Ответы к тесту №2 (1051468)
Текст из файла
-
Мемристор. Отличие мемристора от других элементов памяти. ВАХ мемристора и ее изменение с повышением частоты.
Мемри́стор (англ. memristor, от memory — память, и resistor — электрическое сопротивление) — это пассивный элемент в микроэлектронике, который способен изменять своё сопротивление в зависимости от протекавшего через него заряда. [2]
Рисунок 2. Знак мемристора.
Особенность мемристора
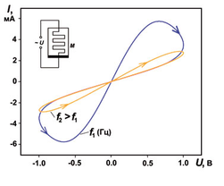
Основным свойством мемристора является "память": его сопротивление зависит от того, какой заряд в последний раз был пропущен через элемент. Так же функционируют нейроны в мозгу: их поведение зависит от их прошлой активности. Мемристор может быть описан как двухполюсник с нелинейной вольт-амперной характеристикой (рис.3), обладающий гистерезисом.
Еще один интересный вывод можно сделать, если посмотреть, как ведет себя мемристор с увеличением частоты. Сравнив два графика на рис. 3, можно представить, что в пределе кривая превратится в наклонную прямую: мемристор превратился в обычный резистор. Это понятно: ведь изменение величины сопротивления зависит от количества прошедшего заряда, а при увеличении частоты за один период заряда протечет меньше. Труба не успеет расшириться, как ей уже надо сжиматься. Поэтому достаточно короткие разнополярные импульсы тока не будут воздействовать на состояние мемристора, зато величина тока покажет нам, в каком состоянии мемристор находится. Таким образом можно, например, считывать информацию, не меняя состояние ячейки.
Рисунок 3. Типичная ВАХ мемристора.
-
Использование однослойного дисульфида молибдена для расшифровки ДНК. Пъезоэлектрические свойства дисульфида молибдена.
Секвенирование – это процесс считывания ДНК, установления последовательности четырех генов четырех букв алфавита ДНК – A, C, G и T. Происходит секвенирование через нанопору, которая представляет собой крошечное отверстие, пробуренное в тонком листе материала. Эта пора достаточно велика, чтобы через нее могла пройти молекула ДНК. ДНК проталкивается через нанопору электрическим током, и колебания тока в период прохождения через нее биомолекулы позволяют определить ее нуклеотидную последовательность, так как каждая из четырех букв алфавита ДНК немного отличается по форме и размеру.
MoS2 тоже представляет собой одноатомный слой, достаточно тонкий для того, чтобы одномоментно через нанопору проходила только одна буква ДНК. Установлено, что ДНК не прилипает к MoS2 и проходит через пору аккуратно и быстро.
Компьютерное моделирование секвенирования на основе MoS2 дало четыре различных сигнала, соответствующих основаниям двухцепочечной молекулы ДНК. Другие системы дают в лучшем случае два – A/T и C/G, – которые затем требуют сложного вычислительного анализа, чтобы отличить А от Т и С от G.
Сам по себе пьезоэлектрический эффект уже нашел самое широкое применение в области генерирования энергии, датчиках, акустических излучателях, точных системах механического перемещения, пьезоэлектрических двигателях, типографии и многое другое.
Физики уже описали теоритически пьезоэффект в двумерных материалах, последние исследования показали, что такой эффект действительно есть.
Сверхтонкий дисульфида молибдена может проявлять пьезоэлектрический эффект с учётом некоторых условий:
-
необходимо использовать нечётное число слоёв материала
-
сгибать лист нужно в строго определённом направлении
Чтобы проявлялся пьезоэлектрический эффект, у материала должна отсутствовать центральная симметрия. Один атомный слой дисульфида молибдена обладает именно такой структурой, тем не менее, у трёхмерного материала последовательные слои ориентированы в противоположных направлениях и генерируют положительные и отрицательные напряжения, которые компенсируют друг друга, и дают нулевой пьезоэлектрический эффект.
-
Применение в устройствах наностолбиков. В чем преимущества литиевых батарей с катодным электродом из ядра и углеродных нанотрубок и золота, покрытых оболочкой из оксида ванадия.
Был создан наноструктурный электрод, состоящий из выровненных 1D наноструктур и имеющий преимущества для использования в батареях на литиевых электродах. Этот электрод имеет вертикально расположенный массив наностержней, состоящих из порытых золотом углеродных нанотрубок и элекроактивной оболочки из V2O5, которая создана с использованием анодного шаблона из оксида алюминия Al2O3. Предложенная система электрода является практически идеальным наноструктурным вариантом для электрода литиевой батареи, поскольку производительность повышается через: 1) облегченный перенос электронов через проводящее ядро (Au/CNTs), 2) облегчение диффузии ионов лития, 3) эффективный перенос электролита между вертикально расположенными наностержнями с оптимизированным расстоянием.
Рисунок 1 – Схематическая иллюстрация процесса изготовления вертикально расположенных наностолбиков. a) Пористый наношаблон из анодированного алюминия (диаметр пор ~ 50нм); b) Образование углеродных нанотрубок путем химического осаждения из паровой фазы; с) Ионное травление и последующее химическое травление CNT; d) Осаждение слоя углерода путем химического осаждения из паровой фазы; e) Покрытие углеродных нанотрубок золотом путем распыления; f) Осаждение V2O5 в качестве активного материала путем распыления.
Вертикально расположенные стержни состоят из Au/CNT ядра и V2O5 оболочки.
Электрод, состоящий из CNT/Au наностолбиков в V2O5 оболочке имеет ряд преимуществ:1) Большое отношение площади поверхности к объему активного материала можно ожидать через выравнивание вертикальной 1D наноструктуры с управляемой длиной и промежутками между столбиками, что должно обеспечить более активные центры. 2) Длина диффузии ионов лития может быть уменьшена или контролируема управлением толщиной V2O5 слоя оболочки. 3) Размеры наноструктуры ядро – оболочка могут быть более постоянными в условиях механических напряжений, которые вызываются распылением и потерей электрического контакта. 4) Присутствует активный перенос электронов через покрытое золотом CNT ядро внутри каждого наностолбика, состоящего из ядра и оболочки.
-
Основные типы СЗМ. Система обратной связи АСМ. Основные методы исследования поверхности АСМ. Оптическая система регистрации АСМ.
В любом методе зондовой микроскопии отслеживается изменение состояния зонда при сканировании. В атомно-силовой микроскопии – это отклонение D кантилевера от начального положения. Оно является измеряемой величиной. Обычно при сканировании поверхности без использования системы обратной связи мы получаем карту распределения отклонения кантилевера по поверхности образца, то есть массив данных D(x,y).
Методика сканирования поверхности с использованием обратной связи заключается в следующем. Зонд приближают к поверхности до тех пор, пока кантилевер в результате взаимодействия с поверхностью не отклонится на заранее заданную величину. После этого запускают сканирование по горизонтальным координатам (x,y), а отклонение кантилевера поддерживают постоянным, для чего при сканировании используют связь отклонения с положением образца. Положение образца по вертикали изменяют с помощью системы обратной связи, так чтобы отклонение кантилевера от изначального свободного положения над поверхностью было постоянным в каждой точке. Таким образом, движение образца будет повторять профиль исследуемой поверхности Z(x, y).Сканирование по координатам (x,y) осуществляется по известному закону, и полученные данные будут зависеть от скорости движения зонда и времени.
Получение АСМ изображений рельефа поверхности связано с регистрацией малых изгибов упругой консоли зондового датчика. В атомно-силовой микроскопии для этой цели широко используются оптические методы (рис. 10). Оптическая система АСМ юстируется таким образом, чтобы излучение полупроводникового лазера фокусировалось на консоли зондового датчика, а отраженный пучок попадал в центр фоточувствительной области фотоприемника. В качестве позиционно - чувствительных фотоприемников применяются четырехсекционные полупроводниковые фотодиоды.
Рисунок 10. Соответствие между типом изгибных деформаций консоли зондового датчика и изменением положения пятна засветки на фотодиоде.
Основные регистрируемые оптической системой параметры - это деформации изгиба консоли под действием Z-компонент сил притяжения или отталкивания (FZ) и деформации кручения консоли под действием латеральных компонент сил (FL) взаимодействия зонда с поверхностью.
-
Контактный метод
-
Бесконтактный метод
-
Полуконтактный метод
В контактном режиме регистрируют перемещение кантилевера по нормали к образцу. Перемещение кантилевера повторяет рельеф образца. Изгибные перемещения кантилевера, обусловленные силами взаимодействия вдоль плоскости образца, другими словами – силами трения, дают информацию о фрикционных свойствах поверхности – пространственную карту коэффициента трения. Для получения достоверной информации о характере рельефа поверхности исследуемого образца необходимо поддерживать минимальной силу взаимодействия зонд-образец. Это обеспечивает наименьший уровень искажений, вносимых за счет деформаций исследуемой поверхности и зонда, неизбежных при механическом воздействии. Сканирование удобно осуществлять таким образом, чтобы при сканировании сила взаимодействия между зондом и образцом была постоянной. Добиваются этого следующим образом. Во время сканирования образец перемещают по вертикали, приближая или удаляя от кантилевера таким образом, чтобы его изгиб оставался постоянным. В процессе измерений сила взаимодействия зонд-образец остается постоянной, и такой метод носит название контактный режим постоянной силы. В реальном микроскопе удается поддерживать постоянную силу с некоторой погрешностью.
В бесконтактном режиме кантилевер совершает вынужденные колебания с малой амплитудой порядка 1 нм. При приближении зонда к поверхности на кантилевер начинает действовать дополнительная сила со стороны образца. При ван-дер-ваальсовом взаимодействии это соответствует области расстояний между зондом и образцом, где действует сила притяжения. Регистрация изменения амплитуды и фазы колебаний кантилевера в бесконтактном режиме требует высокой чувствительности и устойчивости работы обратной связи.
На практике чаще используется так называемый "полуконтактный" режим колебаний кантилевера . При работе в этом режиме возбуждаются вынужденные колебания кантилевера вблизи резонанса с амплитудой порядка 10 – 100 нм. Кантилевер подводится к поверхности так, чтобы в нижнем полупериоде колебаний происходило касание поверхности образца (это соответствует области отталкивания на графике зависимости силы от расстояния (рис. 11)).
Рисунок 11. Выбор рабочей точки при "полуконтактном" режиме колебаний кантилевера.
При сканировании образца регистрируется изменение амплитуды и фазы колебаний кантилевера. Взаимодействие кантилевера с поверхностью в "полуконтактном" режиме состоит из ван-дер-ваальсового взаимодействия, к которому в момент касания добавляется упругая сила, действующая на кантилевер со стороны поверхности
-
Спинтроника. Проявление магнитоспротивления. Структуры с поперечным и продольным дрейфом электронов.
-
Использование эффекта гигантского магнитосопротивления в устройствах памяти. Поясните принцип работы.
-
Поясните принцип работы и ВАХ устройства, представленного на рисунке.
-
Спинтроника. Схема и принцип функционирования полевого спин-транзистора.
-
Явления, оказывающие влияние на свойства наноматериалов.
Характеристики
Тип файла документ
Документы такого типа открываются такими программами, как Microsoft Office Word на компьютерах Windows, Apple Pages на компьютерах Mac, Open Office - бесплатная альтернатива на различных платформах, в том числе Linux. Наиболее простым и современным решением будут Google документы, так как открываются онлайн без скачивания прямо в браузере на любой платформе. Существуют российские качественные аналоги, например от Яндекса.
Будьте внимательны на мобильных устройствах, так как там используются упрощённый функционал даже в официальном приложении от Microsoft, поэтому для просмотра скачивайте PDF-версию. А если нужно редактировать файл, то используйте оригинальный файл.
Файлы такого типа обычно разбиты на страницы, а текст может быть форматированным (жирный, курсив, выбор шрифта, таблицы и т.п.), а также в него можно добавлять изображения. Формат идеально подходит для рефератов, докладов и РПЗ курсовых проектов, которые необходимо распечатать. Кстати перед печатью также сохраняйте файл в PDF, так как принтер может начудить со шрифтами.
















