Ответ на вопрос №6409: Вычислить интеграл с шагом h по формуле Симпсона -4.4950 -1.8178 4.5911 0.4950 Вычислить интеграл с шагом h по формуле Симпсона -4.4950 -1.8178 - Ответ на вопрос №6409Вычислить интеграл с шагом h по формуле Симпсона -4.4950 -1.8178 - Ответ на вопрос №6409
2023-12-252023-12-25СтудИзба
Вычислить интеграл с шагом h по формуле Симпсона -4.4950 -1.8178 - Ответ на вопрос №6409
-47%
Вопрос
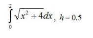
Вычислить интеграл с шагом h по формуле Симпсона
- -4.4950
- -1.8178
- 4.5911
- 0.4950
Ответ

Хочешь зарабатывать на СтудИзбе больше 10к рублей в месяц? Научу бесплатно!
Начать зарабатывать
Начать зарабатывать
zzyxel























