Штехер М. С. - Топлива и рабочие тела ракетных двигателей (1043408), страница 3
Текст из файла (страница 3)
II. Требования к топливу как к веществу, используемому для охлаждения двигателя.
* Топливо смешанного фазового состава, имеющее жидкий окислитель и твердое горючее или наоборот, в иностранной литературе называют «литерголь» или «гибридное топливо», например, горючее - графит, окислитель - азотный тетраксид или перекись водорода - окислитель, твердое ракетное топливо - горючее.
15
III. Требования к топливу как к веществу, находящемуся в эксплуатации вне двигателя, например на складе, на испытательном стенде, на ракете.
Это разделение не строго, но очень удобно для запоминания.
При подборе требований к топливу для заданного объекта, учитывая его специфику, можно менять число и содержание от-дельных групп, подчеркивая требования, особенно важные для данного случая.
I группа. Требования к топливу как к источнику энергии
В камере сгорания двигателя химическая энергия топлива переходит в тепло, количественно это можно учесть, зная изменение энтальпии газа в камере
где Qк - тепло, выделяющееся при реакции горения в камере;
Gт - количество топлива, участвующего в реакции;
к - коэффициент теплоиспользования в камере двигателя;
Нu - количество тепла, выделяющегося при сгорании 1 кг
где
W - скорость истечения газа из сопла, м/с;
c - коэффициент потерь в сопле;
e - коэффициент полезного действия двигателя (коэффициент теплоиспользования в камере и сопле двигателя).
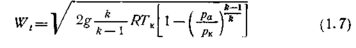
Используя термодинамический цикл двигателя и параметры рабочего процесса, можно установить следующие зависимости. Теоретическая скорость истечения газов (м/с)
топлива - теплопроизводительность топлива.В сопловом аппарате двигателя тепловая энергия газов -продуктов реакции, истекающих из сопла, преобразуется в кине-тическую энегию струи
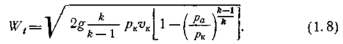
Действительная скорость истечения газов (м/с)
Теоретический удельный импульс тяги для заданного топлива
16
Действительный удельный импульс тяги для заданного топлива
Все эти зависимости, хорошо известные из теории двигателей, приведены здесь для того, чтобы еще раз подчеркнуть зависимость скорости и удельной тяги от теплопроизводительности топлива. Из термодинамики известно, что, используя параметры двигателя, можно записать (м/с)
или, так как по характеристическому уравнению р=RТ, то
Здесь R - газовая постоянная, равная 848/к;
к - молекулярная масса газов — продуктов сгорания; Тк - температура газов в -камере, К;
k=ср/с -показатель адиабаты;
ср- теплоемкость газов при -постоянном давлении; с - теплоемкость газов при постоянном объеме; рк- давление газов в камере; pa- давление газов на срезе сопла;
рк/pa степень расширения газов в сопле двигателя.
На основе приведенных зависимостей можно показать, что
W = f(Hu, R, Тк, k, к ).
Связь между W и Ни рассмотрена выше, остановимся подробнее на других показателях.
Газовая постоянная. Чем больше газовая постоянная R, тем больше W (м/с), но R=848/к зависит от молекулярной массы продуктов сгорания и чем меньше к , тем выше R, а значит, и W.
Чтобы иметь высокие W и Iуд, нужно подбирать топлива, обеспечивающие минимальный молекулярный вес продуктов сго-рания.
Показатель адиабаты k=ср/с . Теплоемкости ср и
с зависят от температуры и увеличиваются с ростом Тк. Однако,
17
можно считать, что рост ср и с с температурой примерно одинаков, и следовательно, и мало изменяется при изменении Tк, но абсолютные значения ср и с для разных веществ не одинаковы, и, следовательно, для разных топлив, дающих разные продукты сгорания, абсолютная величина и различна.
Температура газов в камере Tк. Из формулы (1.7) видно, что чем выше Tк, тем больше скорость истечения и удельная тяга. Современные химические топлива могут обеспечить температуру камеры до 6000 К, однако материал стенок камеры не выдержит этой температуры.
Ни одна из действующих в настоящее время систем охлаждения стенок камеры не справляется с тепловыми потоками, возникающими при температурах выше 4500-5000 К, поэтому температура в камере не должна превышать 4000-4500 К. Ограничить температуру до этого предела можно путем подбора соотношения между окислителем и горючим.
Степень расширения газов рк/pa Степень расширения газов зависит от давления в камере рк и давления на срезе сопла ра. При условии, что рк достигает 150-200 кгс/см2, а ра для верхних ступеней ракетных двигателей, работающих в космосе, обычно выбирают от 0,1-0,005 кгс/см2, можно получить степень расширения от 500 до 4000. Но в каких бы пределах не менялись значения рк и ра, этот параметр не связан непосредственно с топливом и зависит только от конструктивных особенностей двигателя.
При выборе топлива учет этой величины не обязателен, но при сравнении топлив, используемых на разных двигателях, необходимо стремиться получить сравниваемые величины при одинаковых или близких значениях.
Рассмотренные выше условия отвечают энергетическим характеристикам топлива, обеспечивающего рабочий процесс ракетного двигателя как тепловой машины. Но ракетный двигатель работает будучи встроенным в корпус ракеты и в полете подчиняется одинаковым с ней закономерностям.
Движение ракеты описывается уравнением К- Э. Циолковского:
где
V — максимальная скорость полета ракеты, м/с;
W — скорость истечения газов из сопла двигателя, м/с;
mт; Gт — масса и вес топлива в ракете,
mк, Gк — масса и вес ракеты без топлива (сухой вес конструкции и полезного груза).
18
Если массу топлива выразить через плотность и объем и учесть, что объем топлива в баках можно связать с массой конструкции, то
Учитывая, что
или
можно записать
Отсюда следует, что скорость полета ракеты будет тем больше, чем выше теплопроизводительность и плотность топлива. Точно так же скорость полета ракеты будет тем больше, чем выше Тк и R. в камере и плотность топлива в баках.
Рассмотрим еще два условия, которые не имеют прямой связи с энергетическими параметрами топлива, но относятся к I группе требований потому, что связаны с процессом горения топлива.
1. В рабочем процессе двигателя очень важна величина скорости сгорания топлива. Под скоростью сгорания понимается количество (масса) топлива, реагирующее (сгорающее) в единицу времени. Чем больше скорость сгорания, тем меньше время пребывания топлива в камере сгорания. Таким образом, с увеличением скорости сгорания может быть уменьшена длина и объем камеры сгорания, что приводит к уменьшению массы двигателя.
Следовательно, топливо должно обладать наибольшей скоростью сгорания.
2. Для плавного и надежного (без взрыва) запуска двигателя очень важно иметь топливо с наименьшим периодом задержки воспламенения. Периодом задержки воспламенения 0 называется время, протекающее от момента соприкосновения компонентов топлива (окислителя и горючего) до момента начала реакции горения, момента появления пламени и нарастания давления в камере. Это условие особенно важно для самовоспламеняющихся топлив.
В процессе запуска ракетного двигателя компоненты топлива - окислитель и горючее - непрерывно подаются в камеру сгорания, где они смешиваются, испаряются и вступают в химическую реакцию.
В первый период реакции окисления, называемый предпламенным, процесс развивается медленно, тепловыделение и температура еще малы, нет нарастания давления.
19
Массовому горению топлива соответствует бурное развитие реакции, сопровождающееся появлением видимого пламени в результате роста температуры, большого тепловыделения и начала нарастания давления.
Чем больше промежуток времени между контактом компонентов и началом реакции, тем больше топлива успеет попасть в камеру до начала горения; при бурном развитии реакции горения в ней будет участвовать большее, чем обычно, количества топлива. Это приведет к резкому нарастанию давления (в 3-5 раз выше расчетной нормы), в результате чего произойдет взрыв камеры и двигатель разрушится. Следовательно, топливо должно обладать наименьшим периодом задержки воспламенения.
Ниже приведены технические требования к топливу как к источнику энергии, систематизированные на основании рассмотренных выше условий.
Топливо или его компоненты должны:
1. Обладать наибольшей теплопроизводительностью, что обеспечит наибольший Iуд.
2. Иметь наибольшую плотность, что обеспечит наибольшую скорость ракеты.
3. Иметь наибольшее значение газовой постоянной или наименьшую молекулярную массу продуктов сгорания, что обеспечит наибольшую скорость истечения газов из сопла и, следовательно, наибольший удельный импульс тяги.
4. Иметь умеренную температуру сгорания, не более 4000-4500 К, что обеспечит надежность работы конструкции камеры.
5. Обеспечивать наибольшую скорость сгорания, что сокращает время пребывания в камере, уменьшает объем и вес ка-меры.
6. Иметь наименьший период задержки воспламенения, что обеспечит плавный и надежный запуск двигателя.
II группа. Требования к топливу как к охлаждающему агенту двигателя
Рабочий процесс ракетного двигателя протекает при очень высоких температурах и давлениях в камере сгорания. Возникающие при этом тепловые потоки через стенки камеры и сопла очень велики и обычно в 5-10 раз превышают тепловые потоки, имеющие место в котлостроении.
Для нормальной работы двигателя необходимо организовать надежное и интенсивное охлаждение стенок камеры и сопла.
В настоящее время для двигателей с высокими тепловыми потоками принята комбинированная схема охлаждения. В этой схеме внешнее охлаждение стенок камеры и сопла осуществляется компонентом топлива, протекающего через зазор между стенкой камеры и рубашки. В то же время, через специальные отверстия в стенках камеры определенное количество
20
компонента направляется непосредственно внутрь камеры, образует жидкую пленку, которая защищает часть стенки камеры или сопла. Затем жидкая пленка испаряется за счет тепла, поступающего от горячих газов, и таким образом осуществляется внутреннее охлаждение стенок.
Требования II группы к топливу или его компонентам подбираются по условиям наибольшей эффективности охлаждения двигателя.
Требования к топливу как к охлаждающему агенту приведены без предварительного рассмотрения условий.
Топливо или его компонент, являющийся охлаждающей жидкостью, должны обладать:
1. Высокой удельной теплоемкостью, при этом единицей веса жидкости поглощается наибольшее количество тепла.
2. Высокой теплопроводностью. Такая жидкость способна пропускать и распределять по объему большие тепловые потоки.
















