Экологический менеджмент - неиспользуемые возможности (1006491), страница 2
Текст из файла (страница 2)
Практической основой деятельности предприятий в области экологического менеджмента является предотвращение воздействия на окружающую среду. В своих отдельных проявлениях подобная деятельность хорошо знакома любому предприятию. К ее характерным направлениям относятся:
-
Сбережение и экономия сырья, материалов, энергетических ресурсов.
-
Последовательное сокращение потерь сырья, материалов, реагентов, потребляемой энергии (в том числе технологических потерь, потерь при складировании и транспортировке, неучтенных потерь и т.п.).
-
Сокращение потребления чрезвычайно опасных и высокоопасных веществ и материалов.
-
Использование вторичных ресурсов.
-
Усовершенствование основных и вспомогательных технологических процессов с целью сокращения источников образования загрязняющих веществ, отходов и других вредных факторов воздействия на окружающую среду.
-
Организация потоков загрязняющих веществ и отходов (в том числе сокращение неорганизованного и распределенного воздействия на окружающую среду, разделение потоков, более организованное размещение и удаление отходов).
-
Рециклирование (оборотное и повторное использование, рекуперация) сырья, материалов, реагентов, воды, энергии.
-
Снижение брака, повышение качества продукции.
-
Переработка и использование отходов производства и потребления. Производство побочной продукции на основе комплексного использования сырья и материалов.
-
Координация и кооперация с другими производствами (деловыми партнерами) в области сбережения и экономии сырья и энергетических ресурсов, использования вторичных ресурсов, переработки и использования отходов, решения отдельных проблем предотвращения воздействия на окружающую среду и т.п.
-
Повышение технологической и производственной дисциплины; сокращение “ночного” воздействия на окружающую среду.
-
Сокращение ситуаций с повышенным экологическим риском, аварийных ситуаций и аварий (аварийного воздействия на окружающую среду).
-
Подготовка к деятельности и деятельность в условиях аварийного воздействия на окружающую среду; ликвидация экологических последствий аварий.
-
Поддержание экологического порядка в производственных помещениях, на промышленной площадке, в зоне влияния производства на окружающую среду; сокращение “видимого” (очевидного, обнаруживаемого с помощью органов чувств) воздействия на окружающую среду.
-
Информирование и образование персонала предприятия в области предотвращения воздействия на окружающую среду.
-
Снижение экологических рисков для персонала.
-
Развитие и повышение эффективности производственного экологического мониторинга и контроля (в том числе мониторинга и контроля использования ресурсов, источников выделения загрязняющих веществ и образования отходов, неорганизованного воздействия на окружающую среду и т.п.).
Для создания основ экологического менеджмента предприятию необходимо самостоятельно определять приоритеты, планировать, оценивать и демонстрировать достигнутые результаты, развивать и совершенствовать из года в год деятельность по предотвращению воздействия на окружающую среду во всех направлениях, где это практически достижимо.
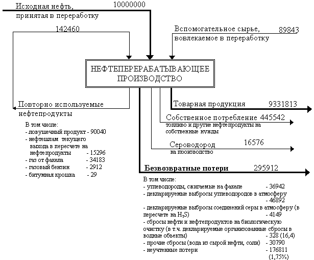
Наглядной иллюстрацией возможных экономических и экологических эффектов, связанных с предотвращение воздействия на окружающую среду могут служить обобщенные схемы входных и выходных материальных потоков различных производств, представленные на рис. 2 и 3. Так, для нефтеперерабатывающего производства неучтенные потери, в первую очередь определяющие фактическое воздействие на окружающую среду, составляют 177 тыс.т (при объеме перерабатываемой нефти 10 млн.т), что в несколько раз превосходит декларируемые в государственной статистической отчетности объемы выбросов и на четыре(!) порядка декларируемые величины сбросов углеводородов. При этом, если не весь объем неучтенных потерь, то большая его часть может оцениваться в качестве непосредственных выбросов и сбросов нефти и нефтепродуктов в окружающую среду. Здесь следует обратить внимание на то, что уменьшение декларируемых сбросов и выбросов практически не сказывается на фактическом воздействии предприятия на окружающую среду. Напротив, любые мероприятия и действия, приводящие к снижению неучтенных потерь, соответственно, снижают и фактическое воздействие на окружающую среду. Реальные технические, технологические и организационные возможности для этого существуют практически по всем вышеперечисленным направлениям предотвращения воздействия на окружающую среду и намного превосходят соответствующие возможности для уменьшения декларируемых выбросов и сбросов загрязняющих веществ. При этом сокращение неучтенных потерь приводит к возрастанию объемов товарной продукции, что делает подобную деятельность экономически высокоэффективной.
Рис. 2. Обобщенная схема входных и выходных материальных потоков нефтеперерабатывающего завода (т/год)
Рис. 3. Обобщенная схема входных и выходных материальных потоков завода по производству свинцовых аккумуляторов (т/год в пересчете на Pb)
Для завода по производству свинцовых аккумуляторов неучтенные потери в пересчете на Pb составляют до 0,39% от общего объема перерабатываемого сырья (19278 т/год), что более, чем в 50 раз превосходит декларируемые выбросы свинца в атмосферный воздух и в 140 раз сбросы свинца в канализацию и открытые водные объекты. Важно отметить, что по многолетним данным государственной статистической отчетности валовое воздействие предприятия на окружающую среду меняется прямо пропорционально объему перерабатываемого сырья, а удельное воздействие, соответственно, стабилизировано. На данном предприятии также имеются многочисленные реальные технические, технологические и организационные возможности снижения неучтенных потерь свинца и, соответственно, уменьшения фактического воздействия на окружающую среду. Мероприятия и действия по снижению декларируемого воздействия на окружающую среду в данной ситуации представляются лишенными смысла.
Взаимосвязь предотвращения воздействия на окружающую среду с экологическим менеджментом показана на рис. 4. Любая подобная деятельность должна предваряться обязательной мотивацией руководства предприятия и принятием ответственного решения о необходимой финансовой и материальной поддержке. Предотвращение воздействия на окружающую среду может начинаться с отдельных наиболее простых и показательных мероприятий и действий, постепенно расширяясь и усложняясь из года в год. Основным критерием необходимого уровня развития подобной деятельности может считаться достижение и рост экономической эффективности осуществляемых мероприятий и действий.
Если предприятие оказывается не в состоянии планировать и развивать деятельность по предотвращению воздействия на окружающую среду в ее основных направлениях, перечисленных выше, то на таком предприятии отсутствуют необходимые условия и предпосылки для эффективного экологического менеджмента отсутствуют. И, напротив, если подобная деятельность систематически поддерживается и развивается предприятием, то имеются все необходимые основания для успешного формирования и быстрого развития системы экологического менеджмента, включая последующее декларирования и сертификацию ее соответствия, например стандарту ISO 14001.
Рис. 4. Основные стадии развития деятельности предприятий в области экологического менеджмента
Под системой экологического менеджмента принято понимать часть общей системы производственного менеджмента, включающую необходимую организационную структуру, планирование деятельности, распределение ответственности, практическую работу, а также процедуры, процессы и ресурсы для разработки, внедрения, оценки достигнутых результатов и совершенствования экологической политики [2, 6].
Обобщенная модель системы экологического менеджмента, иллюстрирующая ее развитие и совершенствование “по спирали”, показана на рис. 5. Формирование системы экологического менеджмента начинается с разработки, утверждения и публичного декларирования предприятием экологической политики и целей. В качестве основополагающих принципов экологическая политика должна включать “последовательное улучшение” и “предотвращение воздействия на окружающую среду”. Дальнейшая последовательность взаимосвязанных действий в системе менеджмента включает планирование, организацию и практическую реализацию, внутренний мониторинг и контроль деятельности, осуществляемой в соответствии с принятой экологической политикой и целями. Обязательной составной частью любой системы экологического менеджмента является независимая оценка достигнутых результатов (аудит), периодический анализ и пересмотр системы менеджмента в целом с участием руководства предприятия. Следует подчеркнуть, что отсутствие или недостаточная развитость какого-либо из элементов, показанных на рис. 5, делает всю систему менеджмента неэффективной.
Экологический менеджмент представляет собой не столько выполнение определенных формальных требований, сколько разнообразную активную практическую деятельность, понятную и доступную для всех специалистов и персонала предприятия в целом. К важнейшим направлениям практической деятельности в области экологического менеджмента, закрепленных в стандартах серии ISO 14000 и ряде других документов [2, 3, 4, 5, 9, 10, 11], относятся:
-
обоснование, демонстрация, практическое использование экологической политики и целейпредприятия ; публичное декларирование основных принципов, обязательств и направлений инициативной экологической деятельности, поддерживающих развитие процессов последовательного улучшения везде, где это практически достижимо; отражение в политике взаимосвязи основной производственной и экологической деятельности предприятия;
-
определение для каждой из принятых целей показателей и критериев планирования деятельности и оценки достигаемых результатов; активное использование разнообразных внутренних количественных показателей, самостоятельно разрабатываемых предприятием, в первую очередь удельных показателей;
-
обоснование конкретных экологических задач; определение значений соответствующих количественных и качественных показателей и критериев для каждой из принятых экологических целей на планируемый период;
-
эффективное планирование и организация экологической деятельности в соответствии с принятыми целями и задачами; разработка конкретных мероприятий и действий для каждой из поставленных экологических целей и задач с учетом приоритета мероприятий и действий по предотвращению отрицательного воздействия на окружающую среду;
-
вовлечение всего персонала предприятия в экологическую деятельность; рациональное и эффективное использование всех имеющихся на предприятии возможностей и средств (в первую очередь беззатратных и малозатратных) для решения экологических проблем;
-
регулярные анализ и оценка достигнутых результатов деятельности; систематический пересмотр (с обязательным участием руководства предприятия) и совершенствование экологической политики, целей и задач, планирования и организации деятельности в соответствии с достигнутыми результатами; использование независимой оценки результатов деятельности (экологический аудит);
-
осуществление предприятием активной внешней экологической деятельности; развитие отношений и конструктивное сотрудничество со всеми заинтересованными в экологических аспектах деятельности предприятия лицами и сторонами: акционерами, инвесторами, партнерами, потребителями, поставщиками, конкурентами, общественностью и населением;
-
подготовка и распространение инициативной экологической отчетности (“зеленая” отчетность); представление и анализ в отчетности наряду с положительными также и отрицательных результатов деятельности.
Рис. 5. Обобщенная модель системы экологического менеджмента
Инициативная деятельность по перечисленным направлениям на сегодня практически не осуществляется российскими предприятиями. При этом подобная деятельность за немногими исключениями вполне доступна для российских предприятий, независимо от их экономического положения и характера стоящих перед ними экологических проблем, и требует не столько существенных дополнительных затрат, сколько качественных изменений в мотивации, планировании, организации деятельности и использовании достигнутых результатов. Деятельность в области экологического менеджмента должна начинаться с простейших целей и задач, постепенно развиваясь и усложняясь. Каждое предприятие может внести в нее свои характерные особенности и новые элементы. На двух сходных предприятиях могут существовать различные и, в то же время, эффективные системы экологического менеджмента [2].
















