колоквиум физика 1 (1018262), страница 2
Текст из файла (страница 2)
Однородный цилиндр массы m=8.0 кг и радиуса R=1.3 см в момент t=0 начинает опускаться под действием силы тяжести. Пренебрегая массой нитей, найти:
а) угловое ускорение цилиндра;
б) зависимость от времени мгновенной мощности, которую развивает сила тяжести.
Иродов 1.278
Вертикально расположенный однородный стержень массы M и длины l может вращаться вокруг своего верхнего конца. В нижний конец стержня попала, застряв, горизонтально летевшая пуля массы m, в результате чего стержень отклонился на угол . Считая m<<M, найти:
а) скорость летевшей пули;
б) приращение импульса системы “пуля – стержень” за время удара; какова причина изменения этого импульса;
в) на какое расстояние x от верхнего конца стержня должна попасть пуля, чтобы импульс системы “пуля – стержень” не изменился в процессе удара.
Чертов 2.5
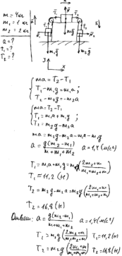
На гладком столе лежит брусок массой m=4 кг. К бруску привязаны два шнура, перекинутые через неподвижные блоки, прикреплённые к противоположенным краям стола. К концам шнуров подвешены гири, массы которых m1=1 кг и m2=2 кг. Найти ускорение а, с которым движется брусок, и силу натяжения Т каждого из шнуров. Массой блоков и трением пренебречь.
Чертов 2.4
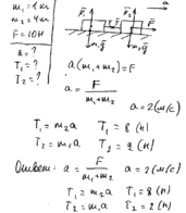
Два бруска массами m1=1 кг и m2=4 кг, соединённые шнуром, лежат на столе. С каким ускорением а будут двигаться бруски, если к одному из них приложить силу F=10Н, направленную горизонтально? Какова будет сила натяжения Т шнура, соединяющего бруски, если силу 10Н приложить к первому бруску? ко второму бруску? Трением пренебречь.
















