Описания лабораторных работ №2,4,6 (1021891)
Текст из файла
ЛАБОРАТОРНАЯ РАБОТА №2.
ИССЛЕДОВАНИЕ ЛИНЕЙНОЙ ОДНОФАЗНОЙ ЦЕПИ СИНУСОИДАЛЬНОГО ТОКА ПРИ ПОСЛЕДОВАТЕЛЬНОМ И ПАРАЛЛЕЛЬНОМ СОЕДИНЕНИИ ИНДУКТИВНОЙ КАТУШКИ И КОНДЕНСАТОРА
Цель работы: Исследование явлений резонанса напряжений и резонанса токов.
2.1Краткие Теоретические сведения
2.1.1Последовательное соединение
1. При последовательном соединении катушки и конденсатора ток в цепи:
Возможны случаи:
XL>Xc – цепь имеет индуктивный характер нагрузки;
XL<Xc – цепь имеет емкостной характер нагрузки;
XL=Xc – цепь имеет активный характер нагрузки.
Условием наступления резонанса напряжений является равенство индуктивного и емкостного сопротивлений (Xl=Xc).
В случае резонанса напряжений цепь имеет полное сопротивление, равное активному и, следовательно, значение тока максимально и совпадает по фазе с приложенным напряжением X=Xl–Xc=0.
Коэффициент мощности равен единице и активная мощность равна полной мощности.
Реактивные составляющие напряжения равны между собой, но противоположны по фазе и могут превысить напряжение источника во столько раз, во сколько реактивное сопротивление больше активного:
Добротность резонансного контура:
.
Резонанс напряжений может быть получен изменением угловой частоты переменного тока ω, индуктивности L или емкости C. В данной работе резонанс достигается изменением емкости С.
2.1.2Параллельное соединение
При параллельном соединении катушки и конденсатора ток в неразветвленной части цепи I=YU, где U – действующее значение приложенного напряжения, Y – полная проводимость цепи:
Здесь:
– активная проводимость катушки;
– реактивная проводимость катушки
– реактивная проводимость конденсатора.
Условием резонанса токов в цепи является равенство реактивных проводимостей ветвей: BL=BC.
При резонансе токов проводимость цепи минимальна и носит чисто активный характер, поскольку
Ток в неразветвленной части цепи принимает минимальное значение и совпадает с входным напряжением по фазе:
При резонансе реактивные составляющие токов ветвей 1l и 1c равны по величине и противоположны по фазе:
Полная мощность, потребляемая цепью от источника при резонансе, равна активной.
2.2Порядок выполнения работы
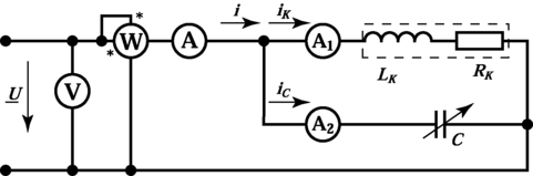
2.2.1Опыт 1. Исследование резонанса напряжений.
Рис. 2.1 Электрическая схема Опыта 1
-
Собрать схему согласно Рис. 2 .1 и предъявить ее для проверки.
-
Установить с помощью ЛАТРа входное напряжение 30В. Изменяя емкость от 20 до 54 мкФ снять показания приборов в пяти точках, по два до и после резонанса и при резонансе. Показания приборов записать в Таблица 2 .1.
-
Вычислить и записать указанные в таблице величины пользуясь формулами:
Rk и XL вычислить по данным для режима резонанса (следует помнить, что параметры катушки в опытах не изменяются).
Таблица 2.1
| № пп. | С, | Измерено | Вычислено | |||||||
| U, В | I, А | P, Вт | UK, В | UC, В | Z, Ом | XC, Ом | cos | | ||
| 1. | ||||||||||
| 2. | ||||||||||
| 3. | ||||||||||
| 4. | ||||||||||
| 5. | ||||||||||
-
По результатам измерений для режима, близкого к резонансному, рассчитать параметры ветви с катушкой, используя следующие формулы:
Результаты вычислений занести в Таблица 2 .2
Таблица 2.2
| ZK, Ом | RK, Ом | XK, Ом | LK, Гн | cos K | K |
-
По измеренным величинам построить в масштабе векторные диаграммы для трех режимов: до резонанса, при резонансе, после резонанса.
-
По данным таблицам построить графики зависимости I, U1, U2, cos φ от С.
Опыт 1. Исследование резонанса токов
Рис. 2.2 Электрическая схема Опыта 2
-
Собрать схему согласно Рис. 2 .2 и предъявить ее для проверки.
-
Установить с помощью ЛАТРа входное напряжение 100В, изменяя емкость от 20 до 54 мкФ снять показания приборов в пяти точках, по две до и после резонанса и при резонансе. Показания приборов записать в Таблица 2 .3.
-
Вычислить и записать указанные в таблице величины пользуясь формулами:
Rk и XL вычислить по данным для режима резонанса (следует помнить, что параметры катушки в опытах не изменяются).
Таблица 2.3
| № пп. | С, | Измерено | Вычислено | |||||||
| U, В | I, А | P, Вт | IK, А | IC, А | Y, См | ВС, См | cos | | ||
| 1. | ||||||||||
| 2. | ||||||||||
| 3. | ||||||||||
| 4. | ||||||||||
| 5. | ||||||||||
-
По результатам измерений для режима, близкого к резонансному, рассчитать параметры ветви с катушкой, используя следующие формулы:
Результаты вычислений занести в Таблица 2 .4
Таблица 2.4
| YK, См | GK, См | BK, См | RK, Ом | cos K | K |
-
По измеренным величинам построить в масштабе векторные диаграммы для трех режимов: до резонанса, при резонансе, после резонанса.
-
по данным таблицам построить графики зависимости I, Iк, Ic, cos от C.
ЛАБОРАТОРНАЯ РАБОТА №3.
СВОЙСТВА МАГНИТНЫХ ЦЕПЕЙ ЭЛЕКТРОТЕХНИЧЕСКИХ УСТРОЙСТВ
Цель работы: - ознакомление с работой двухлучевого осциллографа и его применением в лабораторных работах
- изучение основных характеристик ферромагнитных материалов;
- ознакомление с вольтамперными характеристиками электромагнитного реле.
3.1 Описание функционального лабораторного блока
Блок электромагнитных устройств находится на универсальном стенде и предназначен для выполнения данной лабораторной работы. На лицевой панели блока изображена схема и контактные клеммы для подключения питания, измерительных инструментов и осциллографа
Функциональный блок содержит катушку индуктивности с ферромагнитным сердечником и электромагнитное реле. Катушка (Рис.1) содержит две обмотки: рабочую обмотку (число витков N1) и измерительную обмотку (число витков N2). В цепь обмотки питания включено небольшое сопротивление r для измерения тока i в обмотке. В цепь измерительной катушки включена интегрирующая цепочка RC для измерения магнитного потока Ф.
В качестве вспомогательного устройства используется лабораторный автотрансформатор (ЛАТР) для регулирования переменного напряжения питания. Для питания блока используются устройства лабораторного стенда. Для измерения магнитных характеристик применяется двухлучевой осциллограф С1-67, для снятия вольтамперной характеристики электромагнитного реле амперметр и вольтметр.
3.2Краткие теоретические сведения
Наиболее важные свойства ферромагнитных материалов описываются зависимостью В=f(Н), которая имеет вид петли гистерезиса (Рис.2). Здесь магнитная индукция В связана с магнитным потоком Ф соотношением (1)
где S – площадь сечения ферромагнитного сердечника.
Магнитный поток Ф в свою очередь связан с ЭДС самоиндукции е, наводимой в какой-либо обмотке катушки индуктивности соотношением (2), которое представляет закон электромагнитной индукции
где N – число витков обмотки.
Согласно II закону Кирхгофа, если пренебречь активным сопротивлением проводов обмотки, ЭДС е и напряжение u приложенное к этой обмотке связаны соотношением (3)
С другой стороны напряженность магнитного поля Н, согласно закону полного тока связана с током протекающим по обмотке
где l – средняя длина сердечника f(i).
Из соотношений (1) и (4) следует, что зависимость Ф=f(i) в соответствующем масштабе повторяет зависимость В=f(Н). Это позволяет получить изображение петли гистерезиса на экране осциллографа. Электрическая схема для реализации этой идеи представлена на рисунке 1. Сопротивление r позволяет подавать на вход Х осциллографа напряжение, пропорциональное току i в рабочей обмотке. Измерительная обмотка позволяет определить магнитный поток Ф. Она рассчитана так, что ее магнитодвижущая сила, много меньше, чем рабочей обмотки и поэтому она не влияет на работу устройства. Для этой обмотки выполняются соотношения (2) и (3) и поэтому напряжение на ней пропорционально производной от магнитного потока dФ/dt. С помощью цепи RC производится интегрирование и на вход Y осциллографа поступает напряжение пропорциональное магнитному потоку Ф. При этом на экране осциллографа возникает изображение петли гистерезиса Ф=f(i) или, что тоже самое В=f(Н).
Если на рабочую обмотку подавать синусоидальное напряжение u=f(t), то магнитный поток Ф тоже будет синусоидальным. Однако, т.к. зависимости В=f(Н) и Ф=f(i) нелинейны, то и функция тока i=f(t), будет несинусоидальной. Форму кривой тока можно получить на экране осциллографа, если подать напряжение с сопротивления r вход Y. Можно также построить эту кривую графически, используя зависимость Ф=f(i), как это показано на рисунке 3.
На практике несинусоидальный ток i=f(t) заменяют эквивалентным синусоидальным, который опережает магнитный поток на угол магнитных потерь . Данный угол можно определить, как с помощью осциллографа, так и графически (Рис.3).
Для расчета катушек с ферромагнитным сердечником часто используются последовательные и параллельные схемы замещения (Рис.4). При этом угол магнитных потерь определяет, как активные, так и реактивные элементы схем:
Характеристики
Тип файла документ
Документы такого типа открываются такими программами, как Microsoft Office Word на компьютерах Windows, Apple Pages на компьютерах Mac, Open Office - бесплатная альтернатива на различных платформах, в том числе Linux. Наиболее простым и современным решением будут Google документы, так как открываются онлайн без скачивания прямо в браузере на любой платформе. Существуют российские качественные аналоги, например от Яндекса.
Будьте внимательны на мобильных устройствах, так как там используются упрощённый функционал даже в официальном приложении от Microsoft, поэтому для просмотра скачивайте PDF-версию. А если нужно редактировать файл, то используйте оригинальный файл.
Файлы такого типа обычно разбиты на страницы, а текст может быть форматированным (жирный, курсив, выбор шрифта, таблицы и т.п.), а также в него можно добавлять изображения. Формат идеально подходит для рефератов, докладов и РПЗ курсовых проектов, которые необходимо распечатать. Кстати перед печатью также сохраняйте файл в PDF, так как принтер может начудить со шрифтами.
















