Лекции по алгебре (1016708), страница 2
Текст из файла (страница 2)
(10.4)
где А, В, С — произвольные числа, причем А и В не равны нулю одновременно.
Покажем, что уравнение (10.4) есть уравнение прямой линии. Возможны два случая.
Если В = 0, то уравнение (10.4) имеет вид Ах + С = О, причем А ¹ 0 т. е.
. Это есть уравнение прямой, параллельной оси Оу и проходящей через точку
·
Если B ¹ 0, то из уравнения (10.4) получаем
. Это есть уравнение прямой с угловым коэффициентом
|.
Итак, уравнение (10.4) есть уравнение прямой линии, оно называется общим уравнением прямой.
Некоторые частные случаи общего уравнения прямой:
1) если А = 0, то уравнение приводится к виду
. Это есть уравнение прямой, параллельной оси Ох;
2) если В = 0, то прямая параллельна оси Оу;
3) если С = 0, то получаем
. Уравнению удовлетворяют координаты точки O(0;0), прямая проходит через начало координат.
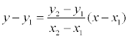
Уравнение прямой, проходящей через данную точку в данном направлении
Пусть прямая проходит через точку
и ее направление определяется угловым коэффициентом k. Уравнение этой прямой можно записать в виде
, где b — пока неизвестная величина. Так как прямая проходит через точку
, то координаты точки удовлетворяют уравнению прямой:
. Отсюда
. Подставляя значение b в уравнение
, получим искомое уравнение прямой:
, т. е.
(10.5)
Уравнение (10.5) с различными значениями k называют также уравнениями пучка прямых с центром в точке
Из этого пучка нельзя определить лишь прямую, параллельную оси Оу.
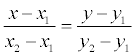
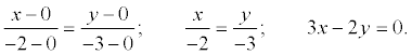
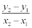
Уравнение прямой, проходящей через две точки
Пусть в пространстве заданы две точки M 1 ( x 1 , y 1 , z 1 ) и M2 ( x 2, y 2 , z 2 ), тогда уравнение прямой, проходящей через эти точки:
Если какой- либо из знаменателей равен нулю, следует приравнять нулю соответствующий числитель.
На плоскости записанное выше уравнение прямой упрощается:
если х 1 ≠ х2 и х = х 1 , если х 1 = х2 .
Дробь
= k называется угловым коэффициентом прямой.
Пример. Найти уравнение прямой, проходящей через точки А(1, 2) и В(3, 4).
Применяя записанную выше формулу, получаем:
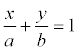
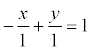
Уравнение прямой в отрезках
Если в общем уравнении прямой Ах + Ву + С = 0 С≠0, то, разделив на –С, получим:
или
, где
Геометрический смысл коэффициентов в том, что коэффициент а является координатой точки пересечения прямой с осью Ох, а b – координатой точки пересечения прямой с осью Оу.
Пример. Задано общее уравнение прямой х – у + 1 = 0. Найти уравнение этой прямой в отрезках.
С = 1,
, а = -1, b = 1.
Уравнение прямой, проходящей через данную точку перпендикулярно данному вектору
Найдем уравнение прямой, проходящей через заданную точку
перпендикулярно данному ненулевому вектору
.
В
озьмем на прямой произвольную точку М(х;у) и рассмотрим вектор
(см. рис. 43). Поскольку векторы
и
перпендикулярны, то их скалярное произведение равно нулю:
, то есть
Уравнение (10.8) называется уравнением прямой, проходящей через заданную точку перпендикулярно заданному вектору.
Вектор
, перпендикулярный прямой, называется нормальным вектором этой прямой. Уравнение (10.8) можно переписать в виде
(10.9)
где А и B— координаты нормального вектора,
— свободный член. Уравнение (10.9) есть общее уравнение прямой (см. (10.4)).
Полярное уравнение прямой
Н
айдем уравнение прямой в полярных координатах. Ее положение можно определить, указав расстояние ρ от полюса О до данной прямой и угол α между полярной осью ОΡ и осью l, проходящей через полюс О перпендикулярно данной прямой (см. рис. 44).
Для любой точки
на данной прямой имеем:
С другой стороны,
Следовательно,
(10.10)
Полученное уравнение (10.10) и есть уравнение прямой в полярных координатах.
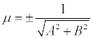
Нормальное уравнение прямой
Если обе части уравнения Ах + Ву + С = 0 разделить на число
, которое называется нормирующем множителем , то получим
xcosφ + ysinφ - p = 0 –
нормальное уравнение прямой.
Знак ± нормирующего множителя надо выбирать так, чтобы μ ? С < 0.
р – длина перпендикуляра, опущенного из начала координат на прямую, а φ - угол, образованный этим перпендикуляром с положительным направлением оси Ох.
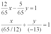
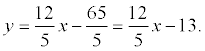
Пример. Дано общее уравнение прямой 12х – 5у – 65 = 0. Требуется написать различные типы уравнений этой прямой.
уравнение этой прямой в отрезках:
уравнение этой прямой с угловым коэффициентом: (делим на 5)
нормальное уравнение прямой:
; cos φ = 12/13; sin φ= -5/13; p = 5.
C ледует отметить, что не каждую прямую можно представить уравнением в отрезках, например, прямые, параллельные осям или проходящие через начало координат.
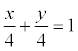
Пример. Прямая отсекает на координатных осях равные положительные отрезки. Составить уравнение прямой, если площадь треугольника, образованного этими отрезками равна 8 см 2 .
Уравнение прямой имеет вид:
, ab /2 = 8; a = 4; -4.
a = -4 не подходит по условию задачи.
Итого:
или х + у – 4 = 0.
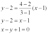
Пример. Составить уравнение прямой, проходящей через точку А(-2, -3) и начало координат.
Уравнение прямой имеет вид:
>, где х 1 = у 1 = 0; x2 = -2; y2 = -3.
Основной угол между двумя прямыми
| Даны уравнения двух прямых. Требуется найти угол между ними. Угол между двумя непараллельными прямыми α1 и α2 найдем как угол между направляющими векторами этих прямых при задании канонических уравнений для α1 и α2, или же как угол между их нормалями, если заданы общие уравнения прямых α1 и α2. |
Пусть заданы две прямые α1:
и α2:
.
Направляющие векторы этих прямых:
и
.
Угол φ между прямыми найдем из скалярного произведения векторов
и
:
.
Пусть заданы общие уравнения прямых
и
: А1х+В1у+С1 = 0 и А 2х+В 2у+С 2=0. Тогда нормали к этим прямым:
и
, и
.
Если
, то из
и
следует:
.
Условием перпендикулярности прямых будет соответственно:
либо
либо
.
Из последнего равенства следует, что
. Таким образом угловые коэффициенты двух перпендикулярных прямых обратные по величине и противоположны по знаку.
Условием параллельности прямых будет соответствовать:
либо
либо
.
-
Задача. В кубе ABCDA1B1C1D1 отмечены точки E и F — середины ребер A1B1 и B1C1 соответственно. Найдите угол между прямыми AE и BF.
Решение. Поскольку ребро куба не указано, положим AB = 1. Введем стандартную систему координат: начало в точке A, оси x, y, z направим вдоль AB, AD и AA1 соответственно. Единичный отрезок равен AB = 1. Теперь найдем координаты направляющих векторов для наших прямых.
Найдем координаты вектора AE. Для этого нам потребуются точки A = (0; 0; 0) и E = (0,5; 0; 1). Поскольку точка E — середина отрезка A1B1, ее координаты равны среднему арифметическому координат концов. Заметим, что начало вектора AE совпадает с началом координат, поэтому AE = (0,5; 0; 1).
Теперь разберемся с вектором BF. Аналогично, разбираем точки B = (1; 0; 0) и F = (1; 0,5; 1), т.к. F — середина отрезка B1C1. Имеем:
BF = (1 − 1; 0,5 − 0; 1 − 0) = (0; 0,5; 1).
Итак, направляющие векторы готовы. Косинус угла между прямыми — это косинус угла между направляющими векторами, поэтому имеем:
Ответ: arccos 0,8
















