Ответ на вопрос №238755: Формула нахождения интервальной оценки дисперсии при неизвестном математическом ожидании: Формула нахождения интервальной оценки дисперсии при неизвестном - Ответ на вопрос №238755Формула нахождения интервальной оценки дисперсии при неизвестном - Ответ на вопрос №238755
2025-01-132025-01-13СтудИзба
Формула нахождения интервальной оценки дисперсии при неизвестном - Ответ на вопрос №238755
-47%
Вопрос
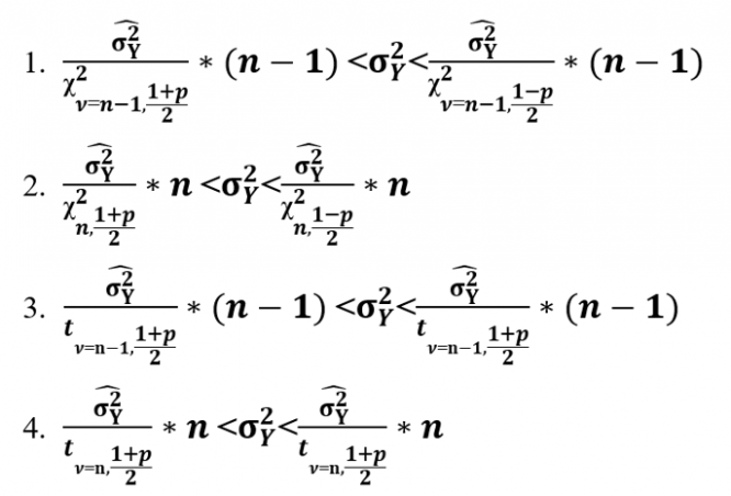
Формула нахождения интервальной оценки дисперсии при неизвестном математическом ожидании:
Ответ
Этот вопрос в коллекциях

Гарантия сдачи без лишних хлопот! ✅🎓 Ответы на тесты по любым дисциплинам, базы вопросов, работы и услуги для Синергии, МЭИ и других вузов – всё уже готово! 🚀 🎯📚 Гарантия качества – или возврат денег! 💰✅