1998 Давыдова (2,7) (1027691)
Текст из файла
60
Московский Государственный Технический Университет
им. Н. Э. Баумана
Курсовая работа
по курсу
«Модели оценки качества »
на тему
«Исследование методов резервирования систем»
Преподаватель: Кузовлев В.И.
Исполнитель : студентка группы ИУ5-101
Давыдова Н.В.
Москва , 1998
Содержание.
1. Задание.
2. Невосстанавливаемые резервируемые системы с целой кратностью.
a) С нагруженным резервом
b) с частично нагруженным резервом
c) с ненагруженным резервом.
3. Невосстанавливаемая нерезервируемая система
4. Невосстанавливаемая резервируемая система с дробной кратностью
5. Восстанавливаемые резервируемые системы с дробной кратностью при неограниченном ремонте.
a) с частично нагруженным резервом
b) с нагруженным резервом
c) с ненагруженным резервом
6. Восстанавливаемая нерезервируемая система
7. Сравнение резервированных и нерезервированных систем.
a) невосстанавливаемые системы.
b) восстанавливаемые системы.
8. Сравнение различных типов резерва.
a) невосстанавливаемые системы
b) восстанавливаемые системы
9. Сравнение систем с целой и дробной кратностью.
10. Сравнение восстанавливаемых и невосстанавливаемых систем.
1Задание.
Для заданных расчетно-логических схем :
-
Получить методами интегральных, дифференциальных уравнений и методом графов(не менее, чем двумя методами) для указанных в задании типов систем общие соотношения и расчетные формулы для критериев надежности систем: вероятности безотказной работы P(t), среднего времени безотказной работы Mt, коэффициент готовности Kg, наработки на отказ mt, среднего времени восстановления mtv, вероятности успешного использования системы R(t)= Kg* P(t).
-
Рассчитать для указанных в задании параметров по полученным в п.1 выражениям критерии надежности систем.
-
Исследовать влияние на надежность систем:
-
Интенсивности отказов l: P(l), mt(l), Kg(l), mtv(l), R(l);
-
Интенсивности отказов при облегченном режиме работы системы l0: P(l0), mt(l0), Kg(l0), mtv(l0), R(l0);
-
интенсивности восстановления m: P(m), mt(m), Kg(m),mtv(m), R(m);
-
Провести сравнения:
-
резервированной и нерезервированной системы
-
различных типов резерва (г, т, х)
-
целой и дробной кратности(ц, д)
-
восстанавливаемой и невосстанавливаемой систем
Типы систем:
-
Невосстанавливаемая резервируемая система с целой кратностью.
-
С нагруженным резервом
-
с частично нагруженным резервом
-
с ненагруженным резервом.
-
Невосстанавливаемая нерезервируемая система
Невосстанавливаемая резервируемая система с дробной кратностью
Восстанавливаемые резервируемые системы с дробной кратностью при неограниченном ремонте.
-
с частично нагруженным резервом
-
с нагруженным резервом
-
с ненагруженным резервом
Восстанавливаемая нерезервируемая система
Параметры
| t[ч] | l[1/ч] | m[1/ч] | l0 | w | s |
| 4 | 20 | 0.001 | 10 | 5 | 4 |
2 Невосстанавливаемые резервируемые системы с целой кратностью.
a)С нагруженным резервом
Расчетно-логическая схема:
В качестве состояния системы выберем количество неисправных элементов. Граф состояний системы имеет вид:
Состояния 0¸3 – рабочие;
Состояния 4 – отказовое.
Для определения вероятности безотказной работы составим систему дифференциальных уравнений, соответствующих состояниям системы:
Дополнительное условие:
В начальный момент времени все элементы системы находятся в работоспособном состоянии:
Для решения системы дифференциальных уравнений воспользуемся прямым и обратным преобразованием Лапласа.
Прямое преобразование:
Обратное преобразование:
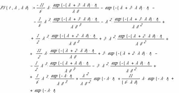
Вероятность безотказной работы системы:
Среднее время безотказной работы системы:
Таблица рассчитанных значений вероятности безотказной работы и среднего времени безотказной работы.
| Параметр надежности | Значение при l=20, t=4 |
| Вероятность безотказной работы системы |
|
| Среднее время безотказной работы |
|
График зависимости вероятности безотказной работы от времени для разных значений интенсивностей отказов l.
График зависимости среднего времени безотказной работы от интенсивности отказов.
Выводы:
-
Вероятность безотказной работы системы изменяется по экспоненциальному закону с течением времени.
-
При увеличении интенсивности отказов вероятность безотказной работы системы за один и тот же промежуток времени уменьшается.
-
При увеличении интенсивности отказов среднее время безотказной работы уменьшается.
b)с частично нагруженным резервом
Расчетно-логическая схема:
В качестве состояния системы выберем количество неисправных элементов. Граф состояний системы имеет вид:
Состояния 0¸3 – рабочие;
Состояние 4 – отказовое.
Для определения вероятности безотказной работы составим систему дифференциальных уравнений, соответствующих состояниям системы:
Дополнительное условие:
=
Начальные условия:
Для решения системы дифференциальных уравнений воспользуемся прямым и обратным преобразованием Лапласа.
Прямое преобразование:
Обратное преобразование:
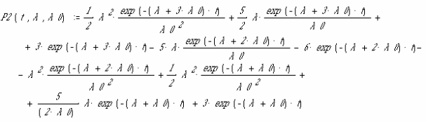
Вероятность безотказной работы системы:
Среднее время безотказной работы системы:
Таблица рассчитанных значений вероятности безотказной работы и среднего времени безотказной работы.
| Параметр надежности | Значение при l=20, t=4, l0=10 |
| Вероятность безотказной работы системы |
|
| Среднее время безотказной работы |
|
График зависимости вероятности безотказной работы от времени для разных значений интенсивностей отказов l0.
График зависимости вероятности безотказной работы от времени для разных значений интенсивностей отказов l.
График зависимости среднего времени безотказной работы от интенсивности отказов l0.
График зависимости среднего времени безотказной работы от интенсивности отказов l
Выводы:
-
Вероятность безотказной работы системы изменяется по экспоненциальному закону с течением времени.
-
При увеличении интенсивности отказов l вероятность безотказной работы системы за один и тот же промежуток времени уменьшается.
-
При увеличении интенсивности отказов l0 вероятность безотказной работы системы за один и тот же промежуток времени уменьшается.
-
При увеличении интенсивности отказовl среднее время безотказной работы уменьшается
-
При увеличении интенсивности отказовl0 среднее время безотказной работы уменьшается.
c)с ненагруженным резервом.
Расчетно-логическая схема:
В качестве состояния системы выберем количество неисправных элементов. Граф состояний системы имеет вид:
Состояния 0¸3 – рабочие;
Состояния 4 – отказовое.
Для определения вероятности безотказной работы составим систему дифференциальных уравнений, соответствующих состояниям системы:
Дополнительное условие:
В начальный момент времени все элементы системы находятся в работоспособном состоянии:
Для решения системы дифференциальных уравнений воспользуемся прямым и обратным преобразованием Лапласа.
Прямое преобразование:
Обратное преобразование:
Вероятность безотказной работы системы:
Среднее время безотказной работы системы:
Таблица рассчитанных значений вероятности безотказной работы и среднего времени безотказной работы.
| Параметр надежности | Значение при l=20, t=4 |
| Вероятность безотказной работы системы |
|
| Среднее время безотказной работы |
|
График зависимости вероятности безотказной работы от времени для разных значений интенсивностей отказов l=2, 20, 50.
График зависимости среднего времени безотказной работы от интенсивности отказов.
Выводы:
-
Вероятность безотказной работы системы изменяется по экспоненциальному закону с течением времени.
-
При увеличении интенсивности отказов вероятность безотказной работы системы за один и тот же промежуток времени уменьшается.
-
При увеличении интенсивности отказов среднее время безотказной работы уменьшается.
3Невосстанавливаемая нерезервируемая система
Расчетно-логическая схема:
В качестве состояния системы выберем количество неисправных элементов. Граф состояний системы имеет вид:
Состояние 0– рабочее;
Состояние 1 – отказовое.
Для определения вероятности безотказной работы составим систему дифференциальных уравнений, соответствующих состояниям системы:
Дополнительное условие:
В начальный момент времени все элементы системы находятся в работоспособном состоянии:
Характеристики
Тип файла документ
Документы такого типа открываются такими программами, как Microsoft Office Word на компьютерах Windows, Apple Pages на компьютерах Mac, Open Office - бесплатная альтернатива на различных платформах, в том числе Linux. Наиболее простым и современным решением будут Google документы, так как открываются онлайн без скачивания прямо в браузере на любой платформе. Существуют российские качественные аналоги, например от Яндекса.
Будьте внимательны на мобильных устройствах, так как там используются упрощённый функционал даже в официальном приложении от Microsoft, поэтому для просмотра скачивайте PDF-версию. А если нужно редактировать файл, то используйте оригинальный файл.
Файлы такого типа обычно разбиты на страницы, а текст может быть форматированным (жирный, курсив, выбор шрифта, таблицы и т.п.), а также в него можно добавлять изображения. Формат идеально подходит для рефератов, докладов и РПЗ курсовых проектов, которые необходимо распечатать. Кстати перед печатью также сохраняйте файл в PDF, так как принтер может начудить со шрифтами.















