121-130 (1001717)
Текст из файла
Глава 9. Эффективность производственно-хозяйственной и инвестиционной деятельности предприятия
пень ответственности, связанных с оценкой проектов стоимостью 1 тыс. рублей и 1 млн.
руб. различен.
Поэтому, для принятия решений инвестиционного характера используются различные
методы. Универсального, пригодного для всех случаев метода не существует.
Для оценки инвестиционных решений применяются:
статические методы, в которых не учитывается различная ценность денег в разные
периоды времени;
динамические, т.е. методы основанные на дисконтировании - процессе приведения
сравниваемых разновременных платежей и поступлений инвестиционной деятель-
ности к одному периоду.'
При проведении статической оценки инвестиционных проектов применяются показа-
тели:
-рентабельность инвестиций.
ри = (Прпи/Ки)х100%,
где Прпи - годовой объем прибыли от реализации продукции, являющейся след-
ствием осуществления инвестиционного проекта, р.,
Ки - общая сумма инвестиций в проект, р.
- срок окупаемости инвестиций (Тон) - период, в течение которого сумма прибыли
от реализации продукции, являющейся следствием осуществления инвестиционного про-
екта, рассчитанная нарастающим итогом от начала осуществления проекта, становится
положительной.
Основными экономическими показателями оценки эффективности инвестиций на
основе динамических методов являются следующие:
-
чистый дисконтированный доход (ЧДД) или интегральный эффект,
-
индекс доходности (ИД),
-
внутренняя норма доходности (Евн),
-
срок окупаемости (Ток).
Чистый дисконтированный доход (ЧДД) определяется как сумма текущих экономи-
ческих эффектов за весь период расчета, приведенных к начальному моменту времени,
или как разность дисконтированных потоков доходов и расходов инвестиционного проек-
та:
где: t -номер шага расчета, t = 0, 1,...,Т;.
Т -.период реализации проекта;
Pt - финансовые результаты (доход, прибыль), достигаемые на t - ом шаге расче-
тов, (или денежный приток в период t), руб;
где: Е - норма дисконта, равная приемлемой для инвестора норме дохода на капитал.
Подробно данные методы описаны в книге Е.М. Четыркина «Методы финансовых и коммерческих
расчетов».-М.:Дело. ЛТД, 1995.
© ИВАКО Аналитик-
3t - затраты, осуществляемые на том же шаге (денежный отток в период t), руб.;
aинt - коэффициент дисконтирования инвестиций:
Экономика предприятия
Если норма дисконта меняется во времени и на t - ом шаге расчетов равна Еt, то тогда:
Дисконтирование затрат осуществляется для соизмерения разновременных показате-
лей (например, Рt, 3t) путем приведения их к ценности на начальный момент. Логика ис-
пользования данного критерия очевидна. Если ЧДД инвестиционного проекта положите-
лен, то проект является эффективным (при данной норме дисконта).Чем больше ЧДД, тем
эффективнее проект.
На практике для дифференцированного учета текущих и капитальных затрат часто ис-
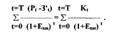
пользуют модифицированное выражение для расчета ЧДД:
где: 3't - текущие затраты (т.е. за вычетом капитальных затрат) на t - ом шаге расче-
тов, руб.;
Кt - капитальные затраты (капиталовложения) на I - ом шаге расчетов, руб.
Индекс доходности (ИД) определяется как отношение суммы приведенных эффектов
к величине приведенных капиталовложений, за счет которых получены эти эффекты:
Индекс доходности связан с ЧДД, определяется на основе тех же данных. Если ЧДД >
О, то ИД > 1 и наоборот, если. ЧДД < 0, то ИД < 1. Если ИД > 1, то проект эффективен,
если ЧДД < 1, то проект неэффективен.
Внутренняя норма доходности (Евн) представляет собой ту норму дисконта , при
котором величина приведенных эффектов равна приведенным капиталовложениям и оп-
ределяется в результате решения следующего уравнения:
Таким образом, расчет ЧДД проекта дает ответ на вопрос, является ли проект эффек-
тивным, а расчет внутренней нормы доходности (Евн) осуществляется с целью после-
дующего сравнения ее с нормой доходности на вкладываемый капитал, которую требует
инвестор. В случае, если евн равна или больше требуемой инвестором нормы дохода на
капитал, то инвестиции в данный проект оправданы.
-О ИВАКО Аналитик
Глава 9. Эффективность производственно-хозяйственной и инвестиционной деятельности предприятия
Срок окупаемости (Тok) - минимальный временной интервал (от начала осуществле-
ния плана), за пределами которого интегральный эффект становится неотрицательным и
остается таковым (то есть ЧДД > 0).
Срок окупаемости может быть измерен в месяцах, кварталах или годах и отражает пе-
риод, начиная с которого первоначальные вложения и другие затраты, связанные с инве-
стиционным проектом, покрываются суммарными результатами от его осуществления.
Расчет срока окупаемости - один из самых простых и широко применяемых методов
оценки инвестиционных решений, но его принято использовать в качестве возможности
получения дополнительной информации о проекте.
Данный метод наиболее оправдан, когда руководство предприятия решает задачу по-
вышения ликвидности, а не прибыльности проекта - т.е. целью является более быстрая
окупаемость инвестиций. Данный показатель важен в ситуации, когда инвестиции сопря-
жены с высокой степенью риска, поэтому чем короче срок окупаемости, тем менее риско-
ванным является инвестиционный проект.
© ИВАКО Аналитик-
Экономика предприятия
10. ЭКОНОМИЧЕСКОЕ УПРАВЛЕНИЕ ПРЕДПРИЯТИЕМ
Экономическое управление предприятием - это направление менеджмента, обеспечи-
вающее достижение тактических и стратегических целей предприятия на основе экономи-
ческого и финансового планирования и контроля и регулирования внутренних и внешних
экономических отношений.
Одной из ведущих функций управления предприятием является экономическое пла-
нирование, сущность которого заключается в обоснованном определении потребностей
рынка, путей и способов насыщения его, максимальной загрузки мощностей предприятия
на основе организационной, производственной и финансово-хозяйственной деятельности
предприятия. Для того, чтобы принимать управленческие решения, надо составить зада-
ние, программу действия, для чего разрабатываются производственные программы, планы
финансовых мероприятий получения дохода и эффективного использования финансовых
ресурсов.
Необходимо выделять два вида планирования - экономическое и финансовое.
С помощью экономического планирования определяется уровень экономических по-
казателей производства, отражающих потребность рынка, расчет точки безубыточности
производства, эффективное использование производственных и трудовых ресурсов
Финансовое планирование определяет обеспеченность финансовыми ресурсами для
достижения заданных экономических показателей и, как следствие, финансовое положе-
ние предприятия. Оно реализуется через анализ и расчет показателей производственно-
хозяйственной деятельности, бюджетирование, составление финансовых планов и выбора
учетной политики. Финансовое планирование полностью основывается на экономическом
планировании и зависит от выбранных целей и стратегии в объемах производства и про-
даж продукции.
Контроль выполнения поставленных экономических и производственных целей осу-
ществляется экономической службой предприятия через процедуры оперативного анализа
выполнения планов и составление отчетности. Основным отчетным документом экономи-
ческого контроля является отчет о прибылях и убытках, отражающий рентабельность
производства и эффективность управления себестоимостью. Контроль за выполнением
финансового плана осуществляется на основе платежного календаря, который отражает
приходов и расходов денежных средств предприятия.
Регулирование отношений через экономические механизмы заложены во внутренних
положениях (регламентах) предприятия об управлении затратами, ценообразовании,
оценке деятельности подразделений, оплате труда персонала и т.д., которые разрабатыва-
ет и использует для управления экономическая служба предприятия.
^ / 10.1. Организационная структура экономической службы предприятия
Основной целью экономической службы является обеспечение экономического
управления предприятием.
Состав, наименование подразделений экономической службы и их функции устанав-
ливаются каждым предприятием самостоятельно. Единственным структурным подразде-
лением этой службы, существование которого является обязательным, а функции регла-
ментируются общегосударственными нормативными актами, является бухгалтерия.
Состав подразделений экономической службы и их функций должен определяться
здравым смыслом и финансовыми возможностями предприятия. При их определении сто-
ит сопоставить выигрыш от более качественного решения экономических задач с затрата-
ми на содержание специалистов. Иногда для решения уникальных экономических задач
предприятиям целесообразнее привлекать сторонних специалистов из экономических и
консалтинговых фирм.
После определения рациональной структуры экономической службы она должна быть
зафиксирована во внутренних нормативных документах - стандартах предприятия, поло-
-©ИВАКО Аналитик
Глава 10. Экономическое управление предприятием
жении о системе управлении и т.п. Там же указываются цели и функции каждого из под-
разделений этой службы, состав решаемых задач, методы взаимодействия с другими под-
разделениями предприятия. Деятельность отдельных специалистов экономической служ-
бы регламентируется должностными инструкциями, разрабатываемыми каждым предпри-
ятием.
В состав экономической службы производственного предприятия, как правило, вклю-
чаются следующие структурные подразделения:
-
бухгалтерия,
-
финансовый отдел,
-
отдел экономических задач,
-
отдел персонала.
10.2. Функции подразделений экономической службы
Состав функций подразделений экономической службы определяется содержанием
решаемых задач.
1. Бухгалтерия:
-
Отражение на счетах бухгалтерского учета всех осуществляемых хозяйственных
операций. -
Предоставление подразделениям предприятия оперативной информации о его хо-
зяйственной деятельности. -
Расчет налогов и платежей во внебюджетные фонды.
-
Составление в установленные сроки официальной налоговой и бухгалтерской от-
четности. -
Осуществление (совместно с другими подразделениями) анализа деятельности
предприятия по данным бухгалтерского учета и отчетности. -
Оформление совместно с руководителем предприятия организации договорных до-
кументов, а также документов, служащих основанием для приемки и выдачи товар-
но-материальных ценностей и денежных средств, а также расчетных, кредитных и
денежных обязательств, -
Проведение денежных расчетов с контрагентами через расчетные и иные банков-
ские счета предприятия.
2. Финансовый отдел:
-
Расчет необходимого предприятию объема денежных средств.
-
Определение источников получения недостающих денежных средств (источников
финансирования). -
Организация привлечения денежных средств.
-
Эффективное хранение излишка денежных средств.
-
Обеспечение финансовой состоятельности предприятия и платежеспособности.
-
Контроль за финансовым состоянием предприятия.
-
Финансовое планирование и управление системой бюджетов предприятия и его
подразделений.
3. Отдел экономических задач:
-
Управление затратами предприятия, разработка смет и калькуляций затрат.
-
Расчет цен на продукцию.
-
Оценка эффективности деятельности предприятия, его подразделений, отдельных
видов бизнеса, продукции, хозяйственных мероприятий. -
Оценка объемных показателей производства и реализации продукции предприятия.
-
Экономические расчеты, связанные с выполнением хозяйственных договоров с
контрагентами предприятия (поставщиками, покупателями, кредиторами и др.). -
Технико-экономический анализ производственно-хозяйственной деятельности
) ИВАКО Аналитик-
Экономика предприятия
предприятия.
Характеристики
Тип файла документ
Документы такого типа открываются такими программами, как Microsoft Office Word на компьютерах Windows, Apple Pages на компьютерах Mac, Open Office - бесплатная альтернатива на различных платформах, в том числе Linux. Наиболее простым и современным решением будут Google документы, так как открываются онлайн без скачивания прямо в браузере на любой платформе. Существуют российские качественные аналоги, например от Яндекса.
Будьте внимательны на мобильных устройствах, так как там используются упрощённый функционал даже в официальном приложении от Microsoft, поэтому для просмотра скачивайте PDF-версию. А если нужно редактировать файл, то используйте оригинальный файл.
Файлы такого типа обычно разбиты на страницы, а текст может быть форматированным (жирный, курсив, выбор шрифта, таблицы и т.п.), а также в него можно добавлять изображения. Формат идеально подходит для рефератов, докладов и РПЗ курсовых проектов, которые необходимо распечатать. Кстати перед печатью также сохраняйте файл в PDF, так как принтер может начудить со шрифтами.
















