Аксенов А.Н. - Методические указания к лабораторно-эксплуатационному практикуму (1053866)
Текст из файла
МГТУ им. Н. Э. Баумана
Кафедра “Системы обработки информации и управления”
Методические указания к лабораторно-эксплуатационному практикуму
Для студентов 4-го курса кафедры ИУ5
Cisco Packet Tracer.
Разработал: ассистент кафедры ИУ-5
Аксенов Андрей Николаевич
Москва 2010 г.
1. Цель практикума.
Закрепление теоретических знаний в области конструирования и исследования характеристик сетей ЭВМ. Изучение программы Cisco Packet Tracer 5.3, а также приобретение практических навыков проектирования и моделирования работы сети, а также оценки принятых проектных решений.
С помощью программы Cisco Packet Tracer 5.3 необходимо построить модель вычислительной сети заданной топологии. В соответствии с топологией сети произвести подбор необходимого сетевого оборудования конкретного производителя в базе данных программы.
Задать сетевой трафик между компьютерами и произвести анализ полученных результатов. Добиться безошибочной работы модели.
2. Введение в пакет Cisco Packet Tracer 5.3
Данный программный продукт разработан компанией Cisco и рекомендован использоваться при изучении телекоммуникационных сетей и сетевого оборудования.
Packet Tracer 5.3 включает следующие особенности:
-
моделирование логической топологии: рабочее пространство для того, чтобы создать сети любого размера на CCNA-уровне сложности;
-
моделирование в режиме реального времени;
-
режим симуляции;
-
моделирование физической топологии: более понятное взаимодействие с физическими устройствами, используя такие понятия как город, здание, стойка и т.д.;
-
улучшенный GUI, необходимый для более качественного понимания организации сети, принципов работы устройства;
-
многоязыковая поддержка: возможность перевода данного программного продукта практически на любой язык, необходимый пользователю;
-
усовершенствованное изображение сетевого оборудования со способностью добавлять / удалять различные компоненты;
-
наличие Activity Wizard позволяет студентам и преподавателям создавать шаблоны сетей и использовать их в дальнейшем.
С помощью данного программного продукта преподаватели и студенты могут придумывать, строить, конфигурировать сети и производить в них поиск неисправностей. Packet Tracer дает возможность более подробно представлять новейшие технологии, тем самым делая учебный процесс чрезвычайно полезным с точки зрения усвоения полученного материала.
Данный симулятор позволяет студентам проектировать свои собственные сети, создавая и отправляя различные пакеты данных, сохранять и комментировать свою работу. Студенты могут изучать и использовать такие сетевые устройства, как коммутаторы второго и третьего уровней, рабочие станции, определять типы связей между ними и соединять их (см. рис. 1).
Рис.1 Cisco Packet Tracer
Отличительной особенностью данного симулятора является наличие в нем «Режима симуляции» (рис. 2). В данном режиме все пакеты, пересылаемые внутри сети, отображаются графически. Эта возможность позволяет студентам наглядно продемонстрировать, по какому интерфейсу в данные момент перемещается пакет, какой протокол используется и т. д.
Рис.2. Режим «Симуляции» в Cisco Packet Tracer
Однако, это не все преимущества Packet Tracer: в «Режиме симуляции» студент может не только отслеживать используемые протоколы, но и видеть, на каком из семи уровней модели OSI данный протокол задействован (см. рис. 3).
Рис. 3. Анализ семиуровневой модели OSI в Cisco Packet Tracer
Такая, кажущаяся на первый взгляд, простота и наглядность, делает практические занятия чрезвычайно полезными, совмещая в них как получение, так и закрепление полученного материала.
Packet Tracer способен моделировать большое количество устройств различного назначения, а так же немало различных типов связей, что позволяет проектировать сети любого размера на высоком уровне сложности:
Моделируемые устройства:
-
коммутаторы третьего уровня
-
Коммутаторы второго уровня
-
Сетевые концентраторы
-
Оконечные устройства (рабочие станции, ноутбуки, сервера, принтеры)
-
Беспроводные устройства
-
Глобальная сеть WAN.
Типы связей:
-
консоль;
-
медный кабель без перекрещивания (прямой кабель);
-
медный кабель с перекрещиванием (кросс-кабель);
-
волоконно-оптический кабель;
-
телефонная линия;
-
Serial DCE;
-
Serial DTE.
Каждое устройство в программном продукте Cisco Packet Tracer может быть сконфигурировано через окно свойств, которое вызывается по двойному клику на устройстве. Первая вкладка отвечает за физические параметры устройства. В маршрутизаторы и коммутаторы можно добавлять новые модули, в рабочие станции и серверы — вставлять сетевые адаптеры. Для того чтобы переконфигурировать устройство, необходимо предварительно его выключить, нажав на кнопку отключения питания на физическом изображении устройства (рис. 4).
Рисунок 4. Физический вид устройства.
На вкладке Config можно задавать основные параметры сетевых интерфейсов (IP-адреса, маску подсети, параметры беспроводной сети и пр.) В сетевых устройствах также можно конфигурировать маршрутизацию – статическую и по протоколу RIP, у серверов — конфигурировать службы. (рис. 5.)
Рисунок 5. Конфигурация сервера.
Третья вкладка сетевых устройств обеспечивает доступ к командной строке операционной системы IOS, с которой мы познакомимся подробнее на следующих лабораторных работах. Третья вкладка рабочих станций и серверов содержит интерфейсы доступа к различным сетевым параметрам, а также несколько клиентских приложений. (рис. 6.)
Рисунок 6. Вкладка Desktop рабочей станции.
3. Командный режим операционной системы IOS
Маршрутизатор конфигурируется в командной строке операционной системы Cisco IOS. Подсоединение к маршрутизатору осуществляется через Telnet на IP-адрес любого из его интерфейсов или с помощью любой терминальной программы через последовательный порт компьютера, связанный с консольным портом маршрутизатора. Последний способ предпочтительнее, потому что процесс конфигурирования маршрутизатора может изменять параметры IP-интерфейсов, что приведет к потере соединения, установленного через Telnet. Кроме того, по соображениям безопасности доступ к маршрутизатору через Telnet следует запретить.
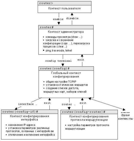
При работе в командной строке Cisco IOS существует несколько контекстов (режимов ввода команд).
Контекст пользователя открывается при подсоединении к маршрутизатору; обычно при подключении через сеть требуется пароль, а при подключении через консольный порт пароль не нужен. В этот же контекст командная строка автоматически переходит при продолжительном отсутствии ввода в контексте администратора. В контексте пользователя доступны только простые команды (некоторые базовые операции для мониторинга), не влияющие на конфигурацию маршрутизатора. Вид приглашения командной строки:
router>
Вместо слова router выводится имя маршрутизатора, если оно установлено.
Контекст администратора (контекст "exec") открывается командой enable, поданной в контексте пользователя; при этом обычно требуется пароль администратора. В контексте администратора доступны команды, позволяющие получить полную информацию о конфигурации маршрутизатора и его состоянии, команды перехода в режим конфигурирования, команды сохранения и загрузки конфигурации. Вид приглашения командной строки:
router#
Обратный переход в контекст пользователя производится по команде disable или по истечении установленного времени неактивности. Завершение сеанса работы - команда exit.
Глобальный контекст конфигурирования открывается командой config terminal ("конфигурировать через терминал"), поданной в контексте администратора. Глобальный контекст конфигурирования содержит как непосредственно команды конфигурирования маршрутизатора, так и команды перехода в контексты конфигурирования подсистем маршрутизатора.
Контекст конфигурирования интерфейса открывается командой interface имя_интерфейса (например, interface serial0), поданной в глобальном контексте конфигурирования;
Контекст конфигурирования процесса динамической маршрутизации открывается командой router протокол номер_процесса (например, router ospf 1, поданной в глобальном контексте конфигурирования).
Существует множество других контекстов конфигурирования. Некоторые контексты конфигурирования находятся внутри других контекстов конфигурирования.
Вид приглашения командной строки в контекстах конфигурирования, которые будут встречаться наиболее часто:
router(config)# /глобальный/
router(config-if)# /интерфейса/
rounter(config-router)# /динамической маршрутизации/
rounter(config-line)# /терминальной линии/
Студенты должны запомнить вид приглашений командой строки во всех вышеуказанных контекстах и правила перехода из контекста в контекст. В дальнейшем примеры команд всегда будут даваться вместе с приглашениями, из которых студенты должны определять контекст, в котором подается команда. Примеры не будут содержать указаний, как попасть в необходимый контекст.
Выход из глобального контекста конфигурирования в контекст администратора, а также выход из любого подконтекста конфигурирования в контекст верхнего уровня производится командой exit или Ctrl-Z. Кроме того, команда end, поданная в любом из контекстов конфигурирования немедленно завершает процесс конфигурирования и возвращает оператора в контекст администратора.
ВАЖНО! Любая команда конфигурации вступает в действие немедленно после ввода, а не после возврата в контекст администратора.
Упрощенная схема контекстов представлена на рис.7.
Рис.7. Схема контекстов Cisco IOS
Все команды и параметры могут быть сокращены (например, "enable" - "en", "configure terminal" - "conf t"); если сокращение окажется неоднозначным, маршрутизатор сообщит об этом, а по нажатию табуляции выдаст варианты, соответствующие введенному фрагменту.
В любом месте командной строки для получения помощи может быть использован вопросительный знак:
router#? /список всех команд данного контекста с комментариями/
router#co? /список всех слов в этом контексте ввода, начинающихся на "co" - нет пробела перед "?"/
router#conf ? /список всех параметров, которые могут следовать за командой config - перед "?" есть пробел/
3.1 Список команд
Данный список команд сгруппирован в соответствии с контекстами, в котором они применяются. В данном списке собраны те команды конфигурирования, которые необходимы для выполнения всех лабораторных работ.
3.1.1 Глобальный контекст конфигурирования
Команда «Access-list»
Критерии фильтрации задаются в списке операторов разрешения и запрета, называемом списком доступа. Строки списка доступа сравниваются с IP-адресами и другой информацией пакета данных последовательно в том порядке, в котором были заданы, пока не будет найдено совпадение. При совпадении осуществляется выход из списка. При этом работа списка доступа напрямую зависит от порядка следования строк.
Списки доступа имеют 2 правила: permit – разрешить, и deny – запретить. Именно они определяют, пропустить пакет дальше или запретить ему доступ.
Характеристики
Тип файла документ
Документы такого типа открываются такими программами, как Microsoft Office Word на компьютерах Windows, Apple Pages на компьютерах Mac, Open Office - бесплатная альтернатива на различных платформах, в том числе Linux. Наиболее простым и современным решением будут Google документы, так как открываются онлайн без скачивания прямо в браузере на любой платформе. Существуют российские качественные аналоги, например от Яндекса.
Будьте внимательны на мобильных устройствах, так как там используются упрощённый функционал даже в официальном приложении от Microsoft, поэтому для просмотра скачивайте PDF-версию. А если нужно редактировать файл, то используйте оригинальный файл.
Файлы такого типа обычно разбиты на страницы, а текст может быть форматированным (жирный, курсив, выбор шрифта, таблицы и т.п.), а также в него можно добавлять изображения. Формат идеально подходит для рефератов, докладов и РПЗ курсовых проектов, которые необходимо распечатать. Кстати перед печатью также сохраняйте файл в PDF, так как принтер может начудить со шрифтами.
















