gl1-2beg (1047109), страница 12
Текст из файла (страница 12)
А[-}В_{^л(у)^У-в(у)\1У. (2.7) ~~i'}
Неопределенность типа ОЧЕНЬ действует как усилитель и интерпретируется с помощью операции концентрирования, т. е. СОМ^_Л2:
04EHb-AJfi^(y),y. (2.8)
и
50
Декартово произведение двух нечетких множеств А и В (логически
высказывание «ЕСЛИ А, ТОГДА В": -
Для выражения нечетких терминов БОЛЕЕ-, MЕНЕE исполымот приближенные формулы:
Разработаны и друше операции над нечеткими множествам] [15, с. 37; 16, с. 49].
С помощью формул (2.5) — (211) преобразовываются функцш принадлежности, формально отображающие словесные модели используемые конструктором в процессе целенаправленною поиска решения НПК.З. Приведем несколько примеров таких моделем| Рассмотрим формализованные выражения первичных термином использующихся для оценки значении качественных фактором имеющих место в задаче, решение коюрои приведено в п. 22.1 Дискретная форма записи атомарны\ термов ЛП СЛОЖ.НОСТ1 применительно к поиску рациональной структуры стенки ортою нально-анизотропной цилиндрической оболочки, работающей t устойчивость, имеет вид:
ПРОСТАЯ КОНСТРУКЦИЯ—{(1/1), (0,9/5), (0,8/15), (0,8/20 (0,7/25), (0,6/30), (0,5/35), (0,4/40), (0,3/45), (0,2/50), (0,1/55 (0/60)}*.
В этом случае область определения находится в интервал( [1 ... 100], в котором каждому целому числу г/< ставится в соответст вие количество характерных (например, структурных) конструктив ных или функциональных элементов.
СЛОЖНАЯ КОНСТРУКЦИЯ—{(0,1/30), (0,1/35), (0,2/40) (0,3/45), (0,5/55), (0,6/60), (0,6/65), (0,7/70), (0,8/80), (0,9/85) (0,9/90), (1/100)}, с областью определения [1 ...100].
ПРОСТОЙ МОНТАЖ—{(1/1). (1/2). (0,9/3), (0,8/4), (0,7/5) (0,8/6), (0,5/7), (0,4/8), (0,3/9), (0,2/10), (0,1/11), (0/12)} с областьк определения [1... 20]. Целые числа г/i этой области могут означать например, количество сборно-разборных операций. Аналошчш СЛОЖНЫЙ МОНТАЖ — {(0,1/9), (0,2/10), (0,3/11), (0,4/12) (0,5/13), (0,6/14), (0,7/15), (0,8/16), (0,9/17), (1/18)}, с областьк определения [1 .. 20].
ПРОСТАЯ ТЕХНОЛОГИЯ — {(1/2), (0,9/4), (0,8/6), (0,8/8 (0,7/10), (0,6/12), (0,5/14), (0,4/16), (0,3/18), (0,2/20), 0,1/22, (0/24)}, с областью определения [1 ...40], каждое целое число кото рого у, может означать количество те\нологичсск11\ операций, пы ражсние их трудности и т. д.
* Знак объе мнения (-*-) -несь и далее опчцси
СЛОЖНАЯ ТЕХНОЛОГИЯ-{(0,1/12), (0,1/14), (0,2/16), (0,3/18), (0,5/22), (0,6/24), (0,6/26), (0,7/28), (0,8/32), (0,9/34), (0,9/36), (1/38)}, с областью определения [1...40].
'Для нечетких терминов, отражающих содержание качественного фактора «широта применения», вводится ЛП ПРИМЕНЕНИЕ. функции принадлежности первичных термов этой ЛП в графической форме приведены на рис. 2 5
Рис. 2.5
Функции принадлежности первичных терминов ЛП ПРИМЕНЕНИЕ:
УП — узкое применение, ЧП — частичное применение; 11111 — широкое применение
В заключение рассмотрим возможность введения ЛП на вероятностной основе. Такие ЛП целесообразно использовать в тех случаях когда относительно шкалируемой величины в прошлом опыте накоплены определенные статистические сведения, и эти данные
Рис. 2.6
Построение составной ЛП ВЕЛИЧИНА, вводимой в формальный анализ на вероятностной основе:
а — кривые распределения плотности субъективной вероягносги, б — составная ЛИ, о — эквпваленчный объем V =- l/f
могут быть представлены в виде кривой распределения плотности субъективно!! вероятности [17, с. 461!-
Графическую интерпретацию функции принадлежности атомарного терма такой ЛП можно получить посредством следующих построений (рис 26) Правая от «точки нормы» (см. на рис 2 6, о точку Мо) часть кривой распределения плотности субъективной вероя-шо-
52
сти строится симметрично спносительно прямой, параллельной оси абсцисс и проведенной через максимум этой кривой. Затем полученная кривая нормируется так, чтобы точка максимума исходной кривой совпадала со значением ординаты, равным 0,5, а крайняя правая точка отображенной части кривой имела ординату, равную единице. Таким образом, на единичном отрезке оси ординат (О... 1) независимо от вида кривой распределения «точка нормы» будет всегда проецироваться на его середину (совпадспь со жаченисм 0,5). Ниже этой гочки будут находиться оценки, отражающие значения шкалируемой величины меньшем, чем «норма», а выше— большей, чем «норма».
Если аналогично предыдущему случаю структуру «ЛП, вводимой на вероятностной основе, представить в виде набора <{/•/}, /U/, (_[_), < >} >, [W}>, где [Н}—название переменной; /U/—множество значений ЛП; (J_) —атомарные термы МАЛЫЙ (М), СРЕДНИЙ (С), БОЛЬШОЙ (Б); < ^ >— квантификаторы МНОГО < М>, ВЕСЬМА < В > и др.; [W]— модификаторы БОЛЬШЕ [Б], МЕНЬШЕ [М] и т. д., то интервал (О... 1) оси ординат может быть разбит на пять участков, индексируемых так, как это показано на рис. 2.6, а. На рис. 2.6, б представлен окончательный вид составной ЛП ВЕЛИЧИНА, полученной посредством перестроения и «стыковки» кривых распределения, соответствующих атомарным термам М, С и Б.
В результате проведенных построений реализуется возможность переноса результатов отдельных неформальных измерений на универсальную (составную) шкалу, расположенную на оси ординат (см. рис. 2.6, б). Это, в свою очередь, позволяет посредством использования специальной меры (см. п. 2 1.3) выносить суждение о величине относительного расхождения между измеряемыми неопределенными величинами (см. на рис. 2.6,6 расстояние у между модами гилгз и гп^\
2.1.3. Виды нечетких метрик
Значения параме1ров ТЗ и оценки мноюьимпинснгных хараме-ристик, по которым ведется сопоставление разрабатываемых вариантов ПК,Р, могут быть выражены в числовой, интервальной, вероятностной и лингвистической формах. Графические аналоги этих форм представления исходной и обрабатываемой в процессе решения НПКЗ информации показаны на рис. 2.7. Соответственно и вычисление многопараметрических потерь /„ осуществляется по-разному, в зависимости от того, какая сторона проектного анализа интересует конструктора. Рассмотрим несколько способов определения потерь (см. выражения (2.12) — (2.19)].
Графическая интерпретация первого (наиболее грубого с точки зрения решения НПКЗ) способа определения потерь 1ц, приемлемого лишь для лингвисчической формы предъявления информации,
54
Рис. 2.7
Графические аналоги фор» представления исходной информации:
а — числовая, б — интервальная; в — вероятностная г -лингвистическая, i> — {' 2'тс о— величина среднего отклонения от нормы
У, и и ^ ••••••&-» Я. ^- г а
Рис. 2.8 Определение потерь /i/:
а — функции принадлежности не имеют участков с нулевыми значениями элементов йаювоги множества; б — функции принадлежности с участками нулевых значений элементов базового мно жества
показана на рис. 2.8. В соответствии с этим способом лля\ V (/== 1,..., 10) согласно рис. 2.8 имеем
где Л73—/-и терм ТЗ; Л,—терм, сопоставляемый с /-м термом ТЗ i (Л'1'3); г—число элементов базового множества R; k—номер элемента базового множества R; у^—k-i\ элемент базового множества R; \ид73 (У ii) —степень принадлежности k-го элемента базового множества R j-wy терму ТЗ (Л'"); цл^Уд) —степень принадлежности k-го элемента'базового множества R терму Л,, сопоставляемому с термом Л73; t—номер анализируемого ПКР; J—номер параметра сравнения; Дуь—интервал между элементами i/k в сравниваемых термах Л"" и Л,.
При выполнении нечетких оценок, носящих только содержательный характер, значение интервала (Лг/ „) может быть принято равным единице [18, с. 129].
Для повышения точности вычислений полученные таким образом значения потерь целесообразно нормировать, например, отнести их значения к удвоенному числу ненулевых элементов базового множества (см. рис. 2.8):
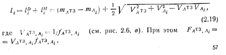
БОЛЬШОЙ (см. рис. 2.9) определяется как расстояние между координатами центров значения а(у; ц.) п Ь[у',. у..}, т. е.
которое характеризует детерминированную часть нечетких потерь. Неопределенная часть нечетких потерь может быть вычислена по tbopMv.-ie
где F\\ и /-'оБ—площадн фигур, ограничиваемые функциями принадлежности jam, [*об. Величина этих площадей характеризует уровень
Рис. 2.9 Определение детерминированной составляющей Iй обобщенных потерь:
у (у/, IV) — центр значения функции принадлежности МАЛЫП (|Хм);
t> (уь . |>ь') — центр значения фуик ции принадлежности ОЧЕНЬ БОЛЬ-ШОП 4i ок); /^м. ^об— "лошади функций принадлежности |<м и •»(>[;
соответственно
где •плтз, f)^ — количества элементов базового множества R, где функции принадлежности 4U'1'3 (У ft) и У-А,(у/г) имеют нулевые значения (см. рис. 2.18). Чем меньшее значение имеет параметр 2r— — (•ЦАТ3—т1л;), тем большее влияние на точность вычисления потерь будет оказывать процедура нормирования.
Другой способ определения потерь li;, не требующий нормирования и допускающий раздельное нахождение детерминированной и неопределенной составляющих НПК.З, основан на определении расстояний между характерными точками, которые могут быть названы центрами значения (ЦЗ). В качестве ЦЗ принимаются точки с координатами (рис. 2.9)
где F'—площадь под кривой функции принадлежности. Чисто внешняя сторона такого определения центра значения совпадает с понятием центра тяжести фигуры, ограниченной соответствующей функцией принадлежности ^ (у) и осями "координат у'и ^i.
В этом случае рассогласование (потери) между элементами составной ЛП ВЕЛИЧИНА, например термами МАЛЫЙ и ОЧЕНЬ
56
неопределенности каждого из сопоставляемых термов соответственно (см рис 29). В целом потери /, определяются как сумма детерминированной и половины неопределенной информационных составляющих:














