2001 Сысолятин (3абв,7абв) (1027695), страница 2
Текст из файла (страница 2)
2.3. Невосстанавливаемая резервированная система с дробной кратностью с ненагруженным резервом
2.3.1. Расчетно-логическая схема системы.
1 2 3 W=4
1
S=2
Считается, что для работы системы достаточно наличие четырех работающих элементов.
2.3.2. Граф состояний системы.
0 1 2 3
2.3.3. Расчет основных характеристик системы.
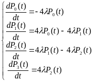
Система дифференциальных уравнений, соответствующая графу состояний системы, имеет вид:
Нормировочное условие:
(*)
Начальные условия для системы дифференциальных уравнений:
P0(0)=1
P1(0)=0
P2(0)=0
P3(0)=0
При расчете методом дифференциальных уравнений, после применения прямого преобразования Лапласа при начальных условиях система принимает вид:
Из этой системы:
После применения обратного преобразования Лапласа:
Функцию вероятности безотказной работы системы, в силу наличия одного состояния отказа и нормировочного условия (*), можно записать следующим образом:
Pсист = P0(t)+P1(t)+P2(t) = 1-P3(t)
Для заданных значений t = 120 ч и
= 0.001 1/ч
Pсист = 0.987
Зависимость вероятности безотказной работы от времени:
Зависимость вероятности безотказной работы от интенсивности отказов:
Среднее время безотказной работы:
Для заданного значения
= 0.001 1/ч mt(
=0.001) = 750 ч.
Зависимость среднего времени безотказной работы от интенсивности отказов:
2.3.4. Выводы.
Из полученных графиков следует, что с увеличением времени работы системы уменьшается вероятность ее безотказной работы.
С увеличением интенсивности отказов уменьшается вероятность безотказной работы системы.
При заданных значениях t = 120 ч. и
= 0.001 1/ч вероятность безотказной работы системы Pсист = 0.987.
С увеличением интенсивности отказов уменьшается среднее время безотказной работы. Полученная зависимость является гиперболической. Для заданного значения интенсивности отказов
= 0.001 1/ч среднее время безотказной работы mt составляет 750 ч., что превышает заданное t=120. Следовательно, с вероятностью P=0.987 к заданному времени система будет находиться в работоспособном состоянии.
2.4. Сравнение характеристик невосстанавливаемых резервированных систем с дробной кратностью и различными типами резервов, рассмотренных в п. 2.1.- п.2.3.
Следует отметить, что система, рассмотренная в п. 2.3. является частным случаем системы, рассмотренной в п.2.2 при
0 =0, аналогично система, рассмотренная в п. 2.1. - частный случай системы п. 2.2. при
0 =
.
Сопоставление систем удобно провести с помощью сравнительного графика зависимостей вероятностей безотказной работы от времени:
На этом графике:
Px - вероятность безотказной работы для системы с холодным (ненагруженным) резервом.
Рт - вероятность безотказной работы для системы с теплым (частично нагруженным) резервом.
Рг - вероятность безотказной работы для системы с горячим (нагруженным) резервом.
Характеристики надежности для заданных значений t = 120 ч,
= 0.001 1/ч,
0 =0.0005 1/ч.:
| Система с горячим резервом | Система с теплым резервом | Система с холодным резервом | |
| Вероятность безотказной работы системы | 0.978 | 0.983 | 0.987 |
| Среднее время безотказной работы системы (ч) | 616.667 | 672.222 | 750 |
Лучшими показателями надежности из рассмотренных невосстанавливаемых систем с дробной кратностью и различными типами резерва обладает резервированная система с дробной кратностью с холодным резервом. Наихудшими характеристиками надежности обладает система с горячим резервом, однако в реальных условиях для такой системы меньшее время занимает переключение с отказавшего элемента на резервный, что при расчетах не учитывалось.
3. ВОССТАНАВЛИВАЕМАЯ РЕЗЕРВИРОВАННАЯ СИСТЕМА С ДРОБНОЙ КРАТНОСТЬЮ ПРИ НЕОГРАНИЧЕННОМ РЕМОНТЕ
3.1. Восстанавливаемая резервированная система с дробной кратностью при неограниченном ремонте с горячим резервом
3.1.1. Расчетно-логическая схема системы.
1 2 3 W=4
1
S=2
Считается, что для работы системы достаточно наличие четырех работающих элементов.
3.1.2. Граф состояний системы.
0 1 2 3
2
3
Рабочими для системы являются состояния с 0 по 2, состоянием отказа системы является состояние 3.
3.1.3. Расчет основных характеристик системы.
Для нахождения вероятности безотказной работы системы и среднего времени безотказной работы системы необходимо запретить переходы из отказового состояния, то есть рассматривать состояние 3 как поглощающее. В этом случае получаемая система дифференциальных уравнений, соответствующая графу состояний системы, имеет вид:
Нормировочное условие:
Начальные условия для системы дифференциальных уравнений:
P0(0)=1
P1(0)=0
P2(0)=0
P3(0)=0
При расчете методом дифференциальных уравнений, после применения прямого преобразования Лапласа при начальных условиях система принимает вид:
Или, что то же самое:
Отсюда:
После применения обратного преобразования Лапласа и подстановки значений
= 0.0001 1/ч и
= 0.0001 1/ч:
Функцию вероятности безотказной работы системы, в силу наличия одного состояния отказа и нормировочного условия, можно записать следующим образом:
Pсист = P0(t) + P1(t) + P2(t)= 1-P3(t)
Для
= 0.0001 1/ч и
= 0.0001 1/ч:
Для заданных значений t = 7200 ч,
= 0.0001 1/ч и
= 0.0001 1/ч:
Pсист = 0.427895
Зависимость вероятности безотказной работы от времени:
Зависимость вероятности безотказной работы от интенсивности отказов:
Psist1 - вероятность безотказной работы при
= 0.00005 1/ч
Psist2 - вероятность безотказной работы при
= 0.0001 1/ч
Psist3 - вероятность безотказной работы при
= 0.0005 1/ч
Зависимость вероятности безотказной работы от интенсивности восстановления:
Psist1 - вероятность безотказной работы при
= 0.00005 1/ч
Psist2 - вероятность безотказной работы при
= 0.0001 1/ч
Psist3 - вероятность безотказной работы при
= 0.0005 1/ч
Среднее время безотказной работы:
mt(
) =
Для заданных значений
= 0.0001 1/ч и
= 0.0001 1/ч:
mt =
=
mt = 7666.67
С увеличением интенсивности отказов среднее время безотказной работы уменьшается (
= 0.0001 1/ч):
| | mt |
| 0.00005 | 19000 |
| 0.0001 | 7666.67 |
| 0.0005 | 1288 |
С увеличением интенсивности восстановления среднее время безотказной работы увеличивается (
= 0.0001 1/ч):
| | mt |
| 0.00005 | 6875 |
| 0.0001 | 7666.67 |
| 0.0005 | 17000 |
Нахождение коэффициента готовности системы можно осуществить двумя способами - путем составления дифференциальных уравнений на основании графа состояния системы и методом Половко (см. [3]).
Нахождение Кг методом дифференциальных уравнений:
Для графа состояний рассматриваемой системы (см. п. 3.1.2.) система дифференциальных уравнений имеет вид:
Нормировочное условие:
Начальные условия для системы дифференциальных уравнений:
P0(0)=1
P1(0)=0
P2(0)=0
P3(0)=0
Если предположить, что потоки стационарны, то есть
= 0,
,
=const, то можно получить следующую систему:
Тогда, исключая, например, третью строку как линейно зависимую от двух первых и четвертой, можно получить следующее уравнение:
Для заданных значений
= 0.0001 1/ч и
= 0.0001 1/ч вероятности нахождения системы в каждом из состояний принимают следующие значения:
P0 = Кг0 = 0.02381
P1 = Кг1 = 0.142857
P2 = Кг2 = 0.357143
P3 = Кг3 = 0.47619
Кг = P0 + P1 + P1 = 1-P3 = 0.52381
Нахождение Кг методом Половко:
P0(
,
) =
= 0.02381
P1(
,
) =
= 0.142857
P2(
,
) =
= 0.357143
P3(
,
) =
= 0.47619
Кг = P0 + P1 + P1 = 1-P3 =
=0.52381
Значения Кг, полученный методом Половко, совпадает с предыдущим расчетным, что подтверждает правильность его нахождения.
Зависимость коэффициента готовности системы от интенсивности отказов:
Зависимость коэффициента готовности системы от интенсивности восстановления:
Наработка на отказ:
=
=
Для заданных значений: Кг(
,
) = 0.52381,
= 0.0001 1/ч
= 11000 ч.
Зависимость времени наработки на отказ от интенсивности отказов:
Зависимость времени наработки на отказ от интенсивности восстановления:
Среднее время восстановления системы:
=
, для
= 0.0001 1/ч
= 3333.33 ч.
Зависимость среднего времени восстановления системы от интенсивности восстановления:














