[28.02.11] Лекция №4 (1061952)
Текст из файла
Лекция №4 [28.02.11]
Построение регулярной грамматики по конечному автомату
Регулярная грамматика G должна порождать тот же язык, что и язык, допускаемый конечным автоматом M
Доказательство: покажем, что язык, допускаемый конечным автоматом M, совпадает с языком грамматики G, то есть
. Для доказательства воспользуемся индукцией по длине пути в конечном автомате. Покажем, что из факта достижимости из состояния в
за
шагов, прочитав цепочку
, мы попадём в состояние
, то есть:
рассмотрим путь длины 0:
,
,
(
)
в грамматике G этому соответствует вывод:
рассмотрим пути длины
без 1 (
(индуктивное предположение)) и предположим, что для любого
из
следует
пусть в автомате M существует путь длины
и на этом пути читается цепочка
, есть хотя бы одна дуга и пара вершин (так как
). Выделим первую пару вершин и соединяющую их дугу:
Согласно правилам построения, грамматики в множестве P содержится правило . По предположению индукции, из того, что раз
, то
Мы доказали, что если в автомате из некоторой вершины в некоторую вершину существует путь, то в грамматике существует соответствующий вывод, который эту цепочку порождает.
1)
- в этом случае, согласно правилам построения грамматики, в множестве правил P имеется правило
, то есть
2)
- в этом случае, для любой цепочки
размер цепочки больше или равен 1:
. На соответствующем пути выделим последнюю пару вершин (
) и соединяющую их дугу, тогда:
,
. Согласно доказанному, в грамматике G имеет место выводимость:
первое включение показано, переходим ко второму.
покажем, что из факта выводимости в грамматике следует достижимость:
рассмотрим вывод длины 0 (базовая индукция):
1) рассмотрим выводы длины
(индуктивное предположение), то есть
:
2) рассмотрим выводы длины
(длина вывода
1). Выделим первый шаг данного вывода, тогда найдётся такой нетерминал и символ, что:
, а это значит, что
(содержится в системе команд)
Согласно предположению индукции, что
, то:
Любая цепочка вывода в регулярной грамматике может содержать нетерминал только как последний символ:
Таким образом, двумя включениями показано, что регулярная грамматика G, построенная по указанным выше правилам, эквивалентна конечному автомату M.
Построение конечного автомата по регулярной грамматике
Построим по грамматике
конечный автомат по следующим правилам:
2)
, где
- это новое состояние, не принадлежащее множеству
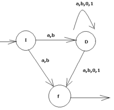
Пример:
Конечный автомат для множества правильных идентификаторов, построенный из интуитивных соображений.
Обоснование (доказательство) корректности построения конечного автомата может быть выполнено аналогично предыдущему доказательству индукцией по длине вывода и индукцией по длине пути в автомате.
Следующие утверждения о языке L в алфавите эквивалентны:
1) язык L есть элемент полукольца регулярных языков;
2) язык L порождается некоторой регулярной грамматикой;
3) язык L допускается некоторым конечным автоматом;
Доказательство:
1) согласно теореме Клини, язык регулярен тогда и только тогда, когда он допускается некоторым конечным автоматом (в прошлом году такое проходили. Должны были);
2) (2) эквивалентно (3) по материалам сегодняшней лекции;
3) ну и, короче, (1) эквивалентно (2);
Характеристики
Тип файла документ
Документы такого типа открываются такими программами, как Microsoft Office Word на компьютерах Windows, Apple Pages на компьютерах Mac, Open Office - бесплатная альтернатива на различных платформах, в том числе Linux. Наиболее простым и современным решением будут Google документы, так как открываются онлайн без скачивания прямо в браузере на любой платформе. Существуют российские качественные аналоги, например от Яндекса.
Будьте внимательны на мобильных устройствах, так как там используются упрощённый функционал даже в официальном приложении от Microsoft, поэтому для просмотра скачивайте PDF-версию. А если нужно редактировать файл, то используйте оригинальный файл.
Файлы такого типа обычно разбиты на страницы, а текст может быть форматированным (жирный, курсив, выбор шрифта, таблицы и т.п.), а также в него можно добавлять изображения. Формат идеально подходит для рефератов, докладов и РПЗ курсовых проектов, которые необходимо распечатать. Кстати перед печатью также сохраняйте файл в PDF, так как принтер может начудить со шрифтами.
















