_76 (1051442)
Текст из файла
Вариант №76
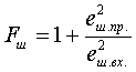
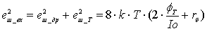
Дифференциальный усилитель на биполярных транзисторах с источником начального тока и пассивной нагрузкой, Еп=±5 В, Io=20 мкА, Ivt3=1 мА, h21=200, Uбэ=650 мВ при Uк1=Uк2=+2.0 В, g0=307 нСм, Va=250 В. Все транзисторы идентичны, кроме оговоренных особо случаев. Найти: коэффициент шума для полосы пропускания по уровню 0.7 200 Гц и Rист=1000 Ом. * (Вес: 4)
Ответ: 02,2
Дано: h21=250 для всех транзисторов, +Еп=5 В, -Еп=-5 В, I12=0.1 мА, Iо=25 мкА, Uа=250 В (напряжение Эрли). Найти: какой должна быть корректирующая емкость, подсоединенная между базой VT6 и коллектором VT7, чтобы частота единичного усиления равнялась 2.5 МГц. * (Вес: 6)
Ответ: 032
Характеристики
Тип файла документ
Документы такого типа открываются такими программами, как Microsoft Office Word на компьютерах Windows, Apple Pages на компьютерах Mac, Open Office - бесплатная альтернатива на различных платформах, в том числе Linux. Наиболее простым и современным решением будут Google документы, так как открываются онлайн без скачивания прямо в браузере на любой платформе. Существуют российские качественные аналоги, например от Яндекса.
Будьте внимательны на мобильных устройствах, так как там используются упрощённый функционал даже в официальном приложении от Microsoft, поэтому для просмотра скачивайте PDF-версию. А если нужно редактировать файл, то используйте оригинальный файл.
Файлы такого типа обычно разбиты на страницы, а текст может быть форматированным (жирный, курсив, выбор шрифта, таблицы и т.п.), а также в него можно добавлять изображения. Формат идеально подходит для рефератов, докладов и РПЗ курсовых проектов, которые необходимо распечатать. Кстати перед печатью также сохраняйте файл в PDF, так как принтер может начудить со шрифтами.















