4 -8 (1039352), страница 3
Текст из файла (страница 3)
Д(НЗ ,βi) = Д0 (НЗ ,βi) + Д ,
где Д0 (НЗ ,βi) – дальность обнаружения РЛС на высоте НЗ и азимуте βi ВО с ЭОП 0. Поправка Д подставляется в формулу со своим знаком.
Таким образом, рассмотренный способ определения ЗО РТС позволяет сократить расчеты, выявить реальные возможности по различным типам ВО.
Расчет и построение зоны обнаружения РТС в условиях активных шумовых помех. Для расчета ЗО РТС в условиях АШП удобно использовать такой показатель, как коэффициент сжатия, который численно равен отношению наклонной дальности обнаружения цели в помехах к дальности обнаружения этой же цели в условиях без помех
Ксж (,) = Rп (,) / R0 (,).
Обозначим через k величину
. (7)
Тогда выражение для определения дальности обнаружения в условиях отсутствия помех и при наличии помех можно записать в виде
;
,
где Рш = N0 fпр – мощность собственных шумов приемного устройства;
Рп = Nп fпр – мощность помех на выходе устройства защиты от помех.
Следовательно
=
. (8)
Значение мощности собственных шумов приемника (РШ) определяется из соотношения
Рш =k Т0Шfпр , (9)
где k = 1,37 · 10-23 дж/град – постоянная Больцмана; Т0 – температура по шкале Кельвина, для расчетов принимают Т0 = 293oК, Ш – коэффициент шума.
Мощность помехи на выходе устройства помехозащиты определяется в общем виде выражением (без учета направленных свойств антенн ПАП):
. (10)
С учетом выражений (8) и (10) коэффициент сжатия может быть представлен в виде:
, (11)
где
,
,
.
Параметр А в формуле (11) объединяет параметры, которые не зависят от помеховой обстановки и являются постоянными для конкретного РТС. Параметр КΣ объединяет параметры, зависящие от характеристик передатчиков помех, взаимного расположения цели и постановщиков помех, уровня боковых лепестков ДНА РЛС, эффективности помехозащитной аппаратуры.
Представленные соотношения позволяют получить значение коэффициента сжатия ЗО РТС. ЗО для заданной помеховой обстановки пересчитывается с использованием полученного коэффициента по следующей формуле
Rп(,) = R0(,) Kсж .
Таким образом, методика расчета ЗО РТС в АШП состоит из следуюших операций.
1. С помощью аппроксимированных ДНА РТС определяются уровни бокового фона в тех направлениях, с которых действуют постановщики помех, т.е. F (), F (). Учитывается эффективность помехозащитной аппаратуры РТС и определяется промежуточный коэффициент (рис. 3)
i = F (i) + F (i) + m + 32 дБ .
Для РТС кругового обзора F (i) = 0 дБ. Величина 32 дБ – масштабирующий коэффициент.
2. По графикам Кi' = f(Rп, п) (рис. 4 а) определяется плотность потока мощности активной помехи на входе антенны РЛС от каждого постановщика помех для заданных величин Rп i и п i. Значение плотности потока мощности обозначается через промежуточный коэффициент Кi' и считывается в дБ по левой вертикальной оси графика либо в разах по правой вертикальной оси графика.
3. Вычисляется суммарный коэффициент К = i + Кi' в дБ и переводится в значение К , выраженное в разах. Для этого используется левая и правая вертикальные оси графика Кi' = f(Rп,п). Затем с помощью графика зависимости Ксж = f(A, К) определяется коэффициент сжатия зоны обнаружения заданного радиолокатора (рис. 4 б).
На рис. 2 и рис. 5 приведены графики для различных РТС РТВ.
На практике в большинстве случаев необходимо определить дальность обнаружения цели на заданной высоте полета Н в конкретной помеховой обстановке. Для этого, используя коэффициент Ксж, пересчет производится для каждого азимутального направления по линиям равных углов места. Затем находят точки пересечения линий равных высот с линией, характеризующей зону обнаружения РТС в помехах, и определяются дальности обнаружения целей на заданных высотах.
Рис. 3. Аппроксимированные ДНА различных РЛС в азимутальной и
угломестной плоскостях
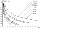
Рис. 5. Вид зоны обнаружения РЛС в условиях помех по F-117А
Заключение
На занятии были рассмотрены основные виды помех радиотехническим средствам. Рассмотрена методика оценки зоны обнаружения РЛС при воздействии активных шумовых помех а также качественные характеристики помехозащищенности радиотехнических средств.
Контрольные вопросы:
-
Классификация помех.
-
Основные показатели помехозащищенности.
-
Методика построения зоны обнаружения РЛС при воздействии АШП.
Задание на самоподготовку:
Изучить материал занятия.
2
















