Ответ на вопрос по теоретической механике №73416: Дифференциальное уравнение малых колебаний имеет вид Найти логарифмический декремент затухающих колебаний.Дифференциальное уравнение малых колебаний - Ответ на вопрос по теоретической механике №73416Дифференциальное уравнение малых колебаний - Ответ на вопрос по теоретической механике №73416
2024-05-062024-05-06СтудИзба
Дифференциальное уравнение малых колебаний - Ответ на вопрос по теоретической механике №73416
Вопрос
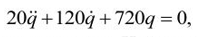
Дифференциальное уравнение малых колебаний имеет вид
Ответ

Привет! Если тебе понравилась работа, пожалуйста оцени её соответствующе, а так же оставь комментарий, по качеству работы.