Ответ на вопрос по теории вероятностей и математической статистике №221196: Задана функция распределения непрерывной случайной величины Х Найти функцию плотности распределения вероятности f(x)Задана функция - Ответ на вопрос по теории вероятностей и математической статистике №221196Задана функция - Ответ на вопрос по теории вероятностей и математической статистике №221196
5,0051
2024-12-142024-12-14СтудИзба
Задана функция - Ответ на вопрос по теории вероятностей и математической статистике №221196
Вопрос
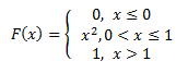
Задана функция распределения непрерывной случайной величины Х
Ответ

Гарантия сдачи без лишних хлопот! ✅🎓 Ответы на тесты по любым дисциплинам, базы вопросов, работы и услуги для Синергии, МЭИ и других вузов – всё уже готово! 🚀 🎯📚 Гарантия качества – или возврат денег! 💰✅