РПЗ (1004942), страница 4
Текст из файла (страница 4)
Выберем масштаб построения
Проведем:
делительную окружность, радиус которой
;
основную окружность, описывающую боковую поверхность зуба,
;
окружность вершин,
;
окружность впадин,
.
Отложим от делительной окружности смещение
и проведем делительную прямую ИПК инструмента. На расстоянии
(высота головки зуба) вверх и вниз от делительной прямой проведем граничные прямые. На расстоянии
( глубина впадин) проведем линии вершин и впадин. Проведем станочно-начальную прямую, касательную к делительной окружности в полюсе станочного зацепления
. Проведем линию станочного зацепления, касательную к основной окружности в точке
через полюс
. Эта линия образует с прямыми исходного контура угол
.
Относительно вертикальной оси, отступив от точки G (Пересечение вертикальной оси и делительной прямой рейки) на ¼ шага влево построим наклонную линию перпендикулярно линии
с вертикалью и соответствует прямолинейной части профиля ИПК. Закругленный участок строят как сопряжение Прямолинейной части контура с линией вершин или линией впадин радиусом
. Симметрично относительно линии
строим профиль зуба ИПК. На расстоянии, равном шагу
=
строим профили соседних зубьев ИПК.
В точке контакта К построим профиль изготавливаемого колеса. Для этого строят ряд последовательных положений профиля зуба ИПК, т.о. будет получена картина реального процесса изготовления колеса. Проведем вспомогательную линию ММ, касательную к окружности вершин. На ней отмечают отрезки равной длины I, II, III… , такие же отрезки откладывают на станочно-начальной прямой 1, 2, 3… и проецируют их на дугу делительной окружности (1’, 2’, 3’…). Из центра
проводят лучи
и т.д. до пересечения с окружностями вершин и отмечают точки I’, II’, III’, … Фиксируют точку W пересечения прямой ММ и прямолинейной части профиля ИПК и точку L (центр окружности закругленной части профиля ИПК).
При перекатывании без скольжения станочно-начальной прямой по делительной окружности точки 1, 2, 3, … и 1’, 2’, 3’, … последовательно совпадают, при этом точки W и L описывают укороченную и удлиненную эвольвенты соответственно. Любое промежуточное значение точки W находят построением соответствующий треугольников. Например, в точке 2 строят треугольник II2W, размеры которого при обкатке сохраняются. Когда точка 2 совпадет с точкой 2’, сторона треугольника II2 совпадет с лучом O1 2’ ляжет на отрезок II’2’. Тогда точка WII будет соответствовать вершине треугольника. Так повторяем для всех точек W.
Отметим расстояние с0 между окружностью вершин зубьев колеса и прямой впадин ИПК, которое называется станочным зазором и складывается из стандартного зазора
и уравнительного смещения
.
4.1.6. Построение схемы зацепления колес эвольвентной зубчатой передачи
Выберем масштаб построения
мм/м.
Отложим межосевое расстояние
=
2.8 * 94,321=264 мм.
Проведем начальные окружности (окружности, которые делят поверхность зуба на ножку зуба и головку зуба):
;
.
Начальные окружности соприкасаются в полюсе P зацепления.
Проведем делительные окружности:
Проведем основные окружности:
Проведем окружности вершин и впадин:
;
Расстояние между делительными окружностями по осевой линии равно воспринимаемому смещению
Расстояние между окружностями вершин одного колес и впадин другого по осевой линии равно радиальному зазору:
мм.
Проведем линию зацепления, касательную к основным окружностям колёс.
Точки
- предельные точки линии зацепления.
- точка начала зацепления (точка пересечения окружности вершин колеса с линией зацепления).
- точка конца зацепления (точка пересечения окружности вершин шестерни с линией зацепления).
- активная часть линии зацепления.
- угол зацепления (угол между перпендикуляром к осевой линии в полюсе зацепления и линией зацепления).
Профиль зуба колеса строим с помощью геометрического построения эвольвенты.
4.2 Планетарный редуктор
4.2.1 Проектирование планетарного редуктора
Исходные данные:
К=3 – число сателлитов в планетарном редукторе
- число оборотов электродвигателя
Для подбора чисел зубьев применим метод сомножителей. В основе реализации метода используются два основных условия:
- выполнение заданного передаточного отношения;
- выполнение условия соосности.
`
Передаточное отношение планетарного редуктора со смешанным зацеплением определяется по формуле
Полученное число разложим на сомножители A, B, C и D, которым числа зубьев
,
,
,
должны быть соответственно пропорциональны. Чтобы обеспечить соосность механизма,
введем дополнительные множители, поставленные в скобки:
Общий множитель q необходимо подобрать так, чтобы все числа зубьев были целыми и, кроме того,
и
Примем:
А=3, В=6, С=2, D=7.
Межосевое расстояние определяется по формуле
Так как модули первой (
и
) и второй (
и
) ступеней равны
то условие соосности упростится и примет вид
С учетом условия соосности
При q=2:
Проверим условие сборки:
где П=0,1,2,... - произвольное дополнительное число оборотов водила при сборке; Ц - любое целое число.
условие выполнено.
Проверим условие соседства, которое при
принимает вид
условие выполнено.
4.2.2. Графическое определение передаточного отношения
В системе координат ri0V построим треугольники распределения линейных скоростей звеньев. Для этого из точки А с ординатой r1 в выбранном произвольном масштабе mV, мм/м*с-1 отложим отрезок АА'. Через конец этого отрезка и начало координат проведем прямую, которая определит распределение скоростей для точек звена 1, лежащих на оси ri. Эта прямая образует с осью ri угол
1. Так как в точке с скорости звеньев 2 и 3 равны между собой и равны нулю, то соединяя точку с с прямой с точкой А', получим линию распределения скоростей для звена 2. Соединяя точку В' с началом координат прямой, найдем линию распределения скоростей для водила. Эта линия образует с осью ri угол
h. Передаточное отношение планетарного механизма определенное по данным графическим построениям можно записать так
5. Проектирование кулачкового механизма
5.1. Построение кинематических диаграмм движения толкателя
Исходные данные:
Схема механизма – плоский кулачковый механизм с коромысловым толкателем с силовым замыканием с помощью пружины;
Дуговой ход толкателя hв =0,08м;
Допустимый угол давления
= 40°
Угол рабочего профиля
= 45 + 10 + 45=100°
Фазовый угол удаления
равен фазовому углу сближения
Длина толкателя lвм=0,2 м
Соотношение между максимальными ускорениями толкателя:
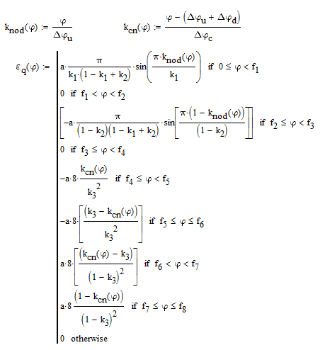
По условию задания задан закон изменения аналога углового ускорения толкателя в зависимости от относительного угла k поворота кулачка, который меняется от 0 до 1.
На фазе удаления график ускорения синусоидальный несимметричный с нулевым участком. На фазе сближения – треугольный несимметричный.
Определяют характерные точки графика ускорений k1, k2, k3.
Кулачковые механизмы относятся к цикловым механизмам. В течение полного цикла движения толкатель кулачкового механизма должени переместиться из начального положения на расстояние, соответствующее ходу hв, затем возвратиться в исходное положение, т.е. перемещение толкателя в фазе удаления равно его перемещению в фазе сближения. Следовательно, кинематическая передаточная функция скорости должна удовлетворять условию
(1)
Скорость и кинематическая передаточная функция скорости толкателя в фазах ближнего и дальнего выстоя равны нулю, т.е. скорость толкателя в момент начала фаз удаления и сближения и в момент их окончания равны нулю, при этом необходимо, чтобы выполнялись соотношения
(2)
(3)
Связь аналогов ускорения и скорости и перемещения толкателя выражается формулами:
Далее в программе MathCAD строим графики передаточных функций ускорения и скорости и функции перемещения от угла поворота кулачка
Далее, интегрируя, получают функции перемещения и аналога скорости толкателя
5.2. Определение основных размеров кулачкового механизма
Для определения допустимой области расположения центра вращения кулачка необходимо произвести построение его фазового портрета. Эта операция сводится к построению зависимости передаточной функции скорости толкателя от его перемещения. Затем проведем прямые, касательные к крайним точкам фазового портрета для каждого положения и перпендикулярные аналогам скорости, и отложим от них допустимые углы давления. Проведя под этим углом прямые до их пересечения, получим точку, являющуюся центром кулачка минимальных размеров. Такой кулачок будет обеспечивать прямой и обратный ход толкателя без заклинивания.
















