Сухов А.В. - Методические указания к выполнению домашнего задания (1043380)
Текст из файла
ВВЕДЕНИЕ
Данные методические указания предназначены для выполнения домашнего задания по расчету характеристик испарения жидких компонентов топлива в условиях камеры сгорания (КС) двигателя летательного аппарата (ДЛА), работающего по схеме “газ + жидкость”.
Время испарения компонента жидкого топлива в капельном состоянии определяют относительная скорость и температура газа, размер капель, их первоначальная температура, условия подвода тепла, концентрация паров компонентов, теплофизические свойства компонентов в жидкой и газовой фазе. Указанные параметры изменяются по сечению камеры и по времени, в связи с чем выполнение надежных расчетов характеристик процесса испарения представляет весьма сложную задачу.
В данном домашнем задании используется методика, основанная на диффузной модели испарения одного из компонентов топлива в капельном состоянии. При этом определяется полное время испарения капли того или иного компонента топлива в конкретных условиях КС ДЛА и характер изменения параметров, определяющих этот процесс.
ОБЩИЕ ПОЛОЖЕНИЯ
Рабочий процесс в камере сгорания или в газогенераторе ДЛА представляет собой совокупность взаимосвязанных физико-химических процессов преобразования топлива в продукты сгорания.
Условно рабочий процесс КС ДЛА разделяют на ряд отдельных этапов (стадий) преобразования топлива:
-
распыление компонентов топлива,
-
смешение компонентов в жидкой фазе,
-
подогрев и испарение капель,
-
смешение паров горючего и окислителя,
-
воспламенение топлива,
-
горение топлива,
-
истечение продуктов сгорания из сопла.
В домашнем задании предлагается рассчитать характеристики
одного из определяющих этапов рабочего процесса – испарение паров горючего в условиях КС ДЛА, работающего по схеме “газ + жидкость”. Все расчеты проводятся в системе СИ.
Отвлечемся от рассмотрения взаимосвязи процессов в КС ДЛА и рассмотрим процесс испарения единичной капли горючего в потоке газообразного окислителя. При этом определим полное время испарения капли и характер изменения параметров, определяющих этот процесс.
Будем считать, что капля имеет сферическую форму, а температура газа Tгаз и давление в КС pк постоянны.
Изменение температуры капли Tк, ее диаметра dк и скорости Wк по времени описывается системой дифференциальных уравнений.
1.Уравнение, характеризующее изменение температуры
к
апли по времени, может быть получено путем решения системы следующих уравнений :
где
Q - количество тепла, подведенного к капле;
Q`- количество тепла, необходимое для нагрева капли от
начальной температуры до температуры кипения;
Q`` - количество тепла, необходимое для фазового перехода из
жидкого состояния в газообразное;
qт - удельный тепловой поток к поверхности капли;
Fк - площадь поверхности капли;
-
- время;
Cк - теплоемкость вещества капли;
mк - масса капли;
rисп - удельная теплота испарения компонента;
qm - удельный массовый поток;
Подставив уравнения (2) – (5) в уравнение теплового баланса (1), после преобразования получим уравнение :
2. Учитывая, что mK=жdK3/6, и принимая плотность жидкости капли постоянной, изменение массы капли представим в виде
С учетом FK=dK2 из уравнений (5) и (7) получим
3. Зависимость скорости движения капли от времени получим из уравнения сохранения количества движения
где CXK=27/Re0.84 – коэффициент аэродинамического сопротивления
FMK=dK2/4 – площадь миделевого сечения капли;
газ – плотность газа.
Для решения полученной системы дифференциальных уравнений (6), (8), (9) используем ряд дополнительных уравнений тепломассопереноса, коэффициенты которых и определяются из критериальных зависимостей, полученных на основе теории подобия.
4. Удельный тепловой поток
qT=(Tгаз-TK)zT, (10)
где - коэффициент теплоотдачи определяемый с помощью критериального уравнения
NuT=(2+0.6PrT1/3Reотн0.5)zT. (11)
Здесь NuT=dK/газ – тепловой критерий Нуссельта;
PrT=газ/aгаз – тепловой критерий Прандтля;
Reотн=dK|газK|/газ – критерий Рейнольдса, определяемый скоростью движения газа относительно капли;
zT – коэффициент, учитывающий влияние массового потока паров горючего с поверхности капли на тепловой поток к капле из окружающей среды.
5. Удельный массовый поток
qm=(ps-pKi)zm , (12)
где – коэффициент переноса вещества;
ps – давление насыщенных паров горючего;
pKi – парциальное давление паров горючего в среде газообразного окислителя,
Коэффициент определяется из критериального уравнения
NuD=(2+0.6Pr1/3Re0.5)zm, (14)
где NuD=dK/DP – диффузионный критерий Нуссельта;
PrD=Sc=газ/DC – диффузионный критерий Прандля или число
Шмидта
D
P и DC – коэффициенты диффузии, выражающие массовый поток через градиент давлений P и концентраций C соответственно,
или Dc=DPRT (16)
zm – коэффициент, учитывающий влияние диффузии газа к поверхности капли на противоположно направленный массовый поток горючего.
6. Скорость газа определяем из уравнения неразрывности
где Fкс
- площадь поперечного сечения к/с;
- массовый расход газа через поперечное сечение КС;
-
расход окислителя и газообразного горючего
соответственно;
Р
асход газообразного горючего можно определить как :
где индекс “ж” означает жидкую фазу.
Плотность газа определяем из уравнения состояния
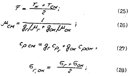
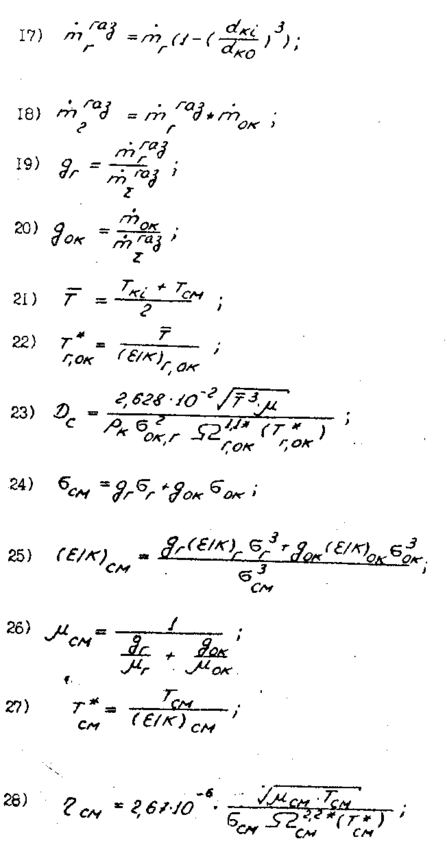
Решение поставленной задачи требует использования имеющихся в литературе [5,2] выражений для расчета коэффициентов переноса в однокомпонентном газе и бинарной газовой смеси.
Коэффициент динамической вязкости :
где pК – давление в МПа;
-
интегралы столкновений определяющиеся по приведенной температуре T*
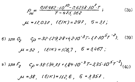
Термодинамические свойства индивидуальных веществ, также как теплоемкость С, плотность , давление насыщенных паров pS, теплота испарения rисп, представлены в таблицах [3,6].
Для реализации методики на ЭВМ С, , p, rисп, были аппроксимированы в аналитическую функцию. В пределах допустимой точности можно считать их зависимыми лишь от температуры TК, так как другие параметры влияют незначительно.
Предлагаются следующие зависимости :
Д
ля выполнения требуемых расчетов уравнения (6), (8), (9) записываются в конечных разностях.
Значение интегралов столкновения, представленные в [2] в виде таблиц, хорошо аппроксимируются (в интервале 2<T*<10, что в нашем случае соответствует температурному интервалу
300К < T <1500 К ) следующими зависимостями :
АЛГОРИТМ РАСЧЕТА
Исходные данные :
-
P – тяга;
б) pК – давление в к/с;
в) dК0 – начальный диаметр капли;
г) TСМ – температура среды;
д) TК0 – начальная температура капли;
e) компоненты топлива
Порядок расчета:
-
по [1,2] определяется удельный импульс Iу, расходный комплекс , и стехиометрическое соотношение компонентов K0.
В расчетах также необходимо найти расстояние LК, преодолеваемое каплями до их полного испарения. Так как скорость капель К величина переменная по времени то расстояние проходимое ими за время испарения tК, определяется интегрированием по формуле
которая в конечно разностной форме примет имеет вид
где n=tК/t
Литература.
-
Основы теории и расчета ЖРД / А.П. Васильев, В.М. Кудрявцев, В.А. Кузнецов и др. ; Под ред. В.М. Кудрявцева. – М.:Высшая школа, 1983. – 703 с.
-
Алемасов В.Е., Дрегалин А.Ф., Тишин А.П. Теория ракетных двигателей / Под ред. В.П. Глушко. – М.: Машиностроение, 1980. – 533 с.
-
Варгафтик Н.Б. Теплофизические свойства газов и жидкостей. – М.: Наука, 1972. – 720 с.
-
Рябин В.А., Остроумов М.А., Свифт Т.В. Термодинамические свойства веществ. – Л.: Химия, 1977. – 392 с.
-
Гиршфельдер Дж. Молекулярная теория газов и житкостей / Пер. с англ.; Под. ред. Е.В. Ступоченко. – М.: Изд. иностр. лит., 1961. – 929 с.
-
Глушко В.П. Термодинамические и теплофизические свойства продуктов сгорания: Справочник М.: Машиностроение, 1971. – 5т.
-
Бретшнайдер С. Свойства газов и жидкостей // Инженерные методы расчета / Пер. с польского; Под ред. П.Г. Романкова. – М. – Л.: Химия. Ленингр. отд-ние, 1966. – 535 с.
-
Риф Р., Шервуд Т. Свойства жидкостей и газов // Определение и корреляция / Пер. с англ. Б.И. Соколова; Под ред. В.Б. Когана. – Л.: Химия. Ленингр. отд-ние, 1971. – 702 с.
Характеристики
Тип файла документ
Документы такого типа открываются такими программами, как Microsoft Office Word на компьютерах Windows, Apple Pages на компьютерах Mac, Open Office - бесплатная альтернатива на различных платформах, в том числе Linux. Наиболее простым и современным решением будут Google документы, так как открываются онлайн без скачивания прямо в браузере на любой платформе. Существуют российские качественные аналоги, например от Яндекса.
Будьте внимательны на мобильных устройствах, так как там используются упрощённый функционал даже в официальном приложении от Microsoft, поэтому для просмотра скачивайте PDF-версию. А если нужно редактировать файл, то используйте оригинальный файл.
Файлы такого типа обычно разбиты на страницы, а текст может быть форматированным (жирный, курсив, выбор шрифта, таблицы и т.п.), а также в него можно добавлять изображения. Формат идеально подходит для рефератов, докладов и РПЗ курсовых проектов, которые необходимо распечатать. Кстати перед печатью также сохраняйте файл в PDF, так как принтер может начудить со шрифтами.















