вера (1001655)
Текст из файла
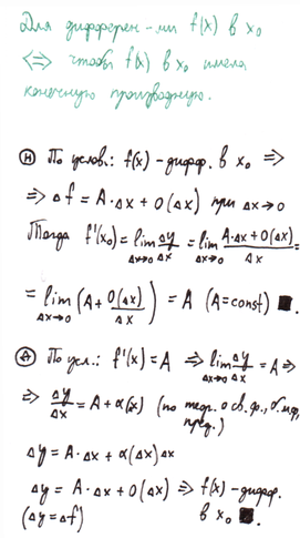
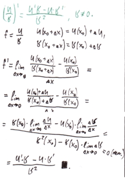
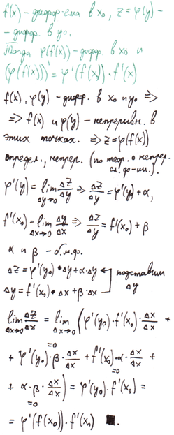
Дифференци́руемая (в точке) фу́нкция — это функция, у которой существует дифференциал (в данной точке).
Дифференцируемая на некотором множестве функция — это функция, дифференцируемая в каждой точке данного множества.
Дифференциа́л (от лат. differentia — разность, различие) — линейная часть приращения функции.
Аддитивность. Предел суммы числовых последовательностей есть сумма их пределов, если каждый из них существует.
-
Однородность. Константу можно выносить из-под знака предела.
-
Предел произведения числовых последовательностей факторизуется на произведение
пределов, если каждый из них существует.
-
Предел отношения числовых последовательностей есть отношение их пределов, если
эти пределы существуют и последовательность-делитель не является бесконечно малой.
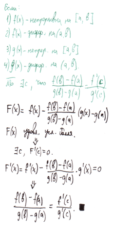
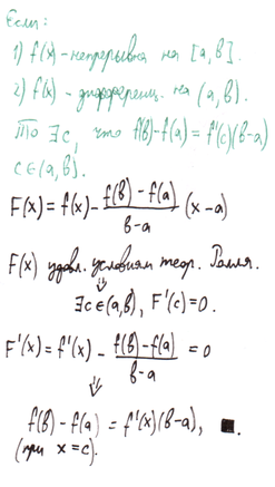
На кривой
между точками
и
найдется точка
, такая,
что через эту точку можно провести касательную, параллельную хорде
(рис. 1).
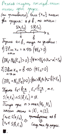
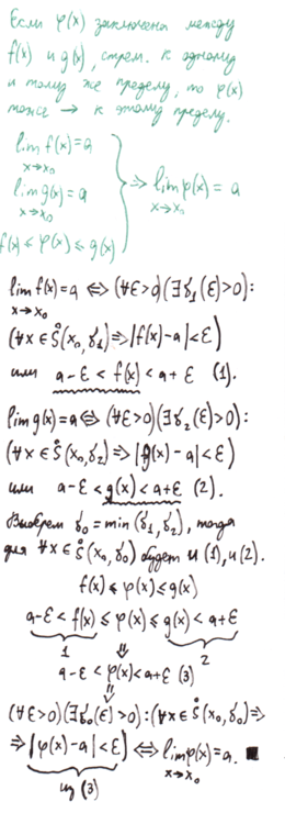
Теорема о промежуточной последовательности
Пусть последовательность {an}, {bn} и {xn} таковы, что limn→∞an= limn→∞bn= a
для любого n∈N: an≤ xn≤ bn.
Тогда limn→∞xn= a
Доказательство: Из определения предела следует, что для любого ε > 0
найдется такое число N1(ε), что при всех n > N1 будет выполняться неравенство
an - a < ε <=> a – ε < an < a + ε (*)
∀ ε>0 ∃ N2(ε), n > N2, bn - a < ε <=> a - ε < bn < a + ε (**)
Тогда если взять N > N1, N > N2, при всех n > N будет выполняться как (*), так и (**).
Поскольку по условию an≤ xn≤ bn, то при n > N будем иметь
a – ε < an ≤ xn ≤ bn < a + ε
<=>
a – ε < xn < a + ε
<=>
bn - a < ε <=> limn→∞xn = a
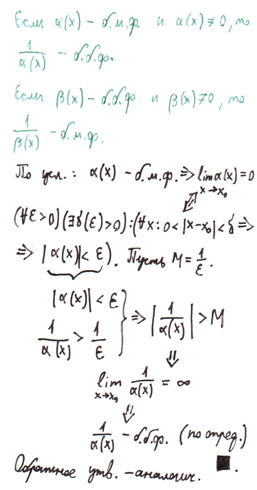
Основные свойства бесконечно малых функций
1° Сумма конечного числа б.м функций является функцией б.м.
2° Произведение б.м функции на ограниченную есть функция б.м.
3° Произведение двух б.м функций есть функция б.м.
4° Произведение б.м функции на константу является б.м функцией.
5° Частное от деления б.м функции на функцию, предел которой не равен нулю, есть функция б.м.
6° Функция
, обратная к б.м функции
, есть функция бесконечно большая.
Верно и обратное.
-
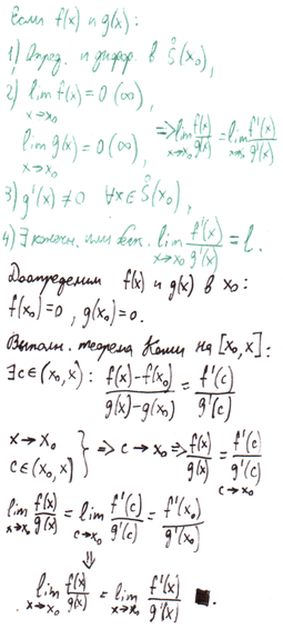
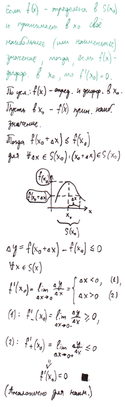
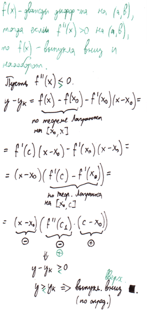
Из леммы Ферма вытекает следующее:
Пусть точка
является точкой экстремума функции
, определенной в некоторой окрестности точки
.
Тогда либо производная
не существует, либо
.
На кривой
между точками
и
найдется точка
, такая,
что через эту точку можно провести касательную, параллельную хорде
(рис. 1).
Функция
называется непрерывной справа в точке
, если
.
Функция
называется непрерывной справа в точке
, если
.
Функция
называется непрерывной слева в точке
, если
.
сводятся к неопределенности типа 5
путем логарифмирования.
сводится либо к неопределенности типа 1
, либо к неопределенности типа 2
путем перемещения в знаменатель одного из сомножителей.
Пусть
Тогда:
получающаяся в результате алгебраической суммы двух дробей, устраняется или сводится к типу 2
путем приведения дробей к общему знаменателю.
б
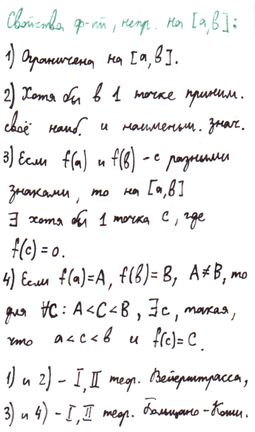
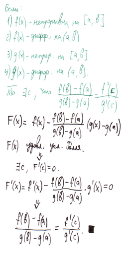
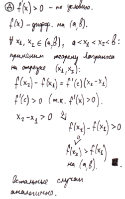
Найдется хотя бы одна точка, в которой касательная к графику функции будет параллельна оси абсцисс.
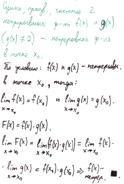
Если f(x) и g(x) непрерывны на множестве, то будет непрерывными и функции f(x)+g(x),
f(x)-g(x), f(x)*g(x), а также f(x)/g(x) при условии что g(x) <> 0 (не равно нулю) на этом множестве.
Бесконечно малая — числовая функция или последовательность, которая стремится к нулю.
Бесконечно большая — числовая функция или последовательность, которая стремится к бесконечности определённого знака.
Далее, разделив второе уравнение на первое, и с учетом того, что
, получим
выражение для первой производной функции, заданной параметрически:
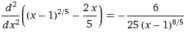
Для нахождения второй производной
выполним следующие преобразования:
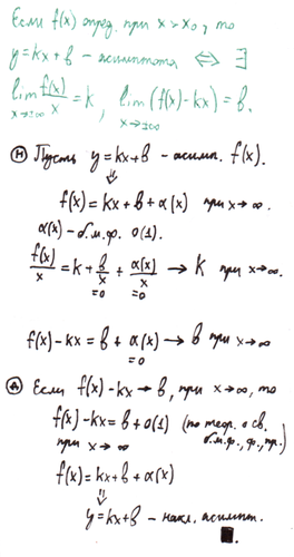
Определение 1. Пусть функция y=f(x) определена в точке х0 и в некоторой окрестности этой точки.
Функция y=f(x) называетсянепрерывной в точке х0, если существует предел функции в этой точке и он равен значению функции в этой точке, т.е.
Рассмотрим многочлен степени
, т. е. функцию вида
Функция
где
— постоянно непрерывна на
так как
при любом
Функция
непрерывна на
так как
при
Поэтому функция
где
непрерывна на
как произведение непрерывных функций. Так как многочлен
есть сумма непрерывных функций вида
то он непрерывен на
называется пределом функции
в точке
, если
,
то есть
, соответствующая последовательность значений
, то есть
.
Сиськи покоши
Основные свойства бесконечно малых функций
1° Сумма конечного числа б.м функций является функцией б.м.
2° Произведение б.м функции на ограниченную есть функция б.м.
3° Произведение двух б.м функций есть функция б.м.
4° Произведение б.м функции на константу является б.м функцией.
5° Частное от деления б.м функции на функцию, предел которой не равен нулю, есть функция б.м.
6° Функция
, обратная к б.м функции
, есть функция бесконечно большая. Верно и обратное.
Односторо́нний преде́л в математическом анализе — предел числовой функции, подразумевающий «приближение» к предельной точке с одной стороны.
Дифференци́руемая (в точке) фу́нкция — это функция, у которой существует дифференциал (в данной точке).
Дифференцируемая на некотором множестве функция — это функция, дифференцируемая в каждой точке данного множества.
Дифференциа́л (от лат. differentia — разность, различие) — линейная часть приращения функции.
Рассмотрим два случая:
1. Пусть
. Каждое значение x заключено между двумя положительными
целыми числами:
, где
— это целая часть x.
Если
, то
. Поэтому, согласно пределу
, имеем:
По признаку (о пределе промежуточной функции) существования пределов
.
2. Пусть
. Сделаем подстановку
, тогда
з двух этих случаев вытекает, что
для вещественного x.
-
строго возрастает на
. -
строго убывает на
.
| -2 | 2.7 |
| -1 | 0.1 |
| 0 | 0 |
| 1 | 0 |
| 2 | 0.4 |
Характеристики
Тип файла документ
Документы такого типа открываются такими программами, как Microsoft Office Word на компьютерах Windows, Apple Pages на компьютерах Mac, Open Office - бесплатная альтернатива на различных платформах, в том числе Linux. Наиболее простым и современным решением будут Google документы, так как открываются онлайн без скачивания прямо в браузере на любой платформе. Существуют российские качественные аналоги, например от Яндекса.
Будьте внимательны на мобильных устройствах, так как там используются упрощённый функционал даже в официальном приложении от Microsoft, поэтому для просмотра скачивайте PDF-версию. А если нужно редактировать файл, то используйте оригинальный файл.
Файлы такого типа обычно разбиты на страницы, а текст может быть форматированным (жирный, курсив, выбор шрифта, таблицы и т.п.), а также в него можно добавлять изображения. Формат идеально подходит для рефератов, докладов и РПЗ курсовых проектов, которые необходимо распечатать. Кстати перед печатью также сохраняйте файл в PDF, так как принтер может начудить со шрифтами.
















