вера (1001655), страница 2
Текст из файла (страница 2)
прямая, обладающая тем свойством, что расстояние от точки кривой до этой прямой стремится к нулю при удалении точки вдоль ветви в бесконечность[3].
Следствия
Найдется хотя бы одна точка, в которой касательная к графику функции будет параллельна оси абсцисс.
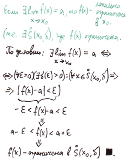
(О предельном переходе в равенстве). Если значения функций и
в окрестности некоторой точки равны, то и ихпределы в этой точке совпадают:
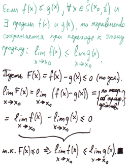
(О предельном переходе в неравенстве). Если в окрестности некоторой точки
значения функции не превосходят соответствующих значений функции ,
то и предел функции в этой точке не превосходит предела функции в этой же точке:
Доказательство
Рассмотрим односторонние пределы
и
и докажем, что они равны 1.
Пусть
. Отложим этот угол на единичной окружности (
).
Точка K — точка пересечения луча с окружностью, а точка L — с касательной к
единичной окружности в точке
. Точка H — проекция точки K на ось OX.
Подставляя в (1), получим:
называется пределом функции
в точке
, если
,
то есть
, соответствующая последовательность значений
, то есть
.
Сиськи покоши
Пусть функция
определена в некоторой окрестности точки
, и дифференцируема в ней:
. Касательной прямой к графику
функции
в точке
называется график линейной функции, задаваемой уравнением
Пусть дана функция
и
— внутренняя точка области определения
Тогда
-
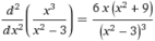
Из леммы Ферма вытекает следующее:
Пусть точка
является точкой экстремума функции
, определенной в некоторой окрестности точки
.
Тогда либо производная
не существует, либо
.
7
















