Вариант 28 (1051449)
Текст из файла
Вариант 28
Вопрос 1 (баллы 0 из 4)
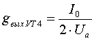
Дифференциальный усилитель с активной нагрузкой в виде схемы токового зеркала. Найти коэффициент передачи дифференциального сигнала усилителя с симметричным выходом при условии идентичности транзисторов для h21=50, Ua=150 В. * (Вес: 4)
По выше найденным формулам рассчитайте и напишите численный ответ. По модулю. Образец ввода численного ответа: 0000 В поле должно быть ровно 4 символа. * (Вес: 4)
Правильный ответ 3000
Вопрос 3 (баллы 0 из 6)
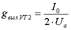
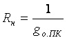
Дано: h21=50 для всех транзисторов, +Еп=15 В, -Еп=-15 В, I12=1.0 мА, Iо=25 мкА, Uа=250 В (напряжение Эрли). Найти: коэффициент преобразования синфазного сигнала в дифференциальный. * (Вес: 6)
По выше найденным формулам рассчитайте и напишите численный ответ. По модулю. Образец ввода численного ответа: 000.0 В поле должно быть ровно 5 символов. * (Вес: 6)
Правильный ответ 000.0
Характеристики
Тип файла документ
Документы такого типа открываются такими программами, как Microsoft Office Word на компьютерах Windows, Apple Pages на компьютерах Mac, Open Office - бесплатная альтернатива на различных платформах, в том числе Linux. Наиболее простым и современным решением будут Google документы, так как открываются онлайн без скачивания прямо в браузере на любой платформе. Существуют российские качественные аналоги, например от Яндекса.
Будьте внимательны на мобильных устройствах, так как там используются упрощённый функционал даже в официальном приложении от Microsoft, поэтому для просмотра скачивайте PDF-версию. А если нужно редактировать файл, то используйте оригинальный файл.
Файлы такого типа обычно разбиты на страницы, а текст может быть форматированным (жирный, курсив, выбор шрифта, таблицы и т.п.), а также в него можно добавлять изображения. Формат идеально подходит для рефератов, докладов и РПЗ курсовых проектов, которые необходимо распечатать. Кстати перед печатью также сохраняйте файл в PDF, так как принтер может начудить со шрифтами.















