Хорошев А.Н. - Основы системного проектирования технических объектов (1037544), страница 4
Текст из файла (страница 4)
3.3.1.1. Результаты творческой деятельности
В науке и технике выделяют следующие результаты творческой деятельности:
-
открытие, т.е. установление ранее неизвестных объективных закономерностей, свойств и явлений материального мира с обязательным экспериментальным подтверждением. Открытие, в основном, является продуктом научной деятельности, но решающим и революционным образом определяет развитие техники. На открытие существует приоритет (право первенства), но нет права собственности на использование;
-
изобретение, т.е. новое и обладающее существенными отличиями техническое решение задачи, которое не является очевидным следствием известных решений. Изобретение относится к объектам интеллектуальной собственности и на него распространяется авторское право (монопольное право собственности на использование). Содержание изобретения публикуется. Изобретателю выдается патент, свидетельствующий о его праве и приоритете на изобретение (ранее в нашей стране вместо патента выдавали авторское свидетельство). Авторское право может быть уступлено (продано). Изобретение может быть использовано в коммерческих целях только с разрешения патентообладателя на основе лицензионного договора;
-
рационализаторское предложение, т.е. предложение по улучшению конструкции реального изделия или процесса его изготовления, не содержащее существенно новых решений (с недостаточно существенными отличиями) и с незначительной эффективностью. Часто в качестве рацпредложения оформляют применение решения, неизвестного на данном предприятии, но известного в других местах (но следует быть осторожным с возможным нарушением авторских прав). Понятие рацпредложения существует всего в нескольких странах как способ поощрения изобретательства и вовлечения в него широкого круга работников предприятия;
-
ноу-хау (know-how, «знаю, как <сделать>»). Под этим термином обычно подразумевают техническую, организационную или коммерческую информацию, составляющую секрет производства (любого) и имеющую коммерческую ценность (ноу-хау не относится к государственным секретам). В отличие от патента на изобретение, на ноу-хау существует только право на защиту имущественных интересов в случае их незаконного получения и использования.
3.3.1.2. Психологические факторы творческой деятельности
На творческие способности влияют наследственность, окружающая естественная и социальная среда, научно-техническая подготовка, степень развития воображения, способность мыслить образно и другие факторы. При этом образность мышления сильно развивают практический опыт и искусства: в первую очередь — пластические: живопись, графика, скульптура.
Однако в творческом процессе важны не только способности, но и знание факторов, которые могут помешать успешному достижению цели. Г.Я. Буш выделяет ряд неэффективных стратегий решения задач проектирования и синдромов, порождающих барьеры творчеству.
Неэффективные стратегии применительно к человеку с европейским складом характера:
-
стратегия осла Буридана — предпочтение существующего положения всяким изменениям;
-
стратегия Одиссея — ожидание случайного осенения творческой идеей;
-
стратегия Обломова — равнодушие к общественно значимым целям;
-
стратегия Антисфена — не изменять внешний мир, а внутренне приспосабливаться к нему.
Синдромы (сочетание признаков с общим механизмом возникновения), порождающие препятствия проявлению или развитию творчества:
-
ситуативные барьеры — географические, ведомственные, режимные, бюрократические, получения и понимания информации, разобщения творческого коллектива в пространстве, вредного воздействия внешней и социальной среды, ситуационный антагонизм в творческом коллективе:
-
контрсуггестативные барьеры — предубеждения, неверие в свои силы, недоверие к коллегам, эгоцентризм, нигилизм, замкнутый образ жизни, отсутствие юмора, апатия;
-
тезаурусные барьеры — низкий уровень интеллектуального развития, отсутствие навыков общественной и творческой деятельности, неясное осознание собственных целей, отсутствие личного фонда собственных эвристических методов;
-
барьеры коммуникабельности — неумение планировать и организовывать коллективное воздействие, творческое взаимодействие и дружеское соревнование, отсутствие контактов с информационными и патентными службами, неиспользование возможностей обмена опытом и консультаций специалистов.
Барьеры не всегда легко преодолимы, но обычно имеется возможность уменьшить накладываемые ими ограничения.
Успех также зависит и от личных качеств инженера. Наиболее важны следующие черты характера:
-
уверенность в необходимости и возможности решения задачи;
-
свобода от предрассудков;
-
способность принимать решения и нести за них ответственность.
В настоящее время разработано и эффективно используется несколько десятков эвристических методов. Универсальных среди них нет, и в каждой конкретной ситуации следует пробовать применить ряд методов — основное их предназначение заключается в активизации творческой деятельности. Это достигается следующими мерами:
-
преодоление психологической инерции, обусловленной привычными образом мышления и типовыми методами решения задач определенного класса. Замечено, что около 80% нововведений вначале специалистами отрицается как нереальные. Инерцию развивают и усиливают:
- рецептурное обучение и проектирование по аналогии;
- подсознательная вера в то, что каждая вещь и явление служат строго определенной цели;
- устоявшаяся терминология. Ф. Энгельс писал: «В науке каждая новая точка зрения влечет за собою революцию в технических терминах»;
-
мобилизация подсознания. Человек осознает только те процессы, которые протекают в коре головного мозга, содержащей около 10% нервных клеток. Остальная часть клеток относится к подсознанию. Но обе эти части мозга связаны между собой, что и можно использовать как резерв человеческих возможностей. Однако следует быть осторожным, так как замечено, что длительное активно-принудительное задействование подсознания приводит к психическим отклонениям;
-
расширение перспектив видения, чему препятствует чрезмерная специализация образования и узкопрактический подход. Необходимо применение разнообразных методов, расширение области поиска новых идей и увеличение их количества.
Человеческая мысль не стоит на месте — эвристические методы все дальше совершенствуются и развиваются: от общих рекомендаций — к последовательности действий, далее к алгоритмизованным методам и, наконец, к созданию искусственного интеллекта.
Приведем краткое описание и характеристику основных методов, знание которых минимально необходимо как в собственной деятельности, так и для понимания принципов работы интеллектуальных систем.
3.3.1.3. Метод итераций (последовательного приближения)
Процесс проектирования ведется в условиях информационного дефицита, который проявляется в следующем:
-
невозможность заранее точно указать условия работы проектируемого объекта, не зная его конкретного вида и устройства (исходные данные зависят от вида конечного решения);
-
выявление в процессе проектирования противоречивых исходных данных, т.е. невозможность достижения технического решения при первоначально предложенных данных, оказавшихся взаимоисключающими;
-
появление в процессе проектирования необходимости учета дополнительных условий и ограничений, которые ранее считались несущественными;
-
перераспределение по степени важности показателей качества, так как может выясниться, что показатель, ранее считавшийся второстепенным, очень важен (и наоборот).
Такая неопределенность устраняется посредством выполнения итерационных процедур. Первоначально задача решается при предположительных значениях исходных данных и ограниченном числе учитываемых факторов (первый цикл итераций, так называемое «первое приближение»). Далее возвращаемся в начало задачи и повторяем ее решение, но уже с уточненными значениями исходных данных и перечнем факторов, найденными на предыдущем этапе (второй цикл итераций, «второе приближение»). И т.д. Число циклов итераций зависит от степени неопределенности начальной постановки задачи, ее сложности, опыта и квалификации проектировщика, требуемой точности решения. В процессе приближений возможно не только уточнение, но и отказ от первоначальных предположений.
Если хотят подчеркнуть, что первоначальное решение задачи выполнялось в условиях полной или большой неопределенности, первый цикл итераций называют «нулевым приближением».
Не надо бояться итераций в своей работе, поскольку еще ни один технический объект (а также законопроект, книга и т.д.) не был создан с первого раза. С другой стороны, желательно не увлекаться итерациями при выполнении дорогих или продолжительных проектных работ.
В частном случае, когда нет никаких предположений по решению задачи, метод последовательных приближений можно сформулировать в виде совета:
- если не известно, что и как делать (нет идей, данных, определенности и т.п.), возьмите в качестве исходного решения любое известное (идею, схему, данные,...) или предположите какое-нибудь (но желательно разумное) решение задачи. Проанализировав выбранное решение на соответствие условиям задачи, станет видно, что вас в нем не устраивает и в каком направлении его надо улучшать.
3.3.1.4. Метод декомпозиции
Любой объект-систему можно рассматривать как сложный, состоящий из отдельных взаимосвязанных подсистем, которые, в свою очередь, также могут быть расчленены на части. Такой процесс расчленения системы называется декомпозицией. В качестве систем могут выступать не только материальные объекты, но и процессы, явления и понятия. Декомпозиция позволяет разложить сложную задачу на ряд простых, пусть и взаимосвязанных задач.
При декомпозиции руководствуются определенными правилами.
1. Каждое расчленение образует свой уровень. Исходная система располагается на нулевом уровне. После ее расчленения получаются подсистемы первого уровня. Расчленение этих подсистем или некоторых из них, приводит к появлению подсистем второго уровня и т.д.
Упрощенное графическое представление декомпозированной системы называется ее иерархической структурой.
Иерархическая структура может быть изображена в виде ветвящейся блок-схемы, на подобие представленной на рис.4. Здесь на нулевом уровне располагается исходный объект-система С1, на следующих уровнях — его подсистемы (число уровней и количество подсистем, показанных на рисунке, выбрано произвольно). С целью получения более полного представления о системе и ее связях в структуру включают надсистему и составляющие ее части (системы нулевого уровня, например, вторая система С 2).
Рис.4. Пример иерархической структуры (блок схема)
Для анализа иерархической структуры могут применять теорию графов. Это позволяет перейти от графической модели к математической, в которой описание ведется по уравнениям, аналогичным законам Кирхгофа в электротехнике или уравнениям гидравлики.
Граф — это совокупность вершин и ребер (ветвей). Вершины — элементы структур, а ребра — связи между ними, изображаемые линиями. Если ребрам поставить в соответствие некоторые структурные параметры (веса'), то такой граф называется взвешенным. Граф называется направленным, если для его ребер указаны определенные направления.
Рис.5. Граф структуры системы (И-дерево)
Граф, представленный на рис.5, соответствует И-дереву: вершины, которые расположены на одинаковых уровнях, являются обязательными элементами вышерасположенных систем (так, для вершины 0.1 обязательные элементы — 1.1, 1.2, а для вершины 2.2 — 3.1, 3.2 и 3.3. Например, автомобиль состоит из двигателя, И кузова, И шасси).
Наряду с И-деревом используют ИЛИ-дерево, в котором на одинаковых уровнях располагаются вершины возможных элементов структур, их варианты. Например, автомобиль может иметь двигатель ИЛИ внутреннего сгорания, ИЛИ газотурбинный, ИЛИ электрический.
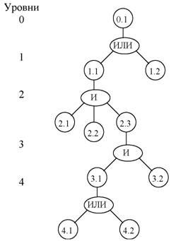
Часто применяют И-ИЛИ-дерево, которое соединяет уровни с обязательными элементами структуры с уровнями вариантов всех или части этих элементов (рис.6). Сочетание И и ИЛИ уровней может быть произвольным и не обязательно они должны чередоваться.
Рис.6. Пример И-ИЛИ-дерева
Иерархическая структура объектов-систем часто изображается в виде дерева, т.е. графа без замкнутых маршрутов, с расположением вершин по определенным уровням, например, как показано на рис.5. Вершина верхнего уровня (на рисунке — 0) называется корнем.
2. Объект-система расчленяется только по одному, постоянному для всех уровней, признаку. В качестве такого признака может быть:
-
функциональное назначение частей,
-
конструктивное устройство (вид материалов, формы поверхностей и др.),
-
структурные признаки (вид схемы, способы и др.).
Так, в приведенном выше примере выделение в составе автомобиля мотора, шасси и кузова проводилось в соответствии с функциональным признаком. При построении И-ИЛИ деревьев возможно сочетание нескольких признаков: одного — постоянного для И структуры, и одного или различных на каждом уровне — для ИЛИ структуры.
3. Вычленяемые подсистемы в сумме должны полностью характеризовать систему, но при этом взаимно исключать друг друга (особенно это касается ИЛИ-деревьев).
















