Ответ на вопрос №967427: Формула полной вероятности может быть записана как: Формула полной вероятности может быть записана как: - Ответ на вопрос №967427Формула полной вероятности может быть записана как: - Ответ на вопрос №967427
2025-09-092025-09-09СтудИзба
Формула полной вероятности может быть записана как: - Ответ на вопрос №967427
Вопрос
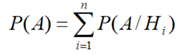
Формула полной вероятности может быть записана как:Ответ
Этот вопрос в коллекциях
-61%























