Ответ на вопрос №19975: Определить как ведет себя метод простой итерации для линейной системы 2x+5y=10 5x+2y=10Определить как ведет себя метод простой итерации для линейной системы - Ответ на вопрос №19975Определить как ведет себя метод простой итерации для линейной системы - Ответ на вопрос №19975
2024-02-032024-02-03СтудИзба
Определить как ведет себя метод простой итерации для линейной системы - Ответ на вопрос №19975
-47%
Вопрос
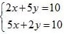
Определить как ведет себя метод простой итерации для линейной системы2x+5y=10
5x+2y=10

Ответ
Пожалуйста, если не трудно, оцените файл на высокую оценку, спасибо!
iFate
























