Kursovaya1 (1060616), страница 2
Текст из файла (страница 2)
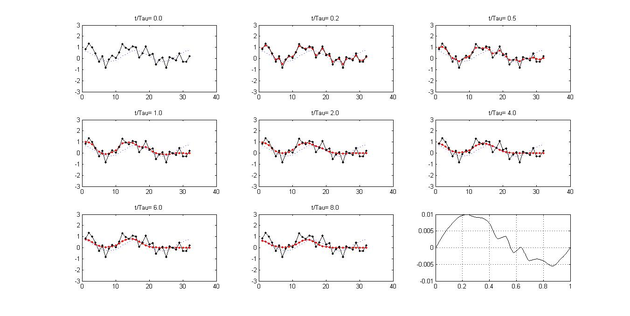
Рис. 6
Найдем силы в красной точке на Рис 4: FR =
;
δt=0,2τ=0,2*R*C=0,2*1*100*10-12 = 0,2*10-10 с,
В следующий момент времени, напряжение в этой точке будет равно:
1,7 - 0,3= 1,4 В ,что подтверждает рисунок Рис.6.
Выводы по этой задаче:
-
Проверена правильность процедур расчета на эталонном примере. При маленьком максимальном токе ВАХ Imax=1 мА, реакционная сила мала (FR=
) по сравнению с диффузионной (FD =
), которая вносит из-за этого больший вклад в преобразование сигнала. При сопротивлении R и емкости С, равным 10 Ом и 10 пФ, соответственно, характерное время преобразования
. -
Проведенный анализ показывает, что применяемые процедуры расчета верны, и с их помощью можно решать следующие задачи исследования.
-
Исследование зависимости погрешности фильтрации сигнала от емкости ячейки сети.
В этом пункте исследования необходимо выбрать оптимальные значения параметров, чтобы диффузионная и реакционная силы в сумме обеспечивали минимальную погрешность преобразования. Такими параметрами здесь являются: R=10 Ом, Imax=10 мА, Vs=0,5В, V0=0,2В, Vm=0,1В, dV=0,5В. Значения емкости С изменяются в пределах от 1 пФ до 100 пФ.
При увеличении управляющего параметра (С) увеличивается постоянная времени
и уменьшаются Fдиф и Fреак. Увеличение времени наблюдения t при увеличении емкости ячейки С можно заметить, если посмотреть на размерность шкал времени на графиках относительной погрешности Рис.7а, 8а, 9а. Характерные величины времени от 10-11 до 10-9 с, при сопротивлении ячейки R=10 Ом и изменении емкости С от 1 до 100 пФ.
На рис. 7-9 представлены графики относительной погрешности и графики преобразования сигнала, дающие максимальную и минимальную погрешности, для разных значений емкости ячейки С.
а)
б)
в)
Рис.7. а) семейства кривых относительной погрешности; б),в) графики преобразования сигнала для параметров:
С=1пФ, Imax=10 мА, R=10 Ом, Vs=0,5 В, V0=0,2 В, Vm=0,1 В, dV=0,5 В
Преобразуют б) хуже всего F0110; в) лучше всего F214.
а)
б)
в)
г)
Рис.8. а) семейства кривых относительной погрешности; б),в) графики преобразования сигнала для параметров:
С=10пФ, Imax=10 мА, R=10 Ом, Vs=0,5 В, V0=0,2 В, Vm=0,1 В, dV=0,5 В; г) графики ВАХ.
Преобразуют б) лучше всего F0110; в) хуже всего F214.
Это является интересным случаем, так как погрешность после достижения минимума достаточно резко возрастает почти для всех ВАХ, кроме ВАХ F0110, это объясняется видом вольт-амерных характеристик, в частности, точкой неустойчивого равновесия и чуть смешенным влево по оси напряжений пиком (см. Рис 8г). Другими словами для ВАХ F0110 при попадании напряжения зашумленного сигнала U в область от 0,15 В до 0,2 В реакционное слагаемое этой ВАХ смещает точку вправо к значению U=1В, а у остальных ВАХ при попадании напряжения в эту же область значений, точки смещаются влево к значению U=0 В и реакционная сила не противостоит диффузионной и сигнал «выравнивается».
а)
б)
в)
Рис.9. а) семейства кривых относительной погрешности; б),в) графики преобразования сигнала для параметров:
С=100пФ, Imax=10 мА, R=10 Ом, Vs=0,5 В, V0=0,2 В, Vm=0,1 В, dV=0,5 В
Преобразуют б) хуже всего F0110; в) лучше всего F214.
Общим у всех трех графиков относительной погрешности является падающий участок, который возникает из-за сглаживания пиков шума.
Дальнейшее наличие возрастающего участка связано с отклонением сигнала после фильтрации по вертикальной оси от эталонного или из-за диффузионного слагаемого, распрямляющего сигнал.
Особым случаем увеличения погрешности является преобразование с использование ВАХ F214. Наибольшее увеличение погрешности из Рис. 9а для ВАХ F214 можно заметить при увеличении t/τ от 6 до 8.
Проведем расчет квадратной точки, с использованием ВАХ F214:
Найдем силы в квадратной точке: FR =
;
δt=2,0τ=2,0*R*C=2,0*10*100*10-12 = 2*10-9 с,
В следующий момент времени, напряжение в этой точке будет равно:
0,4 - 0,24= 0,16 В, Так как значение U уменьшается, то погрешность W также должна уменьшиться.
Расчет погрешности в этой точке: Погрешность
Погрешность увеличивается в 2 раза.
Из-за наличия мультистабильности достигается минимальная погрешность при t/τ=2, но при дальнейшем наблюдении погрешность возрастает, так как в этой области напряжений и реакционная и диффузионная силы действуют в одну сторону.
Проведем расчет красной точки, с использованием ВАХ F214 (Рис. 9в), в период времени от t/τ=1 до t/τ=2, эта точка выбрана из-за того что в ней отклонение от эталонного сигнала максимально и, следовательно, это отклонение дает максимальный вклад в погрешность W преобразования:
а) б)
Рис.10
Найдем силы в красной точке: FR =
;
δt=1,0τ=1,0*R*C=1,0*10*100*10-12 = 1*10-9 с,
В следующий момент времени, напряжение в этой точке будет равно:
1 - 0,3= 0,7 В, что подтверждает рисунок 10 б). Так как значение U уменьшается, то погрешность W также должна уменьшиться.
Расчет погрешности в этой точке: Погрешность
Погрешность уменьшается почти в 3 раза.
Выводы по этой задаче:
-
Исследована зависимость относительной погрешности фильтрации радиосигнала W от емкости ячейки C сети. При изменении C от 1 пФ до 100 пФ W изменяется от 0,7 до 0,4. При изменении емкости ячейки от C = 1 пФ до С = 10 пФ, минимальная погрешность Wmin изменяется от 0,7 до 0,4. Затем при увеличении С от 10 пФ до 100 пФ минимальная погрешность Wmin увеличивается до 0,5. Вообще лучше всего преобразует и обеспечивает минимальную погрешность Wmin = 0,5 гетероструктура F214. Это объясняется тем, что ВАХ имеет много возрастающих участков и, как следствие, много стабильных точек. Разобраны интересные случаи как увеличения погрешности для ВАХ F214, так и неожиданного уменьшения для одной ВАХ F0110. Для ВАХ F214 рассчитаны диффузионная, реакционная силы, найдено изменение погрешности во времени. За время t=1τ погрешность изменилась почти в 3 раза. FR=0, FD =
. -
Исследована зависимость характерного времени фильтрации τ от емкости ячейки C сети. При увеличении C в диапазоне от 1 до 100 пФ τ меняется в диапазоне от 10 пс до 1 нс (R=10 Ом). Это объясняется тем, что емкость C входит в выражение времени τ=RC, то есть время фильтрации зависит от емкости линейно.
-
Исследование зависимости погрешности фильтрации сигнала от максимальной силы тока ячейки сети.
В этом пункте исследования необходимо выбрать оптимальные значения параметров, чтобы влияние максимальной силы тока ячейки на погрешность преобразования было отчетливо видно. Такими параметрами здесь являются: R=10 Ом, С=10 пФ, Vs=0,5 В, V0=0,2 В, Vm=0,2 В, dV=0,5 В. Значения максимального тока Imax изменяются в пределах от 1 мА до 100 мА.
При увеличении управляющего параметра (Imax) увеличивается Fреак. Характерная величина времени преобразования τ=RC= 10-10 с =0,1 нс, при сопротивлении ячейки R=10 Ом и емкости С =10 пФ.
На рис. 11-13 представлены графики относительной погрешности и графики преобразования сигнала, дающие максимальную и минимальную погрешности, для разных значений максимального тока Imax.
а)
б)
Рис.11. а) семейства кривых относительной погрешности; б) графики преобразования сигнала для ВАХ F214 для параметров:
Imax=1 мА, R=10 Ом, С=10 пФ, Vs=0,5 В, V0=0,2 В, Vm=0,2 В, dV=0,5 В
Преобразуют хуже всего F0110; лучше всего F214 см Рис. 11б. Малое отличие в погрешности преобразования по разным ВАХ вызвано тем, что имеем маленький максимальный ток ВАХ. Что приводит к маленькому значению реакционной силы по сравнению с диффузионной и, следовательно, сигнал сглаживается:
Найдем силы в красной точке на Рис 11б: FR =
;
δt=0,2τ=0,2*R*C=0,2*10*10*10-12 = 0,2*10-10 с,
В следующий момент времени, напряжение в этой точке будет равно:
-1,2 + 0,5= -0,7 В ,что подтверждает рисунок Рис.11б при t/τ=0,2.
Расчет погрешности в этой точке: Погрешность
Погрешность уменьшается в 2 раза.
















