Вариант№2 (1051450)
Текст из файла
Вариант №2
Дифференциальный усилитель на биполярных транзисторах с источником начального тока и пассивной нагрузкой, Еп=±15 В, Io=200 мкА, Ivt3=1 мА, h21=200, Uбэ=650 мВ при Iбэ=1.0 мА, Uк1=Uк2=+9.0 В, g0=307 нСм, Va=250 В. Все транзисторы идентичны, кроме оговоренных особо случаев. Найти: коэффициент усиления по напряжению для дифференциального усилителя с симметричным выходом с дифференциальным сопротивлением нагрузки 100 кОм. * (Вес: 4)
Ответ: 624
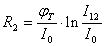
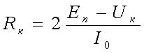
Дано: h21=50 для всех транзисторов, +Еп=15 В, -Еп=-15 В, I12=1.0 мА, Iо=25 мкА, Uа=250 В (напряжение Эрли). Найти: R1 и R2. * (Вес: 4)
= 14.35 | в ответах дано 14.00 буду разбираться с ним, он сказал, что я прав и засчитал за правильно решенную. Будет ли что менять в прометее – не знаю. Попробуйте написать 14.35 , поскольку в похожем варианте – 44, ответ 04.35. если что, укажите ему потом на недочет, скорее всего исправит.
= 03.69
Характеристики
Тип файла документ
Документы такого типа открываются такими программами, как Microsoft Office Word на компьютерах Windows, Apple Pages на компьютерах Mac, Open Office - бесплатная альтернатива на различных платформах, в том числе Linux. Наиболее простым и современным решением будут Google документы, так как открываются онлайн без скачивания прямо в браузере на любой платформе. Существуют российские качественные аналоги, например от Яндекса.
Будьте внимательны на мобильных устройствах, так как там используются упрощённый функционал даже в официальном приложении от Microsoft, поэтому для просмотра скачивайте PDF-версию. А если нужно редактировать файл, то используйте оригинальный файл.
Файлы такого типа обычно разбиты на страницы, а текст может быть форматированным (жирный, курсив, выбор шрифта, таблицы и т.п.), а также в него можно добавлять изображения. Формат идеально подходит для рефератов, докладов и РПЗ курсовых проектов, которые необходимо распечатать. Кстати перед печатью также сохраняйте файл в PDF, так как принтер может начудить со шрифтами.















