Вар37М (1051448)
Текст из файла
Тест не сдан
| Тест | Входные каскады усилителей биопотенциалов. Билет № 37 |
Вопрос 1 (баллы 0 из 4)
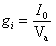
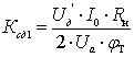
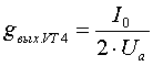
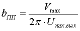
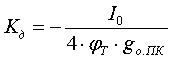
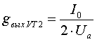
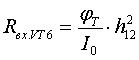
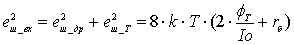
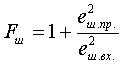
Дифференциальный усилитель на биполярных транзисторах с источником начального тока и пассивной нагрузкой, Еп=±15 В, Io=200 мкА, Ivt3=1 мА, h21=200, Uбэ=650 мВ при Iбэ=1.0 мА, Uк1=Uк2=+9.0 В, g0=307 нСм, Va=250 В. Все транзисторы идентичны, кроме оговоренных особо случаев. Найти: коэффициент усиления дифференциального напряжения для несимметричного выхода при Uсм=0, Uб1=+10 мВ, Uб2=+30 мВ. * (Вес: 4)
| Прав. | Ваш |
| ||
|
|
|
| ||
| | |
| ||
| | |
| ||
| | |
| ||
| | |
| ||
| | |
| ||
| | |
| ||
| | |
| ||
| | |
| ||
| | |
| ||
| | |
| ||
| | |
| ||
| | |
| ||
| | |
| ||
| | |
| ||
| | |
| ||
| | |
| ||
| | |
| ||
| | |
| ||
| | |
| ||
| | |
| ||
| | |
| ||
| | |
| ||
| | |
| ||
| | |
| ||
| | |
| ||
| | |
| ||
| | |
| ||
| | |
| ||
| | |
| ||
| | |
| ||
| | |
| ||
| | |
| ||
| | |
| ||
| | |
| ||
| | |
| ||
| | |
| ||
| | |
| ||
| | |
| ||
| | |
| ||
| | |
| ||
| | |
| ||
| | |
| ||
| | |
| ||
| | |
| ||
| | |
| ||
| | |
| ||
| | |
| ||
| | |
| ||
| | |
| ||
| | |
| ||
| | |
| ||
| | |
| ||
| | |
| ||
| | |
| ||
| | |
| ||
| | |
| ||
| | |
| ||
| | |
| ||
| | |
| ||
| | |
| ||
| | |
| ||
| | |
| ||
| | |
| ||
| | |
| ||
| | |
| ||
| | |
| ||
| | |
| ||
| | |
| ||
| | |
| ||
| | |
| ||
| | |
|
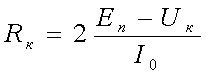
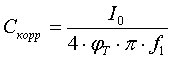
Вопрос 2 (баллы 0 из 4)
По выше найденным формулам рассчитайте и напишите численный ответ. По модулю. Образец ввода численного ответа: 000.00 В поле должно быть ровно 6 символов. * (Вес: 4)
| Прав. | Правильный ответ |
|
| 102.68 |
Вопрос 3,4,5
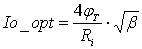
Дано. h21=50 для любого транзистора, Еп=15В, -Еп=-15В, I12=1мА, Io=25мкА,Ua=250В(Напряжение Эрли). Найти ток потребления в состоянии покоя и рассеиваемую мощность при Uсм=0.1мВ.
Iпотр=I12+2Io=1mA+50mkA=1.05mA
P=Iпотр*2Еп=31.5мВт
Характеристики
Тип файла документ
Документы такого типа открываются такими программами, как Microsoft Office Word на компьютерах Windows, Apple Pages на компьютерах Mac, Open Office - бесплатная альтернатива на различных платформах, в том числе Linux. Наиболее простым и современным решением будут Google документы, так как открываются онлайн без скачивания прямо в браузере на любой платформе. Существуют российские качественные аналоги, например от Яндекса.
Будьте внимательны на мобильных устройствах, так как там используются упрощённый функционал даже в официальном приложении от Microsoft, поэтому для просмотра скачивайте PDF-версию. А если нужно редактировать файл, то используйте оригинальный файл.
Файлы такого типа обычно разбиты на страницы, а текст может быть форматированным (жирный, курсив, выбор шрифта, таблицы и т.п.), а также в него можно добавлять изображения. Формат идеально подходит для рефератов, докладов и РПЗ курсовых проектов, которые необходимо распечатать. Кстати перед печатью также сохраняйте файл в PDF, так как принтер может начудить со шрифтами.















