Кинетический потенциал материальной точки - Ответ на вопрос по теоретической механике №733614
Вопрос
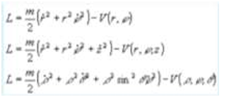
Кинетический потенциал материальной точки в криволинейных координатах может быть записан в следующих формах. Какая формула соответствует цилиндрическим координатам?
Ответ
Этот вопрос в коллекциях

📚Помощь в сдаче любых видов работ✒️Более 6000 готовых студенческих работ и тестов для НСПК, ОСЭК, НИИДПО, НАДПО и других ВУЗов👨🏫Гарантирую результат или полностью верну деньги!✅💰















