
, а множество дуг определяется следующим образом: дуга ведёт из вершины
в вершину
тогда и только тогда, когда правило
, где
и
- некоторые цепочки в объединённом алфавите.
Для выявления недостижимых вершин, выполним поиск в ширину для вершины, помеченной стартовой.
Таким образом, преобразование КС-грамматики к специальному виду осуществляется в четыре этапа:
2) удаление цепных правил;
3) удаление бесполезных символов;
4) удаление недостижимых символов;
-) Удаление аксиомы из правой части
Для решения этой задачи достаточно ввести новый нетерминал
(несовпадающий с существующими):
Пример:
после указанного преобразования в грамматике появились
-правило и цепное правило. Будем их удалять:
И вот последние две строки – это теперь множество правил в нашей грамматике. Бесполезных и недостижимых символов нет.
Это типичная задача из аттестации, которая будет в мае, кстати.
Характеристики
Тип файла документ
Документы такого типа открываются такими программами, как Microsoft Office Word на компьютерах Windows, Apple Pages на компьютерах Mac, Open Office - бесплатная альтернатива на различных платформах, в том числе Linux. Наиболее простым и современным решением будут Google документы, так как открываются онлайн без скачивания прямо в браузере на любой платформе. Существуют российские качественные аналоги, например от Яндекса.
Будьте внимательны на мобильных устройствах, так как там используются упрощённый функционал даже в официальном приложении от Microsoft, поэтому для просмотра скачивайте PDF-версию. А если нужно редактировать файл, то используйте оригинальный файл.
Файлы такого типа обычно разбиты на страницы, а текст может быть форматированным (жирный, курсив, выбор шрифта, таблицы и т.п.), а также в него можно добавлять изображения. Формат идеально подходит для рефератов, докладов и РПЗ курсовых проектов, которые необходимо распечатать. Кстати перед печатью также сохраняйте файл в PDF, так как принтер может начудить со шрифтами.
















