ma2-4savos2 (1013198)
Текст из файла
Методическое пособие
по курсу
"Математический анализ"
для студентов ф-та №4
Тема: Интеграл Фурье.
Автор: ст.преподаватель каф.805
Савостьянова Н.И.
Построение интеграла Фурье.
Будем рассматривать функции удовлетворяющие определённым условиям.
Опр.1. f(x) называют кусочно-гладкой на
, если f(x) и f '(x) непрерывны для любого xÎR, за исключением, быть может, конечного числа точек разрыва 1-го рода (т.е. односторонние пределы для f(x) и f '(x) существуют и конечны). Если xk – точка разрыва f(x), то выполнено равенство:
т.е. значение f(x) в точке разрыва равно полусумме её односторонних пределов.
Опр.2. f(x) называют абсолютно интегрируемой на
, если
.
Совокупность непериодических кусочно-гладких абсолютно интегрируемых на
функций обозначим
.
Для функции f(x)Î
введём следующие функции:
,
,
, sÎ
. (1)
Можно показать, что так определённые a(s), b(s), c(s) непрерывны для любого sÎR, а значит и интегрируемы на любом конечном промежутке.
Заметим, что в формулах (1) функция f(x) записана как f(t), что не означает замены переменной, а подразумевает лишь переобозначение её другой буквой.
Аналогом отдельного слагаемого ряда Фурье является функция
, которая интегрируема на любом конечном промежутке. Преобразуем эту функцию с использованием формул (1), а также формул Эйлера:
,
, откуда
;
, или
. Тогда
=
=
внесём cos(xs) и sin(xs) под интеграл, т.к. относительно переменной интегрирования "t" – это постоянные величины
=
воспользуемся формулой Эйлера
=
(2)
Аналогом частичной суммы ряда Фурье является следующий интеграл:
т.к. для любого sÎ[o;N] имеем: -sÎ[-N;0].
Можно доказать, что для fÎ
. Тогда из (3) следует
. (4)
Полученное представление называют действительной формой интеграла Фурье, где функции a(s) и b(s) определяются по формулам (1).
При этом из (3') следует:
, (5)
это называют комплексной формой интеграла Фурье, где c(s) определяется по формуле (1).
Заметим, что функцию c(s) называют спектральной характеристикой, а функцию Ф(s)=|c(s)| - спектром.
Преобразование Фурье.
Перепишем равенство (5), используя формулу (1).
Функция
называется прямым преобразованием Фурье, а функция
называется обратным преобразованием Фурье.
Из равенства (6) ясно, что применение к f(x) Î
прямого, а затем обратного преобразования Фурье восстанавливает функцию f(x).
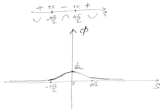
Задача. Найти спектральную характеристику функции
; и построить график спектра.
Решение. Спектральная характеристика
=
определенный интеграл от "0" равен нулю
=
т.к.
при
, т.к. a>0 по условию
; итак,
.
Вычислим
. Для построения графика Ф(s) учтем, что Ф(s)>0, s
; Ф(-s)=Ф(s) и Ф(s)0 при s.
Н
айдем экстремумы Ф(s).
. Ф'(s)=0 при s=0, Ф'(s).
в т. s=0 Ф(s) имеет максимум, Ф(0)=
.
Найдем точки перегиба.
. Ф"(s). Ф"(s)=0 при s=
.
Характеристики
Тип файла документ
Документы такого типа открываются такими программами, как Microsoft Office Word на компьютерах Windows, Apple Pages на компьютерах Mac, Open Office - бесплатная альтернатива на различных платформах, в том числе Linux. Наиболее простым и современным решением будут Google документы, так как открываются онлайн без скачивания прямо в браузере на любой платформе. Существуют российские качественные аналоги, например от Яндекса.
Будьте внимательны на мобильных устройствах, так как там используются упрощённый функционал даже в официальном приложении от Microsoft, поэтому для просмотра скачивайте PDF-версию. А если нужно редактировать файл, то используйте оригинальный файл.
Файлы такого типа обычно разбиты на страницы, а текст может быть форматированным (жирный, курсив, выбор шрифта, таблицы и т.п.), а также в него можно добавлять изображения. Формат идеально подходит для рефератов, докладов и РПЗ курсовых проектов, которые необходимо распечатать. Кстати перед печатью также сохраняйте файл в PDF, так как принтер может начудить со шрифтами.















