Лекции по алгебре (1016708)
Текст из файла
Темы лекций:
-
Преобразование системы координат:
- параллельный перенос
- вращение
Линии на плоскости (примеры – окр)
-
Уравнение прямой на плоскости с условным коэффициентом
-
Y=kx+b общее уравнение прямой
-
Уравнение прямой через данную точку в данном направлении
-
Уравнение прямой через две точки
-
Уравнение прямой в отрезках
-
Уравнение прямой через данную точку перпендикулярную данному вектору
-
Полярное уравнение прямой
-
Нормальное уравнение прямой
-
Основной угол между двумя прямыми
-
Расстояние от точки до прямой
Преобразования параллельного переноса и поворота системы координат. Упрощение уравнений кривых
Иногда при решении задач удобно вместо данной системы XOY использовать другую X'O'Y', определенным образом ориентированную относительно данной системы.
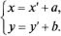
Пусть новая система X'O'Y' получена из старой ХОY параллель-ным переносом осей координат, т.е. оси новой системы параллельны осям старой и имеют одинаковое с ними направление (рис. 4.4). Пусть начало О' новой системы имеет координаты (a, b) в старой системе.
Рис. 4.4
Возьмем т. М на плоскости и найдем зависимость между ее координатами (х, у) в старой системе и (х', у') в новой. Из рис. 4.4 ясно, что
Если уравнение кр. 2п (4.1) не содержит члена с произведением координат (В= 0), то с помощью параллельного переноса оно приводится к каноническому виду. Для этого необходимо в случае
выделить полные квадраты для членов, содержащих у, и членов, содержащих х, затем для полученных полных квадратов вида
6.1. Параллельный перенос системы координат
| Мы рассматриваем прямоугольную декартову систему координат. При параллельном переносе системы координат сохраняется направление координатных осей, но меняется положение начала координат (рис.12). Пусть Оху - "старая" система координат, а О'х'у' - "новая" система координат. Пусть произвольная точка Мимеет координаты (х, у) в "старой" системе, и она же имеет координаты (х', y')в новой системе, кроме того, пусть новое начало O' имеет координаты (а, b) в "старой" системе (рис. 12). Тогда Т.к. при параллельном переносе осей координат базис не меняется, то при сложении векторов можно складывать их координаты. Следовательно, имеем Формулы (42) есть формулы перехода, связывающие "старые" и "новые" координаты. |
Поворот системы координат
Предположим, что прямоугольную систему координат повернули на угол a в положительном направлении и получили новую систему координат
.
Эти соотношения описывают преобразование координат при повороте, они выражают старые координаты через новые. Из этих соотношений можно выразить новые координаты. Выражение новых координат через старые:
Пример 1. Кривая второго порядка задана уравнением
.
Приведем его к каноническому виду. Сделаем преобразование: поворот на угол a = 450.
Найдем уравнение этой линии в новой системе координат
:
§ 10. Линии на плоскости
10.1. Основные понятия
Линия на плоскости рассматривается (задается) как множество точек, обладающих некоторым только им присущим геометрическим свойством. Например, окружность радиуса R есть множество всех точек плоскости, удаленных на расстояние - R от некоторой фиксированной точки О (центра окружности).
Введение на плоскости системы координат позволяет определять положение точки плоскости заданием двух чисел — ее координат, а положение линии на плоскости определять с помощью уравнения (т. е. равенства, связывающего координаты точек линии).
Уравнением линии (или кривой) на плоскости Оху называется такое уравнение F(x;y) = 0 с двумя переменными, которому удовлетворяют координаты x и у каждой точки линии и не удовлетворяют координаты любой точки, не лежащей на этой линии.
Переменные x и у в уравнении линии называются текущими координатами точек линии.
Уравнение линии позволяет изучение геометрических свойств линии заменить исследованием его уравнения.
Так, для того чтобы установить лежит ли точка А(x0; у0) на данной линии, достаточно проверить (не прибегая к геометрическим построениям), удовлетворяют ли координаты точки А уравнению этой линии в выбранной системе координат.
Задача о нахождении точек пересечения двух линий, заданных уравнениями F1(x1;y1) = 0 и F2(x2;y} = 0, сводится к отысканию точек, координаты которых удовлетворяют уравнениям обеих линий, т. е. сводится к решению системы двух уравнений с двумя неизвестными:
Если эта система не имеет действительных решений, то линии не пересекаются.
Аналогичным образом вводится понятие уравнения линии в полярной системе координат.
Уравнение F(r; φ)=О называется уравнением данной линии в полярной системе координат, если координаты любой точки, лежащей на этой линии, и только они, удовлетворяют этому уравнению.
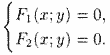
Линию на плоскости можно задать при помощи двух уравнений:
(10.1)
где x и у — координаты произвольной точки М(х; у), лежащей на данной линии, а t — переменная, называемая параметром; параметр t определяет положение точки (х; у) на плоскости.
Например, если x = t + 1, у = t2, то значению параметра t = 1 соответствует на плоскости точка (3; 4), т. к. x = 1 + 1 = 3, у = 22 - 4.
Если параметр t изменяется, то точка на плоскости перемещается, описывая данную линию. Такой способ задания линии называется параметрическим, а уравнения (10.1) — параметрическими уравнениями линии.
Чтобы перейти от параметрических уравнений линии к уравнению вида F(x;y) = 0, надо каким-либо способом из двух уравнений исключить параметр t.
Например, от уравнений
путем подстановки t = х
во второе уравнение, легко получить уравнение у = х2; или у-х2 = 0, т. е. вида F(x; у) = 0. Однако, заметим, такой переход не всегда возможен.
Л
инию на плоскости можно задать векторным уравнением r=r(t), где t — скалярный переменный параметр. Каждому значению t0 соответствует определенный вектор r=r(t) плоскости. При изменении параметра t конец вектора r=r(t) опишет некоторую линию (см. рис. 31).
Векторному уравнению линии r=r(t) в системе координат Оху соответствуют два скалярных уравнения (10.1), т. е. уравнения проекций на оси координат векторного уравнения линии есть ее параметрические уравнения. I Векторное уравнение и параметрические уравнения I линии имеют механический смысл. Если точка перемеща- I ется на плоскости, то указанные уравнения называются уравнениями движения, а линия — траекторией точки, параметр t при этом есть время. Итак, всякой линии на плоскости соответствует некоторое уравнение вида F(x; у) = 0.
Всякому уравнению вида F(x; у) = 0 соответствует, вообще говоря, некоторая линия, свойства которой определяются данным уравнением (выражение «вообще говоря» означает, что сказанное допускает исключения. Так, уравнению (х-2)2+(у-3)2 =0 соответствует не линия, а точка (2; 3); уравнению х2 + у2 + 5 = 0 на плоскости не соответствует никакой геометрический образ).
В аналитической геометрии на плоскости возникают две основные задачи. Первая: зная геометрические свойства кривой, найти ее уравнение) вторая: зная уравнение кривой, изучить ее форму и свойства.
На рисунках 32-40 приведены примеры некоторых кривых и указаны их уравнения.
10.2. Уравнения прямой на плоскости
Простейшей из линий является прямая. Разным способам задания прямой соответствуют в прямоугольной системе координат разные виды её уравнений.
Уравнение прямой с угловым коэффициентом
Пусть на плоскости Оху задана произвольная прямая, не параллельная оси Оу. Ее положение вполне определяется ординатой b точки N(0; b) пересечения с осью Оу и углом a между осью Ох и прямой (см. рис. 41).
П
од углом а (0<a< π) наклона прямой понимается наименьший угол, на который нужно повернуть вокруг точки пересечения прямой и оси Ох против часовой стрелки ось Ох до ее совпадения с прямой. Возьмем на прямой произвольную точку М(х;у) (см. рис. 41). Проведем через точку N ось Nx', параллельную оси Ох и одинаково с ней направленную. Угол между осью Nx' и прямой равен a. В системе Nx'y точка Μ имеет координаты x и у-b.
Из определения тангенса угла следует равенство
, т. е.
.
Введем обозначение tg a=k, получаем уравнение
(10.2)
которому удовлетворяют координаты любой точки М(х;у) прямой. Можно убедиться, что координаты любой точки Р(х;у), лежащей вне данной прямой, уравнению (10.2) не удовлетворяют.
Число k = tga называется угловым коэффициентом прямой, а уравнение (10.2) — уравнением прямой с угловым коэффициентом.
Если прямая проходит через начало координат, то b = 0 и, следовательно, уравнение этой прямой будет иметь вид y=kx.
Если прямая параллельна оси Ох, то a = 0, следовательно, k = tga = 0 и уравнение (10.2) примет вид у = b.
Если прямая параллельна оси Оу, то
, уравнение (10.2) теряет смысл, т. к. для нее угловой коэффициент
не существует.
В этом случае уравнение прямой будет иметь вид
(10.3)
где a — абсцисса точки пересечения прямой с осью Ох. Отметим, что уравнения (10.2) и (10.3) есть уравнения первой степени.
Общее уравнение прямой.
Рассмотрим уравнение первой степени относительно x и y в общем виде
Характеристики
Тип файла документ
Документы такого типа открываются такими программами, как Microsoft Office Word на компьютерах Windows, Apple Pages на компьютерах Mac, Open Office - бесплатная альтернатива на различных платформах, в том числе Linux. Наиболее простым и современным решением будут Google документы, так как открываются онлайн без скачивания прямо в браузере на любой платформе. Существуют российские качественные аналоги, например от Яндекса.
Будьте внимательны на мобильных устройствах, так как там используются упрощённый функционал даже в официальном приложении от Microsoft, поэтому для просмотра скачивайте PDF-версию. А если нужно редактировать файл, то используйте оригинальный файл.
Файлы такого типа обычно разбиты на страницы, а текст может быть форматированным (жирный, курсив, выбор шрифта, таблицы и т.п.), а также в него можно добавлять изображения. Формат идеально подходит для рефератов, докладов и РПЗ курсовых проектов, которые необходимо распечатать. Кстати перед печатью также сохраняйте файл в PDF, так как принтер может начудить со шрифтами.
















