Штехер М. С. - Топлива и рабочие тела ракетных двигателей (1043408), страница 5
Текст из файла (страница 5)
Любая из этих форм приведет к искомому ответу при использо-вании известных молекулярных масс веществ:
26
Пример 2. Сжигание водорода в кислороде. Стехиометричес-кое уравнение этой реакции может быть записано так:
Из расчета на 1 кг горючего:
Если количество водорода задано относительной массовой долей, обозначенной Н, то уравнение примет вид:
Второй член левой части уравнения определяет количество окислителя (кг) на Н кг горючего - водорода.
Тогда 2 кг Н2 + 38 кг F2=40 кг НF или из расчета на 1 кг горючего
Пример 3. Сжигание водорода во фторе. Возможная форма стехиометрического уравнения реакции:
т. е. для полного сжигания 1 кг водорода нужно 19 кг фтора.
В случае сжигания в кислороде углеводородного горючего, например керосина состава СnНm, количество требующегося окислителя можно найти как сумму произведений стехиометрических количеств кислорода, взятых для сгорания углерода и водорода, умноженных на относительные массовые доли элементов в составе заданного горючего, т. е. керосина.
Пример 4. Обычно в керосине типа СnНm содержится до 86% углерода, 13-14% водорода и около 1% кислорода, растворенного в жидком горючем. Обозначив относительные массовые доли углерода и водорода соответственно через С и Н и пользуясь результатами примеров 1 и 2, можно сразу записать теоретически требуемое количество окислителя на 1 кг горючего:
где Отр - требуемое количество окислителя - кислорода для стехиометрического сжигания 1 кг горючего - кероси-на СnНm; Огор - количество кислорода, растворенного в 1 кг горючего,
примерно 1 %.
Примечание. Для более сложного по составу горючего метод рас-чета количества окислителя по существу остается таким же. Усложненная форма расчета будет показана подробно в разделе твердого топлива.
27
Соотношение компонентов
Во всех рассмотренных выше примерах определяли теоретическое количество окислителя на единицу массы горючего.
Полученное соотношение всегда будет характерным только для заданного топлива, поэтому им удобно пользоваться для сравнения разных топлив. Отношение массы окислителя к массе горючего при стехиометрических реакциях называют стехиомет-рическим соотношением компонентов (или стехиометрическим коэффициентом) и обозначают 0 или m0 - Количественное оп-ределение m0 для топлив, содержащих любое количество раз-личных элементов, производится по формуле:
где biг и biок - число грамм-атомов i-го элемента в горючем или окислителе;
i - валентность i-го элемента в составе горючего или окислителя.
Необходимо учитывать знак валентности: для электроположительных элементов знак плюс ( + ), для электроотрицательных - минус (-). Валентности основных элементов, обычно входящих в состав топлив, приведены ниже.
| Элемент | H | Li | K | Na | Be | Mg | B | Al | C | S | P | N | F | Cl | Br | O |
| Валентность | 1 | 1 | 1 | 1 | 2 | 2 | 3 | 3 | 4 | 4 | 5 | 0 | -1 | -1 | -1 | 2 |
Количественное определение стехиометрического коэффициента для углеводородных горючих можно производить на основе следующих рассуждений.
П
усть для окисления заданного горючего необходим окислитель сложного состава, условная формула которого (СаНbОсNd). Относительные массовые доли его элементов известны. В процессе реакции горения часть кислорода - окислителя пойдет на окисление собственных горючих элементов. Пользуясь рассуждениями и примерами предыдущего раздела, это количество кислорода можно определить как требуемое для окисления горючих элементов окислителя
где Сок и Нок - относительные массовые доли углерода и водорода в окислителе.
28
Тогда остаток кислорода в окислителе можно считать свободным и использовать его на окисление горючих элементов горючего
Р
азделив количество кислорода, требуемого для окисления 1 кг заданного горючего, на количество свободного кислорода заданного окислителя, получим
В самом общем виде это может быть записано так:
Знаком «0» отмечается, что количества окислителя и горючего относятся к условиям стехиометрической реакции. В реальных условиях работы двигателя стехиометрические соотношения между окислителем и горючим часто не выполнятся, и тогда действительное отношение массового расхода окислителя к массовому расходу горючего обозначается т или :
или в общем виде
В практике очень часто возникает необходимость сравнить действительное и стехиометрическое соотношение между компонентами топлива. Это можно сделать с помощью так называемого коэффициента избытка окислителя :
Зная величину а или изменение каких-либо показателей двигателя в зависимости от , можно судить о характере рабочего процесса двигателя, его экономичности, условиях эксплуатации к управлять рабочим процессом двигателя.
29
Коэффициент избытка окислителя является, как видно из формулы (1.18), безразмерной величиной, очень удобной для расчетов характеристик топлива и рабочего процесса двигателя
(рис. 1.2).
При = 0 = 1,0. При <1,0 топливо имеет избыток горючего, такие смеси топлива называют «богатыми» горючим или «обогащенными».
Если >1,0, топливо имеет избыток окислителя, эти смеси называют «бедными» горючим или «обедненными».
Для расчета большинства реальных рабочих процессов величина коэффициента избытка окислителя () обычно задается или выбирается на основании специальных условий эксплуатации.
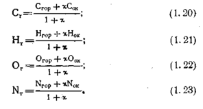
Массовый состав топлива
Для двухкомпонентных жидких топлив при заданных или известных значениях а можно рассчитать относительную массовую долю какого-либо элемента по формуле:
где giт - массовая доля i-го элемента в топливе;
giок, giгор - массовые доли i-го элемента в окислителе и горючем.
1+ - количество килограмм топлива на 1 кг горючего.
Для частного случая, например, когда в топливе присутствуют только углерод, водород, кислород и азот, обозначив относительные массовые доли химическими индексами этих элементов, можно записать удобные расчетные формулы:
30
Используем эти формулы для примера. Определить состав топлива, состоящего из азотной кислоты (96% НNО3 + 4% Н2О) и керосина (С = 86%, Н = 13%, Оа=1%). Зная для керосин-азотнокислотного топлива =5,45 из табл. 1 (см. приложение) и за-даваясь = 0,8, найдем.
Подставляя в формулы для Ст, От, Нт и Nт процентное содержание элементов в компонентах, запишем
З
десь значения Нок> Оок, Мок взяты из предыдущих примеров.
Теплопроизводительность топлива
Теплотворной способностью или теплопроизводительностью простого или сложного топлива называют количество тепла, которое выделяется при сгорании единицы (килограмма, кубометра или моля) топлива в атмосфере кислорода или другого окислителя.
На практике обычно используется теплотворная способность, отнесенная к весу. Различают теплопроизводительность топлива высшую и низшую.
Высшей теплопроизводительностью топлива HВ называют количество тепла, выделяющееся при сгорании весовой или объемной единицы топлива при условии, что продукты реакции охлаждаются в калориметре до нормальной температуры (20° С) [293 К].
Низшей теплотворной способностью топлива Нu называют количество тепла, выделяющееся при сгорании весовой или объемной единицы топлива при условии, что пары воды, а в ряде случаев и продукты реакции высококипящих окислов в продуктах сгорания находятся в парообразном состоянии при температуре выше их точки конденсации.
31
Формальная связь между HВ и Нu может быть записана в та-ком виде:
а) когда учитывается только теплота конденсации паров воды
Нu = HВ-Wm,
где W - теплота парообразования 1 кг воды;
т - количество водяных паров в продуктах реакции, кг;
б) когда учитывается теплота конденсации паров высококи-пящих окислов
где Wi - теплота парообразования соответствующих окислов;
тi - количество соответствующих окислов в продуктах реакции, кг.
В ракетной и авиационной технике иногда пользуются теплотворной способностью топлива, отнесенной к единице объема, например, для оценки степени использования емкости баков при расчетах дальности полета. Эту величину обозначают Ни' -размерность (ккал/л), она связана с Ни таким образом:
















