Билет (1050268)
Текст из файла
Билет № 69 похож на 5д
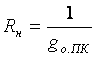
Задача 1
Дифференциальный усилитель на биполярных транзисторах с источником начального тока и пассивной нагрузкой, Еп=±15 В, Io=200 мкА, Ivt3=1 мА, h21=200, Uбэ=650 мВ при Iбэ=1.0 мА, Uк1=Uк2=+9.0 В, g0=307 нСм, Va=250 В. Все транзисторы идентичны, кроме оговоренных особо случаев. Найти: I1, I2 при Uсм=0, Uб1=+1 мВ, Uб2=+3 мВ.
I1=96.00
I2=104.0
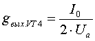
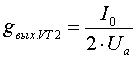
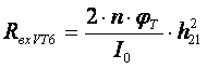
Задача 2
Дано: h21=50 для всех транзисторов, +Еп=15 В, -Еп=-15 В, I12=1.0 мА, Iо=25 мкА, Uа=250 В (напряжение Эрли). Найти: входную проводимость транзистора VT6, выходные проводимости VT4, VT6 и общую проводимость, на которую работает первый каскад.
gvt6=133.3
gvt4=gvt2=50
gvto=233.3g vt6g vt6Дано: h21=50 для всех транзисторов, +Еп=15 В, -Еп=-15 В, I12=1.0 мА, Iо=25 мкА, Uа=250 В (напряжение Эрли). Найти: входную проводимость транзистора VT6, выходные проводимости VT4, VT6 и общую проводимость, на которую работает первый каскад.Дифференциальный усилитель на биполярных транзисторах с источником начального тока и пассивной нагрузкой, Еп=±15 В, Io=200 мкА, Ivt3=1 мА, h21=200, Uбэ=650 мВ при Iбэ=1.0 мА, Uк1=Uк2=+9.0 В, g0=307 нСм, Va=250 В. Все транзисторы идентичны, кроме оговоренных особо случаев. Найти: I1, I2 при Uсм=0, Uб1=+1 мВ, Uб2=+3 мВ. Дифференциальный усилитель на биполярных транзисторах с источником начального тока и пассивной нагрузкой, Еп=±15 В, Io=200 мкА, Ivt3=1 мА, h21=200, Uбэ=650 мВ при Iбэ=1.0 мА, Uк1=Uк2=+9.0 В, g0=307 нСм, Va=250 В. Все транзисторы идентичны, кроме оговоренных особо случаев. Найти: I1, I2 при Uсм=0, Uб1=+1 мВ, Uб2=+3 мВ. Дифференциальный усилитель на биполярных транзисторах с источником начального тока и пассивной нагрузкой, Еп=±15 В, Io=200 мкА, Ivt3=1 мА, h21=200, Uбэ=650 мВ при Iбэ=1.0 мА, Uк1=Uк2=+9.0 В, g0=307 нСм, Va=250 В. Все транзисторы идентичны, кроме оговоренных особо случаев. Найти: I1, I2 при Uсм=0, Uб1=+1 мВ, Uб2=+3 мВ.
Вариант 28 похож на 27
Вопрос 1 (баллы 0 из 4)
Дифференциальный усилитель с активной нагрузкой в виде схемы токового зеркала. Найти коэффициент передачи дифференциального сигнала усилителя с симметричным выходом при условии идентичности транзисторов для h21=50, Ua=150 В. * (Вес: 4)
По выше найденным формулам рассчитайте и напишите численный ответ. По модулю. Образец ввода численного ответа: 0000 В поле должно быть ровно 4 символа. * (Вес: 4)
Правильный ответ 3000
Вопрос 3 (баллы 0 из 6)
Дано: h21=50 для всех транзисторов, +Еп=15 В, -Еп=-15 В, I12=1.0 мА, Iо=25 мкА, Uа=250 В (напряжение Эрли). Найти: коэффициент преобразования синфазного сигнала в дифференциальный. * (Вес: 6)
По выше найденным формулам рассчитайте и напишите численный ответ. По модулю. Образец ввода численного ответа: 000.0 В поле должно быть ровно 5 символов. * (Вес: 6)
Правильный ответ 000.0
Характеристики
Тип файла документ
Документы такого типа открываются такими программами, как Microsoft Office Word на компьютерах Windows, Apple Pages на компьютерах Mac, Open Office - бесплатная альтернатива на различных платформах, в том числе Linux. Наиболее простым и современным решением будут Google документы, так как открываются онлайн без скачивания прямо в браузере на любой платформе. Существуют российские качественные аналоги, например от Яндекса.
Будьте внимательны на мобильных устройствах, так как там используются упрощённый функционал даже в официальном приложении от Microsoft, поэтому для просмотра скачивайте PDF-версию. А если нужно редактировать файл, то используйте оригинальный файл.
Файлы такого типа обычно разбиты на страницы, а текст может быть форматированным (жирный, курсив, выбор шрифта, таблицы и т.п.), а также в него можно добавлять изображения. Формат идеально подходит для рефератов, докладов и РПЗ курсовых проектов, которые необходимо распечатать. Кстати перед печатью также сохраняйте файл в PDF, так как принтер может начудить со шрифтами.
















