колоквиум фиэика 2 (1018264)
Текст из файла
Иродов 2.51
Иродов 2.7
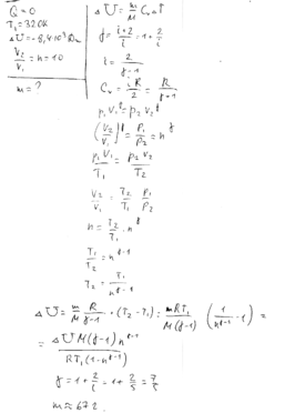
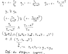
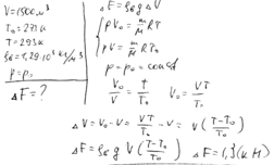
В вертикальном закрытом с обоих торцов цилиндре находится массивный поршень, по обе стороны которого – по одному молю воздуха. При Т=300К отношение…..
Иродов 2.9
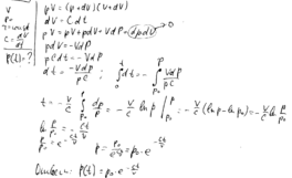
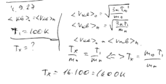
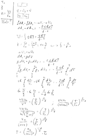
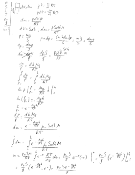
Найти давление воздуха в откачиваемом соседу как функцию времени откачки t…
Иродов 2.12
Иродов 2.13
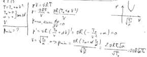
Определить наименьшее возможное давление идеального газа в процессе, происходящем по закону Т=Т(0)+aV^2…..
Иродов 2.123
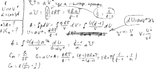
В каком случае КПД цикла Карно повысится больше: при увеличении температуры на гревателя….
Иродов 2.32
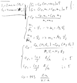
Вычислить gamma для газовой смеси, состоящей из 2 молей кислорода и 3 молей углекислого газа.
Иродов 2.55
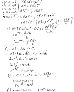
Найти уравнение процесса (в переменных T,V), при котором молярная теплоёмкость идеального газа изменяется по закону….
Иродов 2.50
Идеальный газ с показателем адиабаты gamma совершает процесс, при котором его внутренняя энергия U~V^a…
Иродов 2.18
Идеальный газ с молярной массой М находится в высоком вертикальном цилиндрическом сосуде, площадь основания которого S и высота h….
Иродов 2.40
Внутри закрытого теплоизолированного цилиндра с идеальным газом находится легкоподвижный теплопроводящий поршень. При равновесии….
Чертов 8.22
Полый шар вместимостью V, заполненный воздухом при температуре Т, соединили трубкой с чашкой, заполненной ртутью….
Чертов 8.24
В оболочке сферического аэростата находится газ объёмом, заполняющий оболочку лишь частично. На сколько изменится подъёмная сила….
Чертов 9.27
При какой температуре Т молекулы кислорода имеют такую же среднюю квадратичную скорость, как молекулы водорода при температуре…
Чертов 9.22
Определить N молекул ртути, содержащихся в воздухе объёмом в помещении, заражённом ртутью…
Чертов 11.5
Определить удельную теплоёмкость смеси кислорода и азота, если кол-во вещества первого компонента равно 2….
Чертов 11.21
При адиабатном сжатии кислорода массой 1 кг совершена работа. Определить конечную температуру газа, если до сжатия….
Чертов 11.26
Водород занимает объём при давлении. Газ нагрели при постоянном объёме до давления. Определить 1) изменение внутренней энергии 2)…
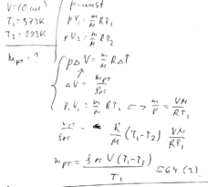
Иродов 11.28
Баллон вместимостью содержит водород при температуру под давлением. Каковы будут температура и давление …
Иродов 11.44
При адиабатном расширении кислорода с начальной температурой внутренняя энергия уменьшилась на, а его объём увеличился в … Определить…
Характеристики
Тип файла документ
Документы такого типа открываются такими программами, как Microsoft Office Word на компьютерах Windows, Apple Pages на компьютерах Mac, Open Office - бесплатная альтернатива на различных платформах, в том числе Linux. Наиболее простым и современным решением будут Google документы, так как открываются онлайн без скачивания прямо в браузере на любой платформе. Существуют российские качественные аналоги, например от Яндекса.
Будьте внимательны на мобильных устройствах, так как там используются упрощённый функционал даже в официальном приложении от Microsoft, поэтому для просмотра скачивайте PDF-версию. А если нужно редактировать файл, то используйте оригинальный файл.
Файлы такого типа обычно разбиты на страницы, а текст может быть форматированным (жирный, курсив, выбор шрифта, таблицы и т.п.), а также в него можно добавлять изображения. Формат идеально подходит для рефератов, докладов и РПЗ курсовых проектов, которые необходимо распечатать. Кстати перед печатью также сохраняйте файл в PDF, так как принтер может начудить со шрифтами.
















