Ответ на вопрос №221203: Вычислить интеграл с шагом h по формуле Симпсона 1.8178 -1.8178 10.4950 0.4950 Вычислить интеграл с шагом h по формуле Симпсона 1.8178 -1.8178 - Ответ на вопрос №221203Вычислить интеграл с шагом h по формуле Симпсона 1.8178 -1.8178 - Ответ на вопрос №221203
2024-12-142024-12-14СтудИзба
Вычислить интеграл с шагом h по формуле Симпсона 1.8178 -1.8178 - Ответ на вопрос №221203
-47%
Вопрос
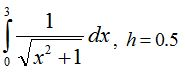
Вычислить интеграл с шагом h по формуле Симпсона
- 1.8178
- -1.8178
- 10.4950
- 0.4950
Ответ

Гарантия сдачи без лишних хлопот! ✅🎓 Ответы на тесты по любым дисциплинам, базы вопросов, работы и услуги для Синергии, МЭИ и других вузов – всё уже готово! 🚀 🎯📚 Гарантия качества – или возврат денег! 💰✅
meimei1337


















