Ответ на вопрос №21531: Вычислить интеграл с шагом h по формуле Симпсона 0.4950 -4.4950 4.5911 -1.8178 Вычислить интеграл с шагом h по формуле Симпсона 0.4950 -4.4950 - Ответ на вопрос №21531Вычислить интеграл с шагом h по формуле Симпсона 0.4950 -4.4950 - Ответ на вопрос №21531
2024-02-062024-02-06СтудИзба
Вычислить интеграл с шагом h по формуле Симпсона 0.4950 -4.4950 - Ответ на вопрос №21531
-47%
Вопрос
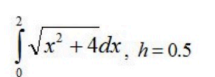
Вычислить интеграл с шагом h по формуле Симпсона
- 0.4950
- -4.4950
- 4.5911
- -1.8178
Ответ
Пожалуйста, если не трудно, оцените файл на высокую оценку, спасибо!
iFate
























